Kleine Anfragen der Parlamentarier in der 7. Wahlperiode

Kleine Anfrage

/ 21
PDF herunterladen
Anlage 1 Antwortendes Ressort Mitglied des Landtages                  KA MB       MF      MI  MJ     MLV    MS MULE MW   StK ehemalige Mitglieder des Landtages in der 7. Wahlperiode Aldag,Katrin Budde,    Wolfgang (SPD)     gesamt        2      0        0       0   0       0     0    2  0    0 (BÜNDNIS bis          90/ 02.11.2017          2017         2                                              2 DIE GRÜNEN) Bull-Bischoff, Birke     gesamt       10      7        2       0   0       0     0    0  1    0 (DIE LINKE)           2016         7      4        2                                 1 bis 01.11.2017          2017         3      3 Feußner, Eva (CDU)        gesamt        2      0        0       1   0       0     0    0  1    0 bis 19.02.2018          2017         2                       1                         1 Geisthardt, Ralf (CDU)     gesamt        1      0        0       0   0       0     1    0  0    0 bis 23.06.2018          2016         1                                         1 Höhn, Matthias         gesamt        4      0        0       4   0       0     0    0  0    0 (DIE LINKE)           2016         1                       1 bis 01.11.2017          2017         3                       3 gesamt       70      2       10      19   3      25     5    3  3    0 Mrosek, Andreas 2016        14      1        2       5           3     1    1  1 (AfD) 2017        55      1        8      14   2      22     4    2  2 bis 15.04.2018 2018         1                           1 gesamt        5      1        1       0   1       0     0    0  2    0 Philipp, Florian 2017         1      1 (CDU) 2018         3               1           1                     1 bis 31.07.2019 2019         1                                                 1 Seite 8 von 9
11

Anlage 1 Antwortendes Ressort Mitglied des Landtages                  KA MB       MF      MI     MJ      MLV    MS MULE       MW      StK Kleine Anfragen von mehreren Abgeordneten einer Fraktion Aldag, Wolfgang       gesamt        56        2        3      13       3       4     3      18      9      1 (BÜNDNIS 90/           2016          2                        1                     1 DIE GRÜNEN)            2017          9                        4                             5 Fraktion AfD 2018         23       1        2       1       3       3     2       6      5 2019         18       1        1       7               1             6      2 2020          4                                                      1      2      1 gesamt        24        4        3       3       0       3     1       2      5      3 2016          2                                              1              1 Fraktion BÜNDNIS 90/ 2017          8                1       2               2                    2      1 DIE GRÜNEN 2018          8       3        1       1               1             1             1 2019          6       1        1                                     1      2      1 gesamt         6        1        1       0       1       0     0       2      1      0 2017          1       1 Fraktion CDU 2018          2                                1                            1 2019          3                1                                     2 gesamt        135       8       13      30       6      10    23      14     21     10 2016         11                        4               2     4       1 2017         30       3        3      10       5       1     3       4      1 Fraktion DIE LINKE 2018         38       3        2       4               5     9       4      7      4 2019         47       2        8       9       1       2     5       3     11      6 2020          9                        3                     2       2      2 gesamt        15        6        0       3       0       1     2       3      0      0 2017          4                        1               1     1       1 Fraktion SPD 2018          4       2                2 2019          7       4                                      1       2 Kleine Anfragen von mehreren Abgeordneten mehrerer Fraktionen Fraktionen CDU und    gesamt         1        0        0       0       0       0     0       1      0      0 BÜNDNIS 90/DIE GRÜNEN       2018          1                                                      1 gesamt         1        0        0       0       0       0     0       1      0      0 Fraktionen CDU und SPD 2016          1                                                      1 gesamt        64        0        0      48      16       0     0       0      0      0 Fraktionen DIE LINKE und   2016         28                       20       8 BÜNDNIS 90/DIE GRÜNEN       2017         28                       24       4 2018          8                        4       4 Fraktionen SPD und    gesamt         2        1        0       0       0       0     0       0      0      1 BÜNDNIS 90/DIE GRÜNEN       2018          2       1                                                            1 Es wurden insgesamt 15 eingereichte Kleine Anfragen von den Fragestellern zurückgezogen: Funke, Lydia (AfD) - 6 KA; Loth, Hannes (AfD) - 2 KA; von Angern, Eva und Heiß, Kristin (DIE LINKE), Heiß, Kristin (DIE LINKE), Kohl, Hagen (AfD), Krause, Dietmar (CDU), Lehmann, Mario (AfD), Olenicak, Volker (AfD), Roi, Daniel (AfD) - jeweils 1 KA. Diese 15 Kleinen Anfragen wurden in der Statistik erfasst, jedoch nicht durch die Landesregeriung beantwortet. Seite 9 von 9
12

Anlage 2 Übersicht über die mit den Fragestellern vereinbarten Fristverlängerungen im Rahmen der Beantwortung von Kleinen Anfragen in der 7. Wahlperiode bis zum Stichtag 28.02.2020 Mitglied des Landtages                KA-Nr.        Ressort             Verlängerungszeitraum 7/1236           MB                       1 Monat Aldag, Wolfgang 7/2955           MB                      3 Wochen (BÜNDNIS 90/DIE GRÜNEN) 7/3156           MB                     9 Werktage 7/0073           MJ               3 Wochen + 4 Werktage 7/0166           MJ                       1 Monat 7/0359           MF                 1 Monat + 2 Wochen 7/0430           MJ                       1 Monat 7/0670           MF                       1 Monat 7/1199           MJ                       1 Monat von Angern, Eva 7/1490           MI                        3 Tage (DIE LINKE) 7/1591           MJ                       1 Monat 7/2021           MF                1 Monat + 4 Werktage 7/2379           MB                     8 Werktage 7/2434           MF                1 Monat + 2 Werktage 7/2652           MF                      2 Wochen 7/2733           MF                      2 Wochen Backhaus, Gottfried (fraktionslos)       7/0482         MULE                     9 Werktage Bahlmann, Katja (DIE LINKE)             7/2447           MF                       1 Monat Barth, Jürgen                   7/0609         MULE                      2 Wochen (SPD)                       7/3025         MULE                       1 Monat 7/0103           MF               2 Wochen + 4 Werktage 7/0268           MF               3 Wochen + 2 Werktage 7/1081           StK               1 Woche + 2 Werktage Buchheim, Christina 7/1297          MLV                3 Wochen + 1 Werktag (DIE LINKE) 7/1875         MULE                      2 Wochen 7/2006          MLV                      3 Wochen 7/2456           MB                 1 Woche + 1 Werktag 7/0637           StK                      1 Monat 7/1300         MULE                       1 Monat Büttner, Matthias 7/1375           MF                      2 Monate (AfD) 7/1548           MF                4 Wochen + 1 Werktag 7/3256          MLV               2 Wochen + 4 Werktage Daldrup, Bernhard                  7/1728         MULE               2 Wochen + 3 Werktage (CDU)                       7/3176           MF                1 Woche + 4 Werktage Diederichs, Jens (fraktionslos)         7/1677           MJ                       1 Monat 7/0241         MULE                      2 Wochen Eisenreich, Kerstin                7/0426          MLV                     4 Werktage (DIE LINKE)                    7/2375           MI                      2 Wochen 7/2610         MULE                      2 Wochen Seite 1 von 9
13

Anlage 2 Mitglied des Landtages KA-Nr.        Ressort Verlängerungszeitraum 7/0395           MI    4 Wochen + 1 Werktag Aldag, Wolfgang (BÜNDNIS 90/DIE GRÜNEN)  7/0433         MULE           1 Monat 7/0736           MB   2 Wochen + 4 Werktage 7/0737           MB   2 Wochen + 4 Werktage 7/0738           MB   2 Wochen + 4 Werktage 7/0739           MB   2 Wochen + 4 Werktage 7/0740           MB   2 Wochen + 4 Werktage 7/0741           MB   2 Wochen + 4 Werktage Erben, Rüdiger     7/0742           MB   2 Wochen + 4 Werktage (SPD)         7/0743           MB   2 Wochen + 4 Werktage 7/0744           MB   2 Wochen + 4 Werktage 7/0745           MB   2 Wochen + 4 Werktage 7/0746           MB   2 Wochen + 4 Werktage 7/0781         MULE          2 Wochen 7/1446           MF          2 Wochen 7/1578          MW           1 Woche 7/1603           MF   2 Wochen + 2 Werktage 7/2950         MULE    3 Wochen + 1 Werktag 7/0360           MF           1 Monat Farle, Robert 7/2162         MULE           1 Monat (AfD) 7/2401         MULE    1 Woche + 2 Werktage Frederking, Dorothea  7/0049         MULE           1 Monat (BÜNDNIS 90/DIE GRÜNEN)  7/1788           MF   2 Wochen + 2 Werktage 7/0380         MULE   2 Wochen + 3 Werktage 7/0602         MULE           1 Monat 7/1141         MULE          2 Wochen 7/1250         MULE           1 Monat 7/1466         MULE           1 Monat 7/1467         MULE           1 Monat Funke, Lydia     7/1481         MULE           1 Monat (AfD)        7/1582         MULE           1 Monat 7/1583         MULE           1 Monat 7/2053         MULE          3 Wochen 7/2668         MULE          2 Wochen 7/2884         MULE           1 Monat 7/2942          MW           3 Wochen 7/3220          MW    2 Wochen + 3 Werktage 7/0005           MB         4 Wochen Gebhardt, Stefan 7/0413           StK   3 Wochen + 1 Werktag (DIE LINKE) 7/0655           StK         2 Wochen 7/0992           StK          1 Monat 7/1128           MJ           1 Monat Gehlmann, Andreas 7/1465         MULE           1 Monat (AfD) 7/1522         MULE           1 Monat 7/2226         MULE           1 Monat Dr. Grube, Falko   7/0257           StK          1 Monat (SPD)         7/3242          MLV          1 Woche 7/0251         MULE          2 Wochen 7/0606         MULE           1 Monat Gürth, Detlef 7/0607         MULE           1 Monat (CDU) 7/0613         MULE          4 Wochen 7/0614         MULE          4 Wochen Seite 2 von 9
14

Anlage 2 Mitglied des Landtages KA-Nr.        Ressort Verlängerungszeitraum 7/0129           MF           1 Monat Aldag, Wolfgang (BÜNDNIS 90/DIE GRÜNEN)  7/0221           MF           1 Monat 7/0229           MF          4 Wochen 7/0245           MF    7 Wochen + 1 Werktag 7/0252           MF   3 Wochen + 3 Werktage 7/0267           StK         2 Wochen 7/0419           MF    3 Wochen + 1 Werktag 7/0567           MF    1 Monat + 4 Werktage 7/0797           MF    2 Wochen + 1 Werktag 7/1086           MF           1 Monat 7/1142           MF         7 Wochen 7/1262           MF   3 Wochen + 2 Werktage 7/1383           MF    5 Wochen + 1 Werktag 7/1448           MF           1 Monat 7/1537           StK  3 Wochen + 2 Werktage 7/1609           MS    3 Wochen + 1 Werktag 7/1620           MS          4 Wochen 7/1680           MS           1 Monat 7/1707           MF           1 Monat 7/1866          MW     1 Woche + 4 Werktage 7/1979           MF   5 Wochen + 2 Werktage Heiß, Kristin 7/2190           MF          4 Wochen (DIE LINKE) 7/2199           MF   5 Wochen + 3 Werktage 7/2302           MS           1 Monat 7/2303           MS           1 Monat 7/2304           MS           1 Monat 7/2305           MS           1 Monat 7/2306           MS           1 Monat 7/2315           MS           1 Monat 7/2332           StK          1 Monat 7/2443          MLV    2 Wochen + 1 Werktag 7/2563           MS          3 Wochen 7/2588           MF          2 Monate 7/2710           MS           1 Monat 7/2711           MS           1 Monat 7/2712          MLV    2 Wochen + 1 Werktag 7/2746           MF   7 Wochen + 4 Werktage 7/2748           MF   7 Wochen + 4 Werktage 7/2752           StK          1 Monat 7/3027          MW    5 Wochen + 4 Werktage 7/3085          MW           3 Wochen 7/3202         MULE   2 Wochen + 4 Werktage 7/3494           MI          1 Woche 7/1675         MULE           1 Monat Henke, Guido      7/1839          MLV          2 Wochen (DIE LINKE)      7/1840          MLV          2 Wochen 7/1845          MLV          2 Wochen 7/0594         MULE          3 Wochen 7/1107          MW           1 Woche Heuer, Guido 7/1115         MULE           1 Monat (CDU) 7/2050           MF   2 Wochen + 2 Werktage 7/3056           MS          2 Wochen 7/0701          MLV           1 Monat Hildebrandt, Doreen  7/0888           MB           1 Monat (DIE LINKE)      7/0889           MB           1 Monat 7/1563           MB   2 Wochen + 2 Werktage Seite 3 von 9
15

Anlage 2 Mitglied des Landtages      KA-Nr.        Ressort Verlängerungszeitraum 7/0714           MJ          1 Monat Aldag, Wolfgang (BÜNDNIS 90/DIE GRÜNEN)        7/1602           MB    1 Woche + 3 Werktage Hohmann, Monika         7/1612           MJ          1 Monat (DIE LINKE)          7/1987           MS          1 Monat 7/2381           MF         8 Wochen 7/2609         MULE         2 Wochen Höppner, Andreas        7/0424         MULE   2 Wochen + 4 Werktage (DIE LINKE)          7/1288         MULE          1 Monat Höse, Thomas (AfD)       7/1726           MF    1 Woche + 4 Werktage Hövelmann, Holger        7/0447           MF    2 Wochen + 1 Werktag (SPD)             7/2672           MF         2 Wochen Keindorf, Thomas        7/0236           MB         4 Wochen (CDU)             7/0397           MB    5 Wochen + 1 Werktag 7/1333           MB   3 Wochen + 4 Werktage Kirchner, Oliver       7/1336           MB   3 Wochen + 4 Werktage (AfD)            7/1870           MS          1 Monat 7/2404           MI         2 Wochen 7/0668           MS          1 Monat 7/0915           MF         5 Wochen 7/0916           MF   5 Wochen + 3 Werktage 7/0976           MF   3 Wochen + 3 Werktage 7/0977           MF   3 Wochen + 3 Werktage 7/0978           MF   3 Wochen + 3 Werktage Knöchel, Swen         7/1101           MF         3 Wochen (DIE LINKE)          7/1505           MF    5 Wochen + 1 Werktag 7/1851           MF   2 Wochen + 4 Werktage 7/1852           MF   2 Wochen + 4 Werktage 7/1942           MF          1 Monat 7/1992           MF   3 Wochen + 4 Werktage 7/2807           MF          1 Monat 7/2808           MF          1 Monat 7/0464          MW          2 Wochen 7/0689           MF          1 Monat 7/0883           MB          1 Monat 7/0982           MJ          1 Monat 7/1174           MJ          1 Monat 7/2202         MULE          1 Woche Kohl, Hagen 7/2262           MI          1 Monat (AfD) 7/2263           MI          1 Monat 7/2742           MI         2 Wochen 7/2922           MF    4 Wochen + 1 Werktag 7/3080           MI         2 Wochen 7/3222           MI         4 Wochen 7/3506           MI   4 Wochen + 2 Werktage 7/0155           StK  5 Wochen + 3 Werktage 7/0197           MB         4 Wochen 7/0199           MB         4 Wochen Prof. Dr. Kolb-Janssen, Angela 7/0768           MB         4 Wochen (SPD) 7/1014           MB         2 Wochen 7/2211           MB    1 Woche + 4 Werktage 7/2435           StK         1 Monat Krause, Dietmar (CDU)      7/1658           MF         5 Wochen Seite 4 von 9
16

Anlage 2 Mitglied des Landtages KA-Nr.        Ressort Verlängerungszeitraum 7/0010         MULE   2 Wochen + 2 Werktage Aldag, Wolfgang (BÜNDNIS 90/DIE GRÜNEN)  7/0092          MW           1 Monat 7/0896           MB          1 Monat 7/1168          MW           1 Woche 7/1296          MW           1 Monat 7/1501          MLV   4 Wochen + 2 Werktage Lange, Hendrik 7/1860          MW    3 Wochen + 2 Werktage (DIE LINKE) 7/1864          MW    3 Wochen + 2 Werktage 7/1865          MW    3 Wochen + 2 Werktage 7/2014          MW     3 Wochen + 1 Werktag 7/2015          MW     3 Wochen + 1 Werktag 7/2016          MW     3 Wochen + 1 Werktag 7/2769          MW      1 Woche + 1 Werktag Lehmann, Mario (AfD)  7/3254           StK         1 Monat 7/1471         MULE         2 Wochen 7/1585         MULE   3 Wochen + 2 Werktage Lieschke, Matthias  7/1595         MULE    2 Wochen + 1 Werktag (AfD)         7/1596         MULE    2 Wochen + 1 Werktag 7/1628         MULE          1 Monat 7/1950         MULE          1 Monat 7/0062           MB         3 Wochen 7/0063           MB         3 Wochen 7/0924           MB    2 Wochen + 1 Werktag 7/1323           MB    1 Woche + 4 Werktage 7/1366           MB    1 Woche + 3 Werktage Lippmann, Thomas 7/1708           MF    1 Woche + 2 Werktage (DIE LINKE) 7/2013           MB         2 Wochen 7/2091           MB    2 Wochen + 1 Werktag 7/2139           MB   2 Wochen + 3 Werktage 7/2157          MW           1 Monat 7/2232           MB   2 Wochen + 2 Werktage Seite 5 von 9
17

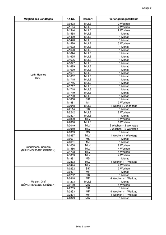
Anlage 2 Mitglied des Landtages KA-Nr.        Ressort Verlängerungszeitraum 7/0493         MULE         2 Wochen Aldag, Wolfgang (BÜNDNIS 90/DIE GRÜNEN)  7/1164         MULE         2 Wochen 7/1344         MULE         2 Wochen 7/1468         MULE          1 Monat 7/1469         MULE          1 Monat 7/1470         MULE          1 Monat 7/1520         MULE         3 Wochen 7/1622         MULE          1 Monat 7/1623         MULE          1 Monat 7/1624         MULE          1 Monat 7/1625         MULE          1 Monat 7/1626         MULE          1 Monat 7/1627         MULE          1 Monat 7/1629         MULE          1 Monat 7/1630         MULE          1 Monat 7/1631         MULE          1 Monat Loth, Hannes 7/1632         MULE          1 Monat (AfD) 7/1715         MULE          1 Monat 7/1716         MULE          1 Monat 7/1717         MULE          1 Monat 7/1718         MULE          1 Monat 7/1719         MULE          1 Monat 7/1720         MULE          1 Monat 7/1858           StK         1 Monat 7/1881           MI         2 Wochen 7/2048         MULE    1 Woche + 2 Werktage 7/2114           StK         1 Monat 7/2242         MULE         2 Wochen 7/2827         MULE          1 Monat 7/2829          MLV         3 Wochen 7/2860         MULE         6 Wochen 7/3049          MLV   2 Wochen + 2 Werktage 7/3050          MLV   2 Wochen + 2 Werktage 7/0363           MS          1 Monat 7/0367          MLV    1 Woche + 4 Werktage 7/0631           MS          1 Monat 7/0681           MJ          1 Monat 7/1008          MLV         2 Wochen Lüddemann, Cornelia 7/1456          MLV         4 Wochen (BÜNDNIS 90/DIE GRÜNEN) 7/1703          MLV         4 Wochen 7/1833          MLV         4 Wochen 7/1861           MS          1 Monat 7/2333          MLV    4 Wochen + 1 Werktag 7/3424          MLV         4 Wochen 7/0232           StK        2 Wochen 7/0421           MF          1 Monat 7/0782           StK         1 Monat 7/0818           MF    4 Wochen + 1 Werktag Meister, Olaf    7/1273         MULE          1 Monat (BÜNDNIS 90/DIE GRÜNEN)  7/2169          MW          4 Wochen 7/2235           StK         1 Monat 7/2833           MF    4 Wochen + 1 Werktag 7/2834           MF    4 Wochen + 1 Werktag 7/2849          MW           1 Monat Seite 6 von 9
18

Anlage 2 Mitglied des Landtages     KA-Nr.        Ressort Verlängerungszeitraum 7/1462         MULE          1 Monat Aldag, Wolfgang (BÜNDNIS 90/DIE GRÜNEN)      7/1463         MULE          1 Monat 7/1464         MULE          1 Monat 7/1508         MULE          1 Monat 7/1509         MULE          1 Monat Mittelstädt, Willi 7/1510         MULE          1 Monat (AfD) 7/1515         MULE          1 Monat 7/1516         MULE          1 Monat 7/1517         MULE          1 Monat 7/1518         MULE          1 Monat 7/1519         MULE          1 Monat Mormann, Ronald (SPD)      7/2741         MULE          1 Monat Olenicak, Volker       7/1482         MULE          1 Monat (AfD)           7/1514         MULE          1 Monat Quade, Henriette (DIE LINKE) 7/0294           MB         3 Wochen 7/0617          MLV         2 Wochen 7/2763         MULE          1 Monat 7/2764           MB         4 Wochen Raue, Alexander 7/2765           MB         4 Wochen (AfD) 7/2766           MB         4 Wochen 7/2767           MB         4 Wochen 7/2768           MB         4 Wochen 7/0355           MI    1 Woche + 2 Werktage 7/0356           MI    1 Woche + 2 Werktage 7/0368         MULE   2 Wochen + 3 Werktage 7/0465         MULE          1 Monat 7/1496         MULE          1 Monat 7/1497         MULE          1 Monat Roi, Daniel         7/1498         MULE          1 Monat (AfD)           7/1499         MULE          1 Monat 7/1654         MULE         2 Wochen 7/2514          MLV         2 Wochen 7/2567         MULE    1 Woche + 4 Werktage 7/2568           MF    1 Monat + 3 Werktage 7/2569         MULE          1 Monat 7/3007          MLV    4 Wochen + 1 Werktag 7/0710         MULE          1 Monat 7/2637         MULE          1 Monat 7/2728         MULE         4 Wochen Sauermann, Sarah 7/2933           MF    4 Wochen + 1 Werktag (fraktionslos) 7/2991         MULE          1 Monat 7/3022         MULE         2 Wochen 7/3183           MF   5 Wochen + 4 Werktage Schindler, Silke       7/0290           MJ         3 Wochen (SPD)            7/1351         MULE          1 Monat 7/0684         MULE          1 Monat Dr. Schmidt, Andreas 7/0769           MS          1 Monat (SPD) 7/0770         MULE          1 Monat 7/0309           MI          1 Woche 7/0729           MF     1 Monat + 1 Werktag Schmidt, Jan Wenzel 7/1033           MF          1 Monat (AfD) 7/2212           MJ          1 Monat 7/3003         MULE          1 Monat Schulenburg, Chris       7/0612         MULE          1 Monat (CDU)            7/1309         MULE          1 Monat Seite 7 von 9
19

Anlage 2 Mitglied des Landtages            KA-Nr.          Ressort               Verlängerungszeitraum 7/1352           MLV                        4 Wochen Aldag, Wolfgang (BÜNDNIS 90/DIE GRÜNEN)               7/1399          MULE                         1 Monat Siegmund, Ulrich              7/1460            MI                        1 Woche (AfD)                   7/2049          MULE                        2 Wochen 7/2201            MS                         1 Monat 7/3198            MJ                         1 Monat Dr. Späthe, Verena (SPD)            7/3257            MI                        2 Wochen 7/0405            MJ                         1 Monat 7/0480          MULE                         1 Monat Spiegelberg, Marcus 7/1266            MF                 3 Wochen + 3 Werktage (AfD) 7/1276            MB                 3 Wochen + 2 Werktage 7/1738            MB                  2 Wochen + 1 Werktag 7/0774            MS                         1 Monat 7/1110            MS                         1 Monat Steppuhn, Andreas 7/2546            MF                  1 Monat + 4 Werktage (SPD) 7/2885            MB                        2 Wochen 7/3134            MF                        2 Wochen 7/0539            MJ                         1 Monat Striegel, Sebastian 7/2498            MJ                         1 Monat (BÜNDNIS 90/DIE GRÜNEN) 7/2499            MJ                         1 Monat Szarata, Daniel (CDU)             7/0644          MULE                         1 Monat Thomas, Ulrich (CDU)              7/0577           MW                         2 Wochen Dr. Tillschneider, Hans-Thomas         7/2887            MB                 3 Wochen + 4 Werktage (AfD)                   7/3097            MB                  1 Woche + 4 Werktage Wald, Daniel                7/1945          MULE                         1 Monat (AfD)                   7/2301          MULE                  2 Wochen + 1 Werktag Zimmer, Lars-Jörn (CDU)             7/2529          MULE                        2 Wochen Zoschke, Dagmar (DIE LINKE)            7/2520          MULE                 4 Wochen + 2 Werktage mit ehemaligen Mitgliedern des Landtages in der 7. Wahlperiode vereinbarte Fristverlängerungen Bull-Bischoff, Birke (DIE LINKE)        7/0960            MB                         1 Monat Feußner, Eva (DIE LINKE)             7/0725           MW                  3 Wochen + 2 Werktage Mrosek, Andreas (AfD)             7/0416            MS                         1 Monat Philipp, Florian (CDU)            7/1635           MW                  2 Wochen + 3 Werktage Seite 8 von 9
20

Zur nächsten Seite