Schulformen im Vergleich ihrer Ergebnisse bei Abschlüssen und Abschlussprüfungen

Schulische Ausbildung

/ 50
PDF herunterladen
Landtag von Sachsen-Anhalt                                      Drucksache 7/7245 11.02.2021 Antwort der Landesregierung auf eine Kleine Anfrage zur schrift- lichen Beantwortung Abgeordneter Jan Wenzel Schmidt (AfD) Abgeordneter Marcus Spiegelberg (AfD) Abgeordneter Dr. Hans-Thomas Tillschneider (AfD) Schulformen im Vergleich ihrer Ergebnisse bei Abschlüssen und Abschluss- prüfungen Kleine Anfrage - KA 7/4239 Vorbemerkung der Fragestellenden: In Sachsen-Anhalt gibt es verschiedene Schulformen, an denen verschiedene Arten von Abschlüssen erworben werden können. Dies sind der Hauptschul- und qualifi- zierte Hauptschulabschluss, Realschul- und erweiterter Realschulabschluss, die Fachhochschulreife und das Abitur. Der Hauptschul- und qualifizierter Hauptschulabschluss können an Sekundar-, Ge- samt- und Gemeinschaftsschulen erworben werden. Der Hauptschulabschluss wird ohne eine Abschlussprüfung durch den erfolgreichen Besuch des 9. Schuljahrgangs erworben, während der qualifizierte Hauptschulabschluss durch die Besondere Leis- tungsfeststellung (BLF) erworben wird (vgl. § 5 Abs. 4 SchulG LSA). Die Teilnehmer legen gemäß Verordnung über die Abschlüsse in der Sekundarstufe I schriftliche Prüfungen in den Fächern Mathematik und Deutsch sowie eine mündliche Prüfung in einem anderen Pflichtfach ab. Das Bestehen der BLF erlaubt den Besuch der 10. Klassenstufe der Realschule. Der Realschul- und erweiterte Realschulabschluss können an Sekundar-, Gesamt- und Gemeinschaftsschulen erworben werden. Der Realschulabschluss wird gemäß § 5 Abs. 5 SchulG LSA mit dem erfolgreichen Besuch des 10. Schuljahrganges und bestandener Abschlussprüfung bestanden. Das bedeutet, dass die Schüler sowohl einen gewissen Notenschnitt für den erfolgreichen Besuch und die Abschlussprüfung bestehen müssen, um den Realschulabschluss zu erwerben. Die Teilnehmer legen Hinweis:    Die Drucksache steht vollständig digital im Internet/Intranet zur Verfügung. Die Anlage ist in Word als Objekt beigefügt und öffnet durch Doppelklick den Acrobat Reader. Bei Bedarf kann Einsichtnahme in der Bibliothek des Landtages von Sachsen-Anhalt er- folgen oder die gedruckte Form abgefordert werden. (Ausgegeben am 12.02.2021)
1

2 gemäß Verordnung über die Abschlüsse in der Sekundarstufe I schriftliche Prüfun- gen in den Fächern Mathematik, Deutsch und Englisch ab. Weiterhin legen sie je ei- ne mündliche Prüfung in einem naturwissenschaftlichen und einem Pflichtfach ihrer Wahl ab. Wer dabei besondere Leistungen erreicht, erwirbt den erweiterten Realschulab- schluss und erhält damit die Berechtigung, den 10. Schuljahrgang eines Gymnasi- ums und das Berufliche Gymnasium nach § 9 Abs. 7 SchulG LSA zu besuchen. Der schulische Teil der Fachhochschulreife und das Abitur können an Gymnasien, an Abendgymnasien, im Kolleg, Gemeinschaftsschulen und an Gesamtschulen, die ei- nen Gymnasialzweig oder eine gymnasiale Oberstufe anbieten, erworben werden. Schulen stellen Schülern oder Studenten einen Nachweis über die schulische Fach- hochschulreife aus, die die Qualifikationsphase (11. u. 12. Schuljahrgang) ohne den Abschluss der allgemeinen Hochschulreife (Abitur) verlassen haben. Dazu müssen sie bestimmte Leistungsvoraussetzungen erfüllt haben, die per Verordnung geregelt sind. Gemäß „Verordnung zum Erwerb des schulischen Teils der Fachhochschulreife an allgemeinbildenden Schulen“ vom 23. März 1995 kann dessen Erwerb „frühestens nach dem Besuch von zwei Kurshalbjahren der Qualifikationsphase zuerkannt wer- den“. Also bereits nach der 11. Klassenstufe. Um den Abschluss der Allgemeinen Hochschulreife zu erlangen, muss die Abiturprü- fung bestanden werden. Die Abiturprüfung wird gemäß Oberstufenverordnung in fünf Fächern abgelegt. Vier Fächer müssen schriftlich und das Fünfte mündlich abgelegt werden. Jedes Fach ist einem Aufgabenfeld zugeordnet. Davon gibt es folgende drei: (1) sprachlich-literarisch-künstlerisches, (2) gesellschaftswissenschaftliches und (3) mathematisch-naturwissenschaftlich-technisches Aufgabenfeld. Aus jedem Auf- gabenfeld muss mindestens ein Prüfungsfach gewählt werden. Unter den Prüfungs- fächern müssen zwei der drei Fächer Deutsch, Mathematik oder Fremdsprache sein. In bis zu zwei Fächern der schriftlichen Prüfung können ergänzend zur schriftlichen Prüfung mündliche Prüfungen angesetzt werden, um auf diesem Wege die Abiturprü- fung doch noch zu bestehen. Antwort der Landesregierung erstellt vom Ministerium für Bildung Vorbemerkung der Landesregierung: Für die Beantwortung der Fragen wurden Zuarbeiten vom Statistischen Landesamt und vom Landesinstitut für Schulqualität und Lehrerbildung (LISA) abgefordert. Das Statistische Landesamt meldete die Anzahl der Schülerinnen und Schüler in den nachgefragten (Abschluss)-jahrgängen der jeweiligen Schuljahre sowie die Anzahl der Schulabgänger nach Abschlussarten. Vom LISA wurden die Teilnehmerzahlen für die Fächer mit schriftlicher Prüfung und die Jahres- und Abschlussnoten der Teil- nehmerinnen und Teilnehmer (Fragen 2 und 3) zugearbeitet. Diese Angaben stehen hinsichtlich der Erhebungszeitpunkte nicht im Zusammenhang. Die Anzahlen der Schülerinnen und Schüler in den Schuljahrgängen werden am Schuljahresbeginn (Schuljahresanfangsstatistik), die Schulabgängerinnen und Schulabgänger nach Ab- schlussarten werden nach Ablauf des Bezugsschuljahres in der Schuljahresendsta- tistik erhoben. Die Teilnehmerzahlen an den Fächern der schriftlichen Prüfungen werden als Verwaltungsdaten im Prüfungszeitraum erfasst. Daher ist eine Berech-
2

3 nung der Werte untereinander, wie etwa eine möglicherweise erwartete Kongruenz zwischen den Anzahlen der Schülerinnen und Schüler in den Abschlussjahrgängen der jeweiligen Schulformen und eine Summe der im Jahrgang erreichten Abschlüsse nicht möglich. Frage 1: Wie viele Schüler besuchten jährlich ab 2005 die 9. Klasse und wie viele davon erwarben einen beziehungsweise keinen Hauptschulabschluss? Bitte tabella- risch nach Jahr, gesamte Schüleranzahl und nach Schulform, nominale und prozentuale Anzahl erworbener Hauptschulabschlüsse gesamt und nach Schulform, nominale und prozentuale Anzahl nicht erworbener Hauptschulab- schlüsse gesamt und nach Schulform aufschlüsseln. Die Daten sind der Anlage zu Frage 1 zu entnehmen. Frage 2: Wie viele Schüler nahmen jährlich seit 2005 an der besonderen Leistungsfest- stellung teil und wie viele davon erwarben einen qualifizierten Hauptschulab- schluss? Bitte tabellarisch aufschlüsseln nach Jahr/Schüleranzahl gesamt und nach Schulform/nominale und prozentuale Anzahl an der Prüfung teilgenom- menen Schüler und nach Schulform/nominale und prozentuale Anzahl bestan- dener und nicht bestandener Prüfungen gesamt und nach Schulform auf- schlüsseln/nominale und prozentuale Verteilung der Ergebnisse in den Prü- fungsfächern nach Notenskala und im Vergleich zur Jahresnote gesamt und nach Schulform. Die Daten sind den Anlagen 1 und 2 zu Frage 2 zu entnehmen. Die Angaben gem. Anlage 2 liegen erst seit 2010 vor. Erläuterung: Die Teilnehmerzahlen an der besonderen Leistungsfeststellung (bLF) unterscheiden sich erheblich von den erreichten qualifizierten Hauptschulabschlüssen, weil grund- sätzlich alle Schülerinnen und Schüler des auf den Hauptschulabschluss bezogenen Unterrichts an der bLF teilnehmen können und die Note eines bLF-Faches berück- sichtigt wird, wenn sie zur Verbesserung der Jahresnote in dem betreffenden Fach führt. Frage 3: Wie viele Schüler besuchten jährlich ab 2005 die 10. Realschulklasse, wie viele davon erwarben einen Realschul- oder erweiterten Realschulabschluss? Bitte tabellarisch aufschlüsseln nach Jahr/Schüleranzahl gesamt und nach Schul- form, nominale und prozentuale Anzahl an der Prüfung teilgenommenen Schü- ler und nach Schulform/nominale und prozentuale Anzahl bestandener und nicht bestandener Prüfungen gesamt und nach Schulform aufschlüsseln/ nominale und prozentuale Anzahl bestandener Prüfungen als erweiterter Real- schulabschluss gesamt und nach Schulform aufschlüsseln nominale und pro- zentuale Verteilung der Ergebnisse in den Prüfungsfächern nach Notenskala und im Vergleich zur Jahresnote gesamt und nach Schulform. Die Daten sind den Anlagen 1 und 2 zur Frage 3 zu entnehmen. Die Angaben gem. Anlage 2 liegen erst seit 2010 vor.
3

4 Erläuterungen: Anlage 1 zur Frage 3: Die Anzahl der Schülerinnen und Schüler im 10. Schuljahr- gang beinhalten nicht die an den Prüfungen teilnehmenden Nichtschülerinnen und Nichtschüler, die wiederum in den Anzahlen der Schulabgängerinnen und Schulab- gänger nach Abschlussarten enthalten sind. Anlage 2 zur Frage 3: Schülerinnen und Schüler, die aus unterschiedlichen Gründen nicht am Prüfungstag zur Prüfung erschienen sind und die die Prüfung zu einem spä- teren Zeitpunkt nachgeholt haben, sind in den Teilnehmerzahlen der teilnehmenden Schülerinnen und Schüler des jeweiligen Prüfungsfaches nicht enthalten. Für die Nachschreiber werden von den Schulen keine Noten mehr an das LISA übermittelt, nur noch das Gesamtergebnis. Daraus ergeben sich auch die unterschiedlichen teil- nehmenden Schülerzahlen in den Fächern. Die erreichten Ergebnisse der Nach- schreibetermine werden bei den Schulabgängerinnen und Schulabgängern nach Ab- schlussarten in der Schuljahresendstatistik erfasst. Zahlen der zur Prüfung zugelassen Schülerinnen und Schüler werden nicht erfasst. Die ersten Gemeinschaftsschulen haben im Schuljahr 2013/2014 mit dem 5. Schul- jahrgang begonnen. Das bedeutet, dass es in der Schulform Gemeinschaftsschule die ersten Hauptschulabschlüsse im Jahr 2018 und die ersten Realschulabschlüsse im Jahr 2019 gegeben hat. Frage 4: Wie viele Schüler erwarben jährlich ab 2005 die Fachhochschulreife, wie viele davon erwarben sie durch den Besuch des 11. bzw. 12. Schuljahrgangs? Bitte tabellarisch aufschlüsseln nach Jahr/gesamte Schüleranzahl und nach Schul- form/nominale und prozentuale Anzahl erworbener Fachhochschulreife gesamt und nach Schulform und Jahrgang. Die Formulierung der Frage 4 legt die Auffassung nahe, dass es sich beim schuli- schen Teil der Fachhochschulreife bereits um einen vollständigen Abschluss hande- le. Das ist nicht der Fall. Es handelt sich um eine „Bescheinigung über den schuli- schen Teil der Fachhochschulreife“ gemäß KMK-Bezugsvereinbarung und darauf fu- ßender Landesregelung. Die Daten sind der Anlage zu Frage 4 zu entnehmen. Frage 5: Wie viele Schüler nahmen jährlich seit 2005 an der Abiturprüfung teil und wie viele davon erwarben die Allgemeine Hochschulreife? Bitte tabellarisch auf- schlüsseln nach Jahr/Schüleranzahl gesamt und nach Schulform/nominale und prozentuale Anzahl an der Prüfung teilgenommenen Schüler und nach Schul- form/nominale und prozentuale Anzahl bestandener und nicht bestandener Prüfungen gesamt und nach Schulform aufschlüsseln/nominale und prozen- tuale Verteilung der Ergebnisse in den Prüfungsfächern nach Notenskala und im Vergleich zur Jahresnote gesamt und nach Schulform. Vorliegend sind Angaben ab 2010 zur gewünschten Aufbereitung:
4

5 Daten zur Beantwortung der Frage 5 liegen ab 2010 vor. Abgebildet sind Daten in Jahresergebnisregistern - über 10 Jahre hinweg - jeweils getrennt nach Schulform und öffentlichen und freien Trägern. Für die Beruflichen Gymnasien gibt es bisher keine Schulen in freier Trägerschaft. Die Gesamtschulen in freier Trägerschaft waren aufwachsend und beginnend mit dem Abitur 2014 erstmals durch eine Schule vertre- ten. Die Daten sind den Anlagen 1 und 2 zu Frage 5 zu entnehmen. Frage 6: Wie viele Schüler nahmen jährlich seit 2005 an ergänzenden mündlichen Prü- fungen teil, um die Abiturprüfung doch noch zu bestehen? Bitte tabellarisch aufschlüsseln nach Jahr/Schüleranzahl gesamt und nach Schulform/Prü- fungsfächer/ erfolgreich oder nicht erfolgreich teilgenommen. Die Regelung in der Oberstufenverordnung beinhaltet: „In bis zu zwei Fächern der schriftlichen Prüfung können von der Prüfungskommission ergänzend zur schriftli- chen Prüfung mündliche Prüfungen angesetzt werden. Ist auf diesem Wege das Er- reichen des Abiturs noch möglich, ist diese Möglichkeit auszuschöpfen. Liegt das Er- gebnis der schriftlichen Prüfung mehr als sechs Notenpunkte unter dem Durchschnitt der Kurshalbjahresbewertungen des jeweiligen Faches, ist, soweit die zulässige An- zahl noch nicht ausgeschöpft ist, ebenfalls eine Ergänzungsprüfung anzusetzen. Liegt sie sechs oder mehr Punkte über dem Durchschnitt der Kurshalbjahresbewer- tungen oder wurden in einzelnen Prüfungsfächern weniger als 5 Notenpunkte der einfachen Wertung erreicht, kann eine Ergänzungsprüfung angesetzt werden. Die Prüfungen können auch von dem Prüfling beantragt werden.“ Ergänzungsprüfungen finden damit nicht nur zum Bestehen des Abiturs statt. Die Prüflinge können diese Prüfungen auch selbst beantragen. Die erfassten Prüfungsergebnisse können den unterschiedlichen Zwecken im Rück- blick nicht hinsichtlich der Frage von Bestehen oder Verbesserung bzw. Klärung des Leistungsstandes (Divergenz) einzeln zugeordnet werden. Anlage 6 enthält die Ergebnisse der Zusammenstellung dezidiert aufgeschlüsselt pro Schulform, pro infrage kommendes Fach und getrennt nach öffentlichen und freien Trägern. Die in Beruflichen Gymnasien aufgrund der Struktur nicht möglichen schriftlichen Prüfungsfächer wurden durch „entfällt“ gekennzeichnet. Die Daten sind der Anlage zu Frage 6 zu entnehmen. Frage 7: Wie verhalten sich die Ergebnisse aus den Fragen 1 bis 6 im Vergleich zwi- schen staatlichen und privaten Schulträgern? Es wird auf die Beantwortung der Fragen 1 bis 6 verwiesen.
5

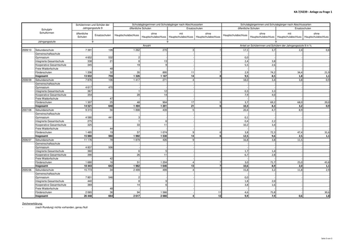
KA 7/4239 - Anlage zu Frage 1 Statistik der allgemeinbildenden Schulen Jahrgangsstufen: Jahrgangsstufe 9 Aus Gründen der statistischen Geheimhaltung sind die Absolutwerte auf ein Vielfaches von 3 gerundet (Schülerinnen und Schüler 2018/19 und 2019/20, Schulabgängerinnen und Schulabgänger 2017/18 - 2019/20). Die Summe der gerundeten Werte kann von der ebenfalls gerundeten Gesamtsumme abweichen. Schülerinnen und Schüler der                       Schulabgängerinnen und Schulabgänger nach Abschlussarten                                Schulabgängerinnen und Schulabgänger nach Abschlussarten Jahrgangsstufe 9                         öffentliche Schulen                             Ersatzschulen                           öffentliche Schulen                              Ersatzschulen Schuljahr Schulformen                öffentliche                                                        ohne                  mit                  ohne                                        ohne                    mit                  ohne Ersatzschulen     Hauptschulabschluss                                                                      Hauptschulabschluss Schulen                                                   Hauptschulabschluss   Hauptschulabschluss   Hauptschulabschluss                         Hauptschulabschluss   Hauptschulabschluss    Hauptschulabschluss Jahrgangsstufe                              9                                                               9                                                                                       9 Anzahl                                                                       Anteil an Schülerinnen und Schülern der Jahrgangsstufe 9 in % 2019/20      Sekundarschule                           5 886               456                     756                   240                     15                     3                 12,8                    4,1                    3,3                     0,7 Gemeinschaftsschule                      2 514               153                     315                   135                      6                     3                 12,5                    5,4                    3,9                     2,0 Gymnasium                                5 658               741                        -                     -                     -                     -                     -                     -                      -                        - Integrierte Gesamtschule                   471               282                       12                     9                     6                     3                   2,5                   1,9                    2,1                     1,1 Kooperative Gesamtschule                   225                  -                      12                     3                     -                     -                   5,3                   1,3                      -                        - Freie Waldorfschule                          -                75                        -                     -                     -                     -                     -                     -                      -                        - Förderschulen                              852                36                       57                  549                     27                     3                   6,7                  64,4                   75,0                     8,3 Insgesamt                               15 606             1 743                   1 155                   936                     54                   15                    7,4                   6,0                    3,1                     0,9 2018/19      Sekundarschule                           6 186               465                     705                   375                     18                     3                 11,4                    6,1                    3,9                     0,6 Gemeinschaftsschule                      2 220               129                     285                   153                      9                     6                 12,8                    6,9                    7,0                     4,7 Gymnasium                                5 739               720                        3                     3                     -                     -                   0,1                   0,1                      -                        - Integrierte Gesamtschule                   384               273                        6                     6                     3                     6                   1,6                   1,6                    1,1                     2,2 Kooperative Gesamtschule                   222                  -                      18                     3                     -                     -                   8,1                   1,4                      -                        - Freie Waldorfschule                          -                84                        -                     -                     -                     -                     -                     -                      -                        - Förderschulen                              837                33                       69                  549                     15                     9                   8,2                  65,6                   45,5                   27,3 Insgesamt                               15 585             1 707                   1 086                 1 089                     42                   24                    7,0                   7,0                    2,5                     1,4 2017/18      Sekundarschule                           6 349               471                     699                   345                     12                     3                 11,0                    5,4                    2,5                     0,6 Gemeinschaftsschule                      2 070               136                     285                   132                      3                     -                 13,8                    6,4                    2,2                        - Gymnasium                                5 640               764                        3                     3                     -                     -                   0,1                   0,1                      -                        - Integrierte Gesamtschule                   404               255                        9                     9                     3                     3                   2,2                   2,2                    1,2                     1,2 Kooperative Gesamtschule                   247                  -                      18                     3                     -                     -                   7,3                   1,2                      -                        - Freie Waldorfschule                          -                84                        -                     -                     -                     -                     -                     -                      -                        - Förderschulen                              869                39                       54                  594                     15                     9                   6,2                  68,4                   38,5                   23,1 Insgesamt                               15 579             1 749                   1 068                 1 086                     36                   15                    6,9                   7,0                    2,1                     0,9 2016/17      Sekundarschule                           6 492               419                     715                   318                      9                     3                 11,0                    4,9                    2,1                     0,7 Gemeinschaftsschule                      1 639                74                     191                   139                      6                     2                 11,7                    8,5                    8,1                     2,7 Gymnasium                                6 008               724                        2                     -                     -                     -                   0,0                     -                      -                        - Integrierte Gesamtschule                   377               258                        8                   11                      1                     3                   2,1                   2,9                    0,4                     1,2 Kooperative Gesamtschule                   240                  -                       8                     2                     -                     -                   3,3                   0,8                      -                        - Freie Waldorfschule                          -               108                        -                     -                     -                     -                     -                     -                      -                        - Förderschulen                              946                29                       57                  602                     13                     9                   6,0                  63,6                   44,8                   31,0 Insgesamt                               15 702             1 612                     981                 1 072                     29                   17                    6,2                   6,8                    1,8                     1,1 2015/16      Sekundarschule                           7 065               375                     759                   260                     12                     -                 10,7                    3,7                    3,2                        - Gemeinschaftsschule                      1 501                48                     197                    88                      3                     -                 13,1                    5,9                    6,3                        - Gymnasium                                5 926               726                        -                     3                     -                     -                     -                   0,1                      -                        - Integrierte Gesamtschule                   393               209                        1                     3                     1                     2                   0,3                   0,8                    0,5                     1,0 Kooperative Gesamtschule                   234                  -                      14                     1                     -                     -                   6,0                   0,4                      -                        - Freie Waldorfschule                          -                80                        -                     -                     -                     -                     -                     -                      -                        - Förderschulen                            1 024                39                       51                  626                     14                   13                    5,0                  61,1                   35,9                   33,3 Insgesamt                               16 143             1 477                   1 022                   981                     30                   15                    6,3                   6,1                    2,0                     1,0 Seite 1 von 3
6

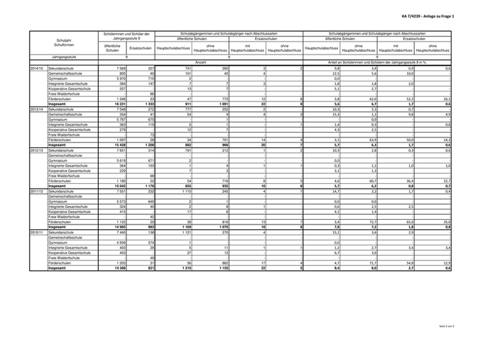
KA 7/4239 - Anlage zu Frage 1 Schülerinnen und Schüler der                   Schulabgängerinnen und Schulabgänger nach Abschlussarten                                Schulabgängerinnen und Schulabgänger nach Abschlussarten Jahrgangsstufe 9                      öffentliche Schulen                             Ersatzschulen                           öffentliche Schulen                              Ersatzschulen Schuljahr Schulformen          öffentliche                                                     ohne                  mit                  ohne                                        ohne                    mit                  ohne Ersatzschulen   Hauptschulabschluss                                                                     Hauptschulabschluss Schulen                                                Hauptschulabschluss   Hauptschulabschluss   Hauptschulabschluss                         Hauptschulabschluss   Hauptschulabschluss    Hauptschulabschluss Jahrgangsstufe                       9                                                            9                                                                                       9 Anzahl                                                                       Anteil an Schülerinnen und Schülern der Jahrgangsstufe 9 in % 2014/15 Sekundarschule                    7 569              327                   741                   260                      3                     2                   9,8                   3,4                    0,9                     0,6 Gemeinschaftsschule                 805               40                   101                    45                      4                     -                 12,5                    5,6                   10,0                        - Gymnasium                         5 970              710                      2                     -                     -                     -                   0,0                     -                      -                        - Integrierte Gesamtschule            384              147                      7                     7                     3                     -                   1,8                   1,8                    2,0                        - Kooperative Gesamtschule            257                 -                    13                     7                     -                     -                   5,1                   2,7                      -                        - Freie Waldorfschule                   -               86                      -                     -                     -                     -                     -                     -                      -                        - Förderschulen                     1 246               23                     47                  772                     12                     6                   3,8                  62,0                   52,2                   26,1 Insgesamt                        16 231            1 333                   911                 1 091                     22                     8                   5,6                   6,7                    1,7                     0,6 2013/14 Sekundarschule                    7 548              272                   777                   252                      2                     -                 10,3                    3,3                    0,7                        - Gemeinschaftsschule                 354               41                     54                     4                     4                     2                 15,3                    1,1                    9,8                     4,9 Gymnasium                         5 787              675                      -                     1                     -                     -                     -                   0,0                      -                        - Integrierte Gesamtschule            363              119                      5                     1                     -                     1                   1,4                   0,3                      -                     0,8 Kooperative Gesamtschule            279                 -                    12                     7                     -                     -                   4,3                   2,5                      -                        - Freie Waldorfschule                   -               73                      -                     -                     -                     -                     -                     -                      -                        - Förderschulen                     1 097               28                     34                  701                     14                     4                   3,1                  63,9                   50,0                   14,3 Insgesamt                        15 428            1 208                   882                   966                     20                     7                   5,7                   6,3                    1,7                     0,6 2012/13 Sekundarschule                    7 651              314                   791                   212                      1                     2                 10,3                    2,8                    0,3                     0,6 Gemeinschaftsschule                   -                 -                     -                     -                     -                     -                     -                     -                      -                        - Gymnasium                         5 619              671                      2                     -                     -                     -                   0,0                     -                      -                        - Integrierte Gesamtschule            364              103                      1                     4                     1                     1                   0,3                   1,1                    1,0                     1,0 Kooperative Gesamtschule            229                 -                     7                     3                     -                     -                   3,1                   1,3                      -                        - Freie Waldorfschule                   -               68                      -                     -                     -                     -                     -                     -                      -                        - Förderschulen                     1 180               22                     54                  716                      8                     5                   4,6                  60,7                   36,4                   22,7 Insgesamt                        15 043            1 178                   855                   935                     10                     8                   5,7                   6,2                    0,8                     0,7 2011/12 Sekundarschule                    7 551              232                 1 110                   245                      4                     1                 14,7                    3,2                    1,7                     0,4 Gemeinschaftsschule                   -                 -                     -                     -                     -                     -                     -                     -                      -                        - Gymnasium                         5 573              649                      2                     1                     -                     -                   0,0                   0,0                      -                        - Integrierte Gesamtschule            324               40                      2                     8                     1                     -                   0,6                   2,5                    2,5                        - Kooperative Gesamtschule            415                 -                    17                     6                     -                     -                   4,1                   1,4                      -                        - Freie Waldorfschule                   -               42                      -                     -                     -                     -                     -                     -                      -                        - Förderschulen                     1 122               20                     38                  816                     13                     7                   3,4                  72,7                   65,0                   35,0 Insgesamt                        14 985              983                 1 169                 1 076                     18                     8                   7,8                   7,2                    1,8                     0,8 2010/11 Sekundarschule                    7 440              138                 1 121                   270                      4                     -                 15,1                    3,6                    2,9                        - Gemeinschaftsschule                   -                 -                     -                     -                     -                     -                     -                     -                      -                        - Gymnasium                         4 939              574                      1                     -                     -                     -                   0,0                     -                      -                        - Integrierte Gesamtschule            403               29                      5                   11                      1                     1                   1,2                   2,7                    3,4                     3,4 Kooperative Gesamtschule            403                 -                    27                   12                      -                     -                   6,7                   3,0                      -                        - Freie Waldorfschule                   -               49                      -                     -                     -                     -                     -                     -                      -                        - Förderschulen                     1 203               31                     56                  862                     17                     4                   4,7                  71,7                   54,8                   12,9 Insgesamt                        14 388              821                 1 210                 1 155                     22                     5                   8,4                   8,0                    2,7                     0,6 Seite 2 von 3
7

KA 7/4239 - Anlage zu Frage 1 Schülerinnen und Schüler der                    Schulabgängerinnen und Schulabgänger nach Abschlussarten                                Schulabgängerinnen und Schulabgänger nach Abschlussarten Jahrgangsstufe 9                      öffentliche Schulen                             Ersatzschulen                           öffentliche Schulen                              Ersatzschulen Schuljahr Schulformen                   öffentliche                                                     ohne                  mit                  ohne                                        ohne                    mit                  ohne Ersatzschulen   Hauptschulabschluss                                                                     Hauptschulabschluss Schulen                                                Hauptschulabschluss   Hauptschulabschluss   Hauptschulabschluss                         Hauptschulabschluss   Hauptschulabschluss    Hauptschulabschluss Jahrgangsstufe                                9                                                            9                                                                                       9 Anzahl                                                                       Anteil an Schülerinnen und Schülern der Jahrgangsstufe 9 in % 2009/10    Sekundarschule                             7 391              126                 1 262                   270                      3                     1                 17,1                    3,7                    2,4                     0,8 Gemeinschaftsschule                            -                 -                     -                     -                     -                     -                     -                     -                      -                        - Gymnasium                                  4 652              532                      2                     -                     -                     -                   0,0                     -                      -                        - Integrierte Gesamtschule                     338               21                      8                   13                      -                     -                   2,4                   3,8                      -                        - Kooperative Gesamtschule                     345                 -                    19                     9                     -                     -                   5,5                   2,6                      -                        - Freie Waldorfschule                            -               48                      -                     -                     -                     -                     -                     -                      -                        - Förderschulen                              1 206               32                     35                  895                     11                     7                   2,9                  74,2                   34,4                   21,9 Insgesamt                                 13 932              759                 1 326                 1 187                     14                     8                   9,5                   8,5                    1,8                     1,1 2008/09    Sekundarschule                             7 876              106                 1 417                   271                      4                     1                 18,0                    3,4                    3,8                     0,9 Gemeinschaftsschule                            -                 -                     -                     -                     -                     -                     -                     -                      -                        - Gymnasium                                  4 617              470                      -                     -                     -                     -                     -                     -                      -                        - Integrierte Gesamtschule                     367                 -                     1                   12                      -                     -                   0,3                   3,3                      -                        - Kooperative Gesamtschule                     354                 -                    28                   14                      -                     -                   7,9                   4,0                      -                        - Freie Waldorfschule                            -               47                      -                     -                     -                     -                     -                     -                      -                        - Förderschulen                              1 307               25                     48                  904                     17                     5                   3,7                  69,2                   68,0                   20,0 Insgesamt                                 14 521              648                 1 494                 1 201                     21                     6                 10,3                    8,3                    3,2                     0,9 2007/08    Sekundarschule                             9 315               56                 1 898                   439                      5                     -                 20,4                    4,7                    8,9                        - Gemeinschaftsschule                            -                 -                     -                     -                     -                     -                     -                     -                      -                        - Gymnasium                                  4 580              441                      3                     -                     -                     -                   0,1                     -                      -                        - Integrierte Gesamtschule                     275                 -                     1                     6                     -                     -                   0,4                   2,2                      -                        - Kooperative Gesamtschule                     325                 -                    33                   11                      -                     -                 10,2                    3,4                      -                        - Freie Waldorfschule                            -               44                      -                     -                     -                     -                     -                     -                      -                        - Förderschulen                              1 485               19                     57                1 074                      9                     6                   3,8                  72,3                   47,4                   31,6 Insgesamt                                 15 980              560                 1 992                 1 530                     14                     6                 12,5                    9,6                    2,5                     1,1 2006/07    Sekundarschule                            11 176               78                 1 879                   426                      9                     -                 16,8                    3,8                   11,5                        - Gemeinschaftsschule                            -                 -                     -                     -                     -                     -                     -                     -                      -                        - Gymnasium                                  4 837              506                      -                     -                     -                     -                     -                     -                      -                        - Integrierte Gesamtschule                     360                 -                     6                     5                     -                     -                   1,7                   1,4                      -                        - Kooperative Gesamtschule                     390                 -                    26                   11                      -                     -                   6,7                   2,8                      -                        - Freie Waldorfschule                            -               42                      -                     -                     -                     -                     -                     -                      -                        - Förderschulen                              1 680               16                     51                1 204                      4                     7                   3,0                  71,7                   25,0                   43,8 Insgesamt                                 18 443              642                 1 962                 1 646                     13                     7                 10,6                    8,9                    2,0                     1,1 2005/06    Sekundarschule                            15 773               34                 2 499                   499                      4                     1                 15,8                    3,2                   11,8                     2,9 Gemeinschaftsschule                            -                 -                     -                     -                     -                     -                     -                     -                      -                        - Gymnasium                                  7 801              546                      2                     -                     -                     -                   0,0                     -                      -                        - Integrierte Gesamtschule                     440                 -                     8                     9                     -                     -                   1,8                   2,0                      -                        - Kooperative Gesamtschule                     369                 -                    14                     6                     -                     -                   3,8                   1,6                      -                        - Freie Waldorfschule                            -               48                      -                     -                     -                     -                     -                     -                      -                        - Förderschulen                              2 065               36                     94                1 566                      -                   11                    4,6                  75,8                      -                   30,6 Insgesamt                                 26 448              664                 2 617                 2 080                      4                   12                    9,9                   7,9                    0,6                     1,8 Zeichenerklärung: -          (nach Rundung) nichts vorhanden, genau Null Seite 3 von 3
8

KA 7/4239 - Anlage 1 zu Frage 2 Statistik der allgemeinbildenden Schulen Aus Gründen der statistischen Geheimhaltung sind die Absolutwerte auf ein Vielfaches von 3 gerundet (Schülerinnen und Schüler 2018/19 und 2019/20, Schulabgängerinnen und Schulabgänger 2017/18 - 2019/20). Die Summe der gerundeten Werte kann von der ebenfalls gerundeten Gesamtsumme abweichen. Schulabgängerinnen und Schulabgänger nach      Schulabgängerinnen und Schulabgänger nach Schuljahr              Schülerinnen und Schüler der Jahrgangsstufen 9 Abschlussarten                                Abschlussarten Schulformen                                    und 10 Qualifizierter Hauptschulabschluss            Qualifizierter Hauptschulabschluss öffentliche Schulen        Ersatzschulen        öffentliche Schulen         Ersatzschulen     öffentliche Schulen         Ersatzschulen Jahrgangsstufe                  9            10         9          10           9            10          9          10        9            10          9           10 Anteil an Schülerinnen und Schülern der Anzahl Jahrgangsstufen 9 und 10 in % 2019/20 Sekundarschule                                5 886       5 037        456         456           27           15           -        -        0,5           0,3           -             - Gemeinschaftsschule                           2 514       1 824        153         123            9            3           -        -        0,4           0,2           -             - Gymnasium                                     5 658       5 469        741         717            -            -           -        -           -            -           -             - Integrierte Gesamtschule                         471        372        282         261            -            -           -        -           -            -           -             - Kooperative Gesamtschule                         225        210           -          -            3            -           -        -        1,3             -           -             - Freie Waldorfschule                                -           -        75          81            -            -           -        -           -            -           -             - Förderschulen                                    852        153         36           -           24            -          6         -        2,8             -       16,7              - Insgesamt                                    15 606      13 062      1 743      1 635            63           18          6        3         0,4           0,1        0,3           0,2 2018/19 Sekundarschule                                6 186       5 091        465         453           54           12           -        -        0,9           0,2           -             - Gemeinschaftsschule                           2 220       1 659        129         147           15            6           -        -        0,7           0,4           -             - Gymnasium                                     5 739       5 406        720         783            -            -           -        -           -            -           -             - Integrierte Gesamtschule                         384        393        273         243            -            -          6        3            -            -        2,2           1,2 Kooperative Gesamtschule                         222        219           -          -            -            -           -        -           -            -           -             - Freie Waldorfschule                                -           -        84          78            -            -           -        -           -            -           -             - Förderschulen                                    837        138         33           -           15            -         12         -        1,8             -       36,4              - Insgesamt                                    15 585      12 906      1 707      1 704            84           18         18        3         0,5           0,1        1,1           0,2 Seite 1 von 6
9

KA 7/4239 - Anlage 1 zu Frage 2 Schulabgängerinnen und Schulabgänger nach     Schulabgängerinnen und Schulabgänger nach Schuljahr   Schülerinnen und Schüler der Jahrgangsstufen 9 Abschlussarten                               Abschlussarten Schulformen                        und 10 Qualifizierter Hauptschulabschluss           Qualifizierter Hauptschulabschluss öffentliche Schulen         Ersatzschulen        öffentliche Schulen         Ersatzschulen    öffentliche Schulen         Ersatzschulen Jahrgangsstufe      9            10          9          10           9            10          9          10       9            10          9           10 Anteil an Schülerinnen und Schülern der Anzahl Jahrgangsstufen 9 und 10 in % 2017/18 Sekundarschule                    6 349       5 176         471        423            57           21           -       -        0,9           0,4           -             - Gemeinschaftsschule               2 070       1 612         136         67            24            3           -       -        1,2           0,2           -             - Gymnasium                         5 640       5 730         764        727             -            -           -       -           -            -           -             - Integrierte Gesamtschule             404        373         255        246             -            -          3        3           -            -        1,2           1,2 Kooperative Gesamtschule             247        218            -          -            -            -           -       -           -            -           -             - Freie Waldorfschule                    -           -         84         91             -            -           -       -           -            -           -             - Förderschulen                        869        183          39           -            -            -         18        -           -            -       46,2              - Insgesamt                        15 579      13 292       1 749      1 554            81           24         21        3        0,5           0,2        1,2           0,2 2016/17 Sekundarschule                    6 492       5 748         419        362            60           26          1        -        0,9           0,5        0,2              - Gemeinschaftsschule               1 639       1 507          74         40            12           13           -       -        0,7           0,9           -             - Gymnasium                         6 008       5 642         724        751             -            -           -       -           -            -           -             - Integrierte Gesamtschule             377        412         258        209             -            -           -       2           -            -           -          1,0 Kooperative Gesamtschule             240        236            -          -            1            -           -       -        0,4             -           -             - Freie Waldorfschule                    -           -        108         76             -            -           -       -           -            -           -             - Förderschulen                        946        200          29           -           10            2         10        -        1,1           1,0       34,5              - Insgesamt                        15 702      13 745       1 612      1 438            83           41         11        2        0,5           0,3        0,7           0,1 2015/16 Sekundarschule                    7 065       6 081         375        331            51           29           -       1        0,7           0,5           -          0,3 Gemeinschaftsschule               1 501       1 069          48         38            13            5           -       -        0,9           0,5           -             - Gymnasium                         5 926       5 737         726        713             -            -           -       -           -            -           -             - Integrierte Gesamtschule             393        375         209        144             -            -          1        1           -            -        0,5           0,7 Kooperative Gesamtschule             234        244            -          -            4            -           -       -        1,7             -           -             - Freie Waldorfschule                    -           -         80         79             -            -           -       -           -            -           -             - Förderschulen                     1 024         322          39          3            13            -          9        -        1,3             -       23,1              - Insgesamt                        16 143      13 828       1 477      1 308            81           34         10        2        0,5           0,2        0,7           0,2 Seite 2 von 6
10

Zur nächsten Seite