Besitzerverhältnisse der vom Land Sachsen-Anhalt genutzten Immobilien

Immobilien

/ 35
PDF herunterladen
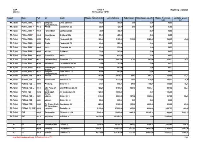
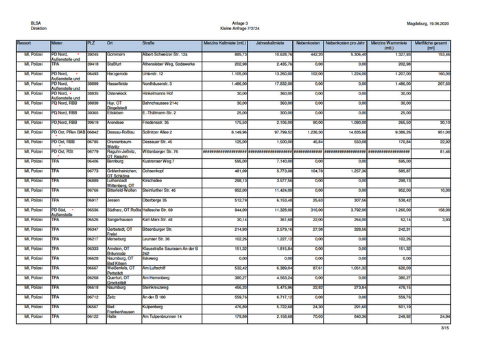
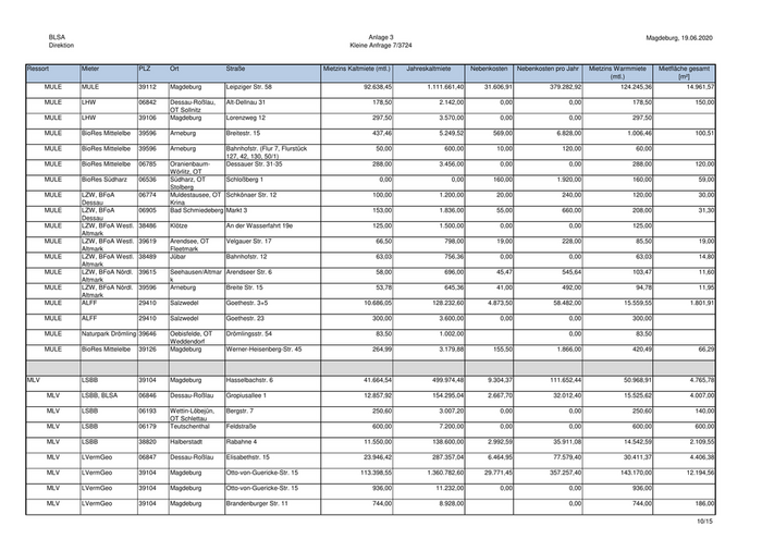
BLSA                                                                                         Anlage 3                                                                                  Magdeburg, 19.06.2020 Direktion                                                                             Kleine Anfrage 7/3724 Daten der Mietverträge gesamt Ressort           Mieter          PLZ   Ort           Straße                         Mietzins Kaltmiete (mtl.)    Jahreskaltmiete     Nebenkosten   Nebenkosten pro Jahr  Mietzins Warmmiete      Mietfläche gesamt (mtl.)                  [m²] LT        LfD             39104 Magdeburg     Leiterstr. 9                                   6.800,40               81.604,80      1.692,63            20.311,56                 8.493,03              1.029,05 LT        LBStU, LT-Verw. 39104 Magdeburg     Schleinufer 12, 2. OG                           2335,00               28.020,00       1100,00            13.200,00                 3.435,00                424,53 LT        LBStU           39104 Magdeburg     Schleinufer 12, 1. OG                          2335,00                28.020,00       1100,00            13.200,00                 3.435,00                424,53 LT        LfD             39104 Magdeburg     Leiterstr. 12a                                 2.698,80               32.385,60        674,70             8.096,40                 3.373,50                269,88 StK        StK             06886 Lutherstadt   An der Stadthalle 2 Wohnung                      128,13                1.537,56        105,86             1.270,32                   233,99                 24,00 Wittenberg    Nr.: 79 Stk        LDA             06333 Hettstedt     Untere Bahnhofstr. 27                            190,08                2.280,96          0,00                  0,00                  190,08                 55,21 Stk        LDA             06333 Hettstedt     Am Mühlgraben 7, Garage Nr. 8                     35,00                  420,00          3,00                36,00                    38,00 Stk        LDA             06118 Halle         Trothaer Str. 36                                 102,26                1.227,12          0,00                  0,00                  102,26                 42,00 Stk        LDA             39576 Stendal       Frommhagenstr. 32 a                              383,47                4.601,64         76,69               920,28                   460,16                 72,00 Stk        LDA             06108 Halle         Große Märkerstr. 6                             1.684,32               20.211,84        467,06             5.604,72                 2.151,38                291,91 Stk        LDA             06114 Halle         Triftstr. 5                                      470,00                5.640,00         94,00             1.128,00                   564,00                188,00 Stk        LDA             06112 Halle         Gutenbergstr. 17                               2.050,00               24.600,00         90,00             1.080,00                 2.140,00              1.000,00 Stk        LDA             06333 Hettstedt     Am Mühlgraben 7, Garage Nr. 11                    35,00                  420,00          3,00                36,00                    38,00 Stk        LDA             06118 Halle         Brachwitzer Str. 16, 1. OG                     2.231,25               26.775,00      1.338,75            16.065,00                 3.570,00                750,00 Stk        LDA             06118 Halle         Brachwitzer Str. 16, 2. OG                     3.465,88               41.590,56      2.079,52            24.954,24                 5.545,40              1.165,00 Stk        Stiftung        39112 Magdeburg     Humboldtstr. 12                                5.130,64               61.567,68      1.493,24            17.918,88                 6.623,88                813,82 Bürgerlichen MF        FA              06846 Dessau-Roßlau Kühnauer Str. 166                            48.500,00              582.000,00           0,00                  0,00               48.500,00              6.241,10 MF        FA              29410 Salzwedel     Buchenallee 2                                21.904,20              262.850,40       7.404,36            88.852,32                29.308,56              3.702,18 MF        BLSA            39104 Magdeburg     Otto-von-Guericke-Str. 4                       9.521,26             114.255,12           0,00                  0,00                9.521,26              1.586,42 MF        BLSA            39104 Magdeburg     Otto-von-Guericke-Str. 4                          99,00                1.188,00          0,00                  0,00                   99,00 MF        BLSA            39124 Magdeburg     Nachtweide 82                                13.206,48              158.477,76       6.722,13            80.665,56                19.928,61              2.688,85 MF        BLSA            39124 Magdeburg     Schwiesaustr. 13                             15.700,00              188.400,00       1.420,00            17.040,00                17.120,00              1.188,00 MF        BLSA            39106 Magdeburg     Otto-Hahn-Str. 1, 1a                         29.735,28              356.823,36      10.692,00           128.304,00                40.427,28              2.673,00 MF        BLSA            39106 Magdeburg     Joseph-von-Fraunhofer-Str. 2                   8.481,90             101.782,80       3.050,96            36.611,52                11.532,86                762,74 1/15
21

BLSA Anlage 3 Magdeburg, 19.06.2020
Direktion Kleine Anfrage 7/3724

EN EEE BE a
(mtl.) [m?]

N

I I en a EEE

Katharinenstr. 21 26.040,00

n

- n

S on

[=] N

3 a
an

— Blankenburg

IA
A ui Blankenburg 'Tummelplatz 1; Löbeckestr. 4

;
RB
8
8
®
ö
RB

:

‚SchA, Ernst-Kamieth-Str. 2

8
8
8

h
IE:

e
? RB
5

8

Ss

rw
}
BI Kl 3
s
8
8
/ıl,
5
8
8

Halle
Halle
Halle

S
nn
aa
8
S
m

'Turmstr.

®

2 o
S u
—

5 3
3 &

:| |2l >
&| 3I 3] 8 8
N

8 3:
3
5
=
8
g
3
N
2
8
a

8
N _
28

Nachtweide 82

n
a
u
—
Er
a
©

Halbe: Friedrich-List-Str.

2

N
8
2
3
=
8
5
?

:

Str. der Opfer des Faschismus

Schwiesaustr. 13

5
|
N
8
8
<

De Blankenburg
139576

11

j
3

Fi
Fi
I

| I
=
o
8
:

a
D
8
3| 8
>
8
| &
Ss
8
,
3

8
8
j
8

AF Lühnergasse 17

S

i

| j
3

?
8

'Gardelegener Str. 120e
Friedrich-List-Str.

2
8
8

i
$
i

Kustrenaer Str. 98

8
8
8
8
8
3
8

|
=

i

MI, Polizei StWSI Am Saalehafen 1

Magdeburger Str. 40
Magdeburger Str. 40

3
i
2 »
o

8

8
3
N
8
8

s

1
8 Oo
8 Q
3 3 | 8
.
3

r- Pr
un | ee
elle und
=
MI, Polizei i

8
8

'

:

|?

3
IHN

Dessauer Str. 6a

©| ©
& R
,
N
3

«u
oO

=
E

Schönebec! Flur 3, Flurstück 1548/3

gdeburg Zollstr. 1

Ten
ben

5
8

5

U
„O
2
2
s
2)
v

TPA
TPA |Vor dem Schneppel
P *

P

usen/Altmar [Am Markt 11

8 8
nm zu
8 | 3
3 8

f

?
x

Himmelreichstr. 1

&
u
>»
8
8
8
rn
8
8

 

He]
g
o
o

2/15
22

BLSA
Direktion

ED TE
ermieund | | un | erAmeberöt
Außenstelle und
un en.
Taler |
Außenstelle und
MI, Polizei PD Nord,
Benstelle und
se
Boll
|
DEE
Des
Boeil

5
=
8

|

Nordhäuserstr. 3

>
gl &

5
:

Hinkelmanns Hof

telle u

a

Bahnchaussee 214c

ie

‚RBB E.-Thälmann-Str. 2

2
o&
X

PD,Nord, Friedensstr. 35

u-Roßlau 'Sollnitzer Allee 2

a
1

I

x
a 3
8

:
=
R'

Dessauer Str. 45

Wittenberger Str. 76
Kustrenaer Weg 7

um-

*

:

Raguhn-Jeßnitz,
OT Raguhn

|
Gräfenhainichen,
OT Schköna
Wittenberg, OT
u
harz, OT Roßla|Hallesche Str. 69

rhausen Karl-Marx-Str. 48

| 31.3
28]?
233

5

KH
KH

A

euer

Kirschallee

u

3
g
[>]
A
2
3

Ki
Due

T

TPA
TPA
TPA

P)
P)
P)
P)

3
|

2

*

E

Benstelle

>
E

meer
PT
Di

;

dd ıda
ih
4]:

|

AH

Freist

ul

Arnstein, OT
Bräunrode
Naumburg, OT
Bad Kösen
Weißenfels, OT
ttstädt

rfurt, OT

8
=

Leunaer Str. 36

Dee
Deeser
7
rer
MI, Polizei
DB
DT
Ca
ET

PA
A

Klausstraße Saurasen An der B

3
>

T
T
T Ilskeweg

Am Luftschi

P)
PA
TPA

|

LLLL

ee

TPA Am Herrenberg

1
Ä

8

mburg Steinkreuzweg

TPA
TPA An der B 180
TPA Kul

Mi
n
it
g

3
R

Am Tulpenbrunnen 14

"
Il

Anlage 3
Kleine Anfrage 7/3724

Magdeburg, 19.06.2020

Nebenkosten pro Ja Mietzins Warmmiete | Mietfläche gesamt
Ke

Nebenkosten
442,20

au
o
8

8

885,73)

N,
&| 8

13:
3
ß
3
:
3

3

3 ö

3
8
3

3 8

©
8
8
=| SI »
el 2] 3
;
>
&
3

8
&
®
3
2

|
3

8
8
8

It
MEIN

N

a
ai
nm
SI
oo

8
3
s
2

N
&

—_
ua
_
8

N

R
a
©
2
[4

< a I
a &
an an
8 2

nı ol o
“I SS
8 N 8

&

PN
D

8 =

SI 8
eo 9
8
&
8

8
8
8
8
23

BLSA Anlage 3 Magdeburg, 19.06.2020

Direktion Kleine Anfrage 7/3724
Straße i altmiete Jahreskaltmiete Nebenkosten | Nebenkosten pro Ja Mietzins Warmmiete
[m?]

R

MI, Polizei PA Magdeburger Str. 23

&
N
\
| ®

Do
oO
E
u
E

MI, Polizei

2
a
D
&
8
8

E

MI, Polizei Dürrenberg [Promenade 13

ji

b

MI, Polizei una, OT Merseburger Landstr. 35

Günthersdorf

3
8
P®|
5
1:

3
=
2
8
83

5
3

MI, Polizei

8
B
a
E
a
8

108 Leipziger Str. 90-92

e
8
8
8
8
D
3
5

K-Beratu qg_”

MI, Polizei Motoparkallee 20-22

3
\

| Il |
el 8 8

MI, Polizei rsleber Chaussee 87

|

MI, Polizei

u

D Nord, *
ußenstelle und

Am Markt 17

>

Y
a
I
I 5
8
| 8
el 8

2
8
8

MI, Polizei

An der Stadthalle 2 Wohnung
MI, Polizei An der Stadthalle 2 Wohnung
Nr.: 72

An der Stadthalle 2Wohnung

8
8
3
8

SEE 8
ee
2

MI, Polizei

1
KEBELELELLEL
ji

Hinter der Kirche 2

TE
8
a

MI, Polizei

3
E
2
©
&
3

Q
2
8
&

°
3
z| 2] zZ
| 5
ß
on
& 3
8
3

MI, Polizei

*

3
E
2

MI, Polizei

2 &

an ©

3 3
5
8
3

MI, Polizei

D
oO
o
&
ı
©
@

Schulstr. 18

8
8

2 5
x

ö

x

8

8

8

8

g

w@

8

MI, Polizei

je]
oO
E
2
co
oo
&
8

|

Hauptstr. 19a

8
$
8

MI, Polizei Mittelstr. 8

Do
‚
E
pe)
8

MI, Polizei

8

1

$

Isketal, OT  |Liebenauer Str. 8
Zwintschöna

in- jün, |Bahnhofstr. 4a
OT Löbejün

8
3

MI, Polizei

=
3
:
g
=

193

-
S
1
2
nm
© _
21 5
&

8
3
3

MI, Polizei

8
8

le
1:
LLLL

| 2] SE
&

f

MI, Polizei

u
oO

Nord, RBB
Nord, RBB

Huy, OT Bahnhofstr. 243
Dingelstedt
iedere Börde, OT [Große Str. 9/10

8
3
8
3

u
oO
2

MI, Polizei

MI, Polizei 179 Barleben
Flechtingen Lindenplatz 13

Im Grund 3a und 3b

Ernst-Thälmann-Str. 22

0 | ©

f
8

MI, Polizei

MI, Polizei

3
ä
2
B

MI, Polizei ersberg, OT Götschetalstr. 15

8

.o
2
®
°

s®
2
N

MI, Polizei Kirchstr. 4

*

MI, Polizei harz, OT Hüttenhof 1

8

w
S
DD

|

Ai
BE
2 2
:
A
&
I
3
N E
& Q
8 8
dalal.
24

BLSA Anlage 3 Magdeburg, 19.06.2020

Direktion Kleine Anfrage 7/3724

Or Straße Mietzins Warmmiete | Mietfläche gesamt
[m?]

De

DE

iederitz Berliner Str. 25

Jahreskaltmiete Nebenkosten | Nebenkosten pro Jahr

|

3 2 3

MI, Polizei

_
-_
_
S
3

1.440,00

Do
oO
E
u
E

MI, Polizei

*

MI, Polizei

—o
oO
Io
ao
co

*

[EEE
1
ELE

MI, Polizei

B

3
2
®
&
3
oo
al 8] 3

MI, Polizei adt Jerichow Karl-Liebknecht-Str. 10

Mr Brunnenbreite 7/8

Falkenstein, OT |Siederstr. 20
Ermsleben
Aken

*

2
©
m
Q

MI, Polizei 929

| 33
38
i

MI, Polizei

a
3

MI, Polizei

MI, Polizei Annaburg Torgauer Str. 52

|,
8

MI, Polizei rnienburger |Lindensir. 16

8
3
3

B
R| 2| &
e| 8] 3
SL
8 R 3

3 3 3
2 2 2
2 27 0
3:

ER
Q

MI, Polizei

Do
oO
2
8
oo

Südliches |Hauptstr. 31
OT

PN
5
SI
oo

2
B
8
O
n -
Sal:
mn
Q
3

MI, Polizei 'Am Markt 1

8
3
8

Km

MI, Polizei

8
3
2
3
8
ö

Burgstr. 5
Große Seestr. 17a

3 3
22
ZI 7° 8
el &

MI, Polizei

3 3

[Mansfelder Land,
stein, OT Untersir. 6c
nstedt
Helbra

MI, Polizei

8
8
3
8

a
5

8Iı &

MI, Polizei

Du
oO
B
pe)
E

Hauptstr. 24

©

E
&3

MI, Polizei Ilsenburg Harzburger Str. 24

Magdeburger Str. 3
Naumburger Str. 33

u
oO
u
&
o&

MI, Polizei

3
2
Q
8

MI, Polizei
MI, Polizei

8
N

Zeitzer Str. 15

3 3
El &
ol 2
eo ©
=
S
8
8

MI, Polizei

u
oO
E
3
oo

Markt 17

8
e| 8
a R ;
8
13,
8
Ri

u
oO

MI, Polizei Rathausplatz 1

8
8
8

MI, Polizei

D
°
2
®
©

Seeland, OT |Lindenstr. 1
terstedt
/ Milde

De TR RBB * 106317 Seegebiet

4

MI, Polizei Schulstr. 11

MI, Polizei Güsten Platz der Freundschaft 1

2 2 2
go © 8
ao 5

* * *

&
€ Ä
® g

:

3

®

8

3

5
}

MI, Polizei 39171 Sülzetal, OT [Alte Dorfstr. 26

rweddingen

2

Ih
8 8
| | N
g
8
8
8

333
g1 8] 8
8
8
8
8

MI, Polizei

=

MI, Polizei

U
oO
z

ai

aa an an:

8

ladıl,
5 8 SI N
25

BLSA Anlage 3 Magdeburg, 19.06.2020
Direktion Kleine Anfrage 7/3724

[m]
a a sm mE mE VE EEE
em

Ira foren fo fee af Tal a Te al am
[sr Poren fee essen af a a m
[EEE Pee Presse fERr free fer re Eee

Te ee
Te

ro Eomecka

Te pe ee fee a ae m
Pe pr er ee a

Te Te
I sn EN EN ER ER EG ERREGER: EREN
ee Te TR
Ba = EEE RE EG = RE

ühlbeck
ee

 

 

vv eierunge
[ser Por fr FERNE fear
ine nk Ga ss EEE ER RE ER EEG; RE: EEG
Ti
Rottleberode
6/15

m
26

Polizeiinspektion (PI)
27

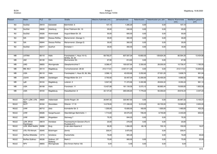
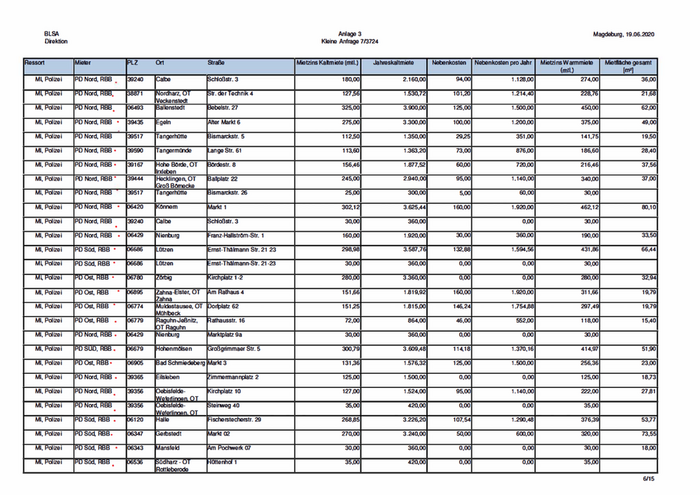
BLSA                                                                                        Anlage 3                                                                                   Magdeburg, 19.06.2020 Direktion                                                                            Kleine Anfrage 7/3724 Ressort           Mieter             PLZ   Ort               Straße                 Mietzins Kaltmiete (mtl.)    Jahreskaltmiete      Nebenkosten   Nebenkosten pro Jahr  Mietzins Warmmiete      Mietfläche gesamt (mtl.)                  [m²] MJ        AG                 06366 Köthen            Friedhofstr. 48                      17.034,45               204.413,40       2.091,95            25.103,40                19.126,40              2.988,50 MJ        AG                 06766 Bitterfeld-Wolfen Lindenstr. 14                          6.945,70               83.348,40       1.604,80            19.257,60                 8.550,50              1.003,00 MJ        AG                 39261 Zerbst            Neue Brücke 22                       13.425,00               161.100,00                                 0,00               13.425,00              1.802,00 MJ        JZ Dessau (LG,     06844 Dessau-Roßlau     Willy-Lohmann-Str. 29                56.800,00               681.600,00                                 0,00               56.800,00              9.345,00 LVerfG, ArbG) MJ        JZ Halle (AG, StA, 06112 Halle             Thüringer Str. 16                   299.833,33             3.598.000,00      24.200,00         3.598.000,00              324.033,33            34.689,00 ArbG, SG, VG, MJ        JZ MD (OVG, VG,    39104 Magdeburg         Breiter Weg 203-206                 194.453,49             2.333.441,88      34.000,00           408.000,00              228.453,49            26.776,49 AG, ArbG, SG, MJ        JZ SDL (StA,       39576 Stendal           Scharnhorststr. 36                   25.000,00               300.000,00                                 0,00               25.000,00              4.224,00 Handelsregister) MJ        SozDdJ             06618 Naumburg          Domplatz 1a                            1.712,33               20.547,96         212,58            20.547,96                 1.924,91                393,40 MJ        SozDdJ             39112 Magdeburg         Halberstädter Str. 189                 1.367,90               16.414,80         658,06             7.896,72                 2.025,96                407,00 MJ        SozDdJ             06886 Lutherstadt       Juristenstr. 11                        1.124,08               13.488,96         333,07             3.996,84                 1.457,15                222,05 Wittenberg MJ        SozDdJ             06526 Sangerhausen      Speicherstr. 6                         1.531,25               18.375,00         549,50             6.594,00                 2.080,75                305,74 MJ        SozDdJ             06712 Zeitz             Neumarktstr. 12                          150,00                1.800,00          57,33               687,96                   207,33                 28,15 MJ        SozDdJ             06295 Lutherstadt       Lindenallee 56                            70,72                  848,64          21,00               252,00                    91,72                 15,89 Eisleben MJ        SozDdJ             06217 Merseburg         Weißenfelser Str. 46b                  1.234,31               14.811,72         455,00             5.460,00                 1.689,31                274,29 MJ        SozDdJ             06217 Merseburg         Weißenfelser Str. 46b                     27,00                  324,00           0,00                  0,00                   27,00 MJ        SozDdJ             06917 Jessen            Markt 23                                  60,00                  720,00           0,00                  0,00                   60,00                 41,00 MJ        SozDdJ             06502 Thale             Karl-Marx-Str. 3                         120,00                1.440,00          70,00               840,00                   190,00                 40,00 MJ        SozDdJ             39218 Schönebeck        Bahnhofstr. 11-12                        134,80                1.617,60          11,00               132,00                   145,80                 26,80 MJ        SozDdJ             39539 Havelberg         Genthiner Str. 17                          0,00                     0,00          0,00                  0,00                    0,00                 27,30 MJ        StA                06618 Naumburg          Hinter dem Dom 1-2                     8.160,00               97.920,00       1.610,00            19.320,00                 9.770,00              1.360,00 MJ        StA                38820 Halberstadt       Richard-Wagner-Str. 54               13.973,00               167.676,00       2.600,00            31.200,00                16.573,00              2.092,00 MJ        SozDdJ             06366 Köthen            Am Markt 2                                78,33                  939,96           0,00                  0,00                   78,33 MJ        SozDdJ             06333 Hettstedt         Markt 6                                   39,38                  472,56          11,42               137,04                    50,80                 11,25 MJ        SozDdJ             38855 Wernigerode       Kurtsstr. 13                             180,00                2.160,00                                 0,00                  180,00                 60,00 MJ        SozDdJ             39638 Gardelegen        Letzlinger Landstr. 8                     88,00                1.056,00           0,00                  0,00                   88,00 MJ        SozDdJ             39387 Oschersleben      Lindenstr. 4                             100,00                1.200,00           0,00                  0,00                  100,00                 15,51 MJ        SozDdJ             06773 Gräfenhainichen   Kirchplatz 1                              44,22                  530,64           0,00                  0,00                   44,22                 21,96 MJ        SozDdJ             39340 Haldensleben      Markt 20-22                               30,00                  360,00           0,00                  0,00                   30,00 8/15
28

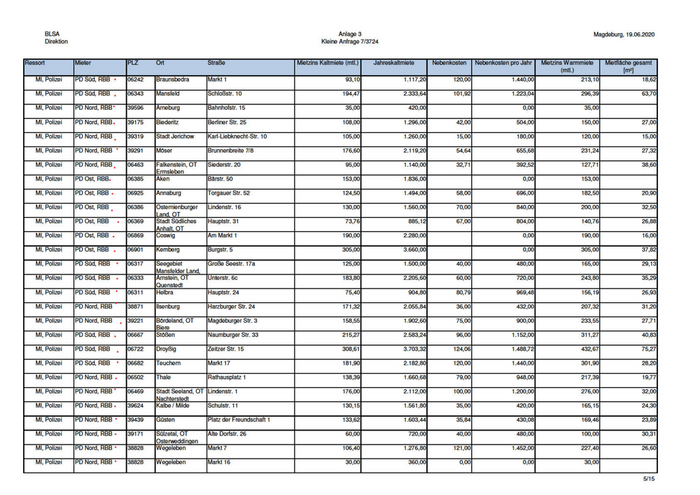
BLSA                                                                                             Anlage 3                                                                                   Magdeburg, 19.06.2020 Direktion                                                                                 Kleine Anfrage 7/3724 Ressort           Mieter            PLZ   Ort           Straße                           Mietzins Kaltmiete (mtl.)    Jahreskaltmiete      Nebenkosten   Nebenkosten pro Jahr  Mietzins Warmmiete      Mietfläche gesamt (mtl.)                  [m²] MJ        SozDdJ            29410 Salzwedel     Bahnhofstr. 6                                      107,10                1.285,20           0,00                  0,00                  107,10 MJ        SozDdJ            39606 Osterburg     Ernst-Thälmann-Str. 10                              20,00                  240,00           0,00                  0,00                   20,00 MJ        SozDdJ            39326 Wolmirstedt   August-Bebel-Str. 25                                50,00                  600,00           0,00                  0,00                   50,00 MJ        StA               06844 Dessau-Roßlau Mariannenstr. (Garage 1)                            30,00                  360,00           0,00                  0,00                   30,00 MJ        StA               06844 Dessau-Roßlau Mariannenstr. (Garage 2)                            30,00                  360,00           0,00                  0,00                   30,00 MJ        SozDdJ            06217 Querfurt      Kirchplan 1                                         30,00                  360,00           0,00                  0,00                   30,00 MB         LATINA            06110 Halle         Franckeplatz 1, Haus 10-13,                    69.792,27               837.507,24      10.802,03           129.624,36                80.594,30           13.434,86 42/42a, 43, 44 MB         LBZ               06130 Halle         Murmansker Str.                                     67,90                  814,80           0,00                  0,00                   67,90 MB         LMG               38855 Wernigerode   Oberpfarrkirchhof 7                              8.386,47              100.637,64       2.350,00            28.200,00                10.736,47              1.190,00 MB         MB, MLV           39114 Magdeburg     Turmschanzenstr. 28-32                        213.117,61             2.557.411,28           0,00                  0,00             213.117,61            10.849,00 MB         LISA              06110 Halle         Franckeplatz 1, Haus 35, 36, 36a                 3.586,14               43.033,68       2.252,60            27.031,20                 5.838,74                901,04 MB         LSchA             39638 Gardelegen    Philipp-Müller-Str. 2-4                          2.783,92               33.407,04       2.200,00            26.400,00                 4.983,92                695,98 MB         LpB               39104 Magdeburg     Leiterstr. 2                                     5.947,58               71.370,96       2.402,86            28.834,32                 8.350,44                961,14 MB         LISA              06108 Halle         Franckestr. 11                                 13.427,88               161.134,56       5.572,12            66.865,44                19.000,00              1.803,58 MB         LISA              39104 Magdeburg     Hasselbachstr. 8                               22.137,22               265.646,64       7.779,22            93.350,64                29.916,44              2.447,23 MULE         ALFF, LZW, LFB,   38820 Halberstadt   Große Ringstr. 20                              26.997,32               323.967,90           0,00                  0,00               26.997,32              5.103,37 SDJ MULE         ALFF              39164 Wanzleben     Ritterstr. 17-19                               14.278,00               171.336,00       5.310,00            63.720,00                19.588,00              2.655,00 MULE         LHW               06712 Zeitz         Kuhndorfer Str. 5                                1.300,00               15.600,00         160,00             1.920,00                 1.460,00                432,25 MULE         LHW               06526 Sangerhausen  Oberröblinger Bahnhofstr. 1                      1.714,60               20.575,20         728,40             8.740,80                 2.443,00                653,00 MULE         LHW               38828 Wegeleben     Steinweg 7                                          70,35                  844,20           0,00                  0,00                   70,35 MULE         LZW, BFoA         39619 Arendsee      Feuerwachturm Genzien (Flur 6                       23,00                  276,00           0,00                  0,00                   23,00 Flechtingen                           Flurstück 6/7) MULE         LZW, BfoA Nedlitz 39288 Burg          In der alten Kaserne 2                              90,35                1.084,20          60,18               722,16                   150,53                 18,07 MULE         LFB, FB Altmark   39345 Bülstringen   Zernitz                                            330,91                3.970,92                                 0,00                  330,91 MULE         BioRes Mittelelbe 14715 Schollene     Fischerhütte                                        76,69                  920,28                                 0,00                   76,69                 49,60 MULE         BioRes Südharz    06536 Südharz, OT   Markt 2                                             75,00                  900,00           0,00                  0,00                   75,00                 25,00 Stolberg MULE         NPV               38855 Wernigerode   Drei Annen Hohne 105                                 0,04                     0,48          0,00                  0,00                    0,04 9/15
29

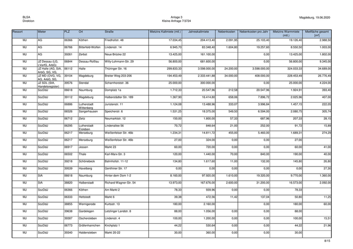
BLSA                                                                                               Anlage 3                                                                                   Magdeburg, 19.06.2020 Direktion                                                                                   Kleine Anfrage 7/3724 Ressort           Mieter             PLZ   Ort              Straße                         Mietzins Kaltmiete (mtl.)    Jahreskaltmiete      Nebenkosten   Nebenkosten pro Jahr  Mietzins Warmmiete      Mietfläche gesamt (mtl.)                  [m²] MULE         MULE               39112 Magdeburg        Leipziger Str. 58                            92.638,45             1.111.661,40      31.606,91           379.282,92              124.245,36            14.961,57 MULE         LHW                06842 Dessau-Roßlau,   Alt-Dellnau 31                                   178,50                2.142,00           0,00                  0,00                  178,50                150,00 OT Sollnitz MULE         LHW                39106 Magdeburg        Lorenzweg 12                                     297,50                3.570,00           0,00                  0,00                  297,50 MULE         BioRes Mittelelbe  39596 Arneburg         Breitestr. 15                                    437,46                5.249,52         569,00             6.828,00                 1.006,46                100,51 MULE         BioRes Mittelelbe  39596 Arneburg         Bahnhofstr. (Flur 7, Flurstück                    50,00                  600,00          10,00               120,00                    60,00 127, 42, 130, 50/1) MULE         BioRes Mittelelbe  06785 Oranienbaum-     Dessauer Str. 31-35                              288,00                3.456,00           0,00                  0,00                  288,00                120,00 Wörlitz, OT MULE         BioRes Südharz     06536 Südharz, OT      Schloßberg 1                                       0,00                     0,00        160,00             1.920,00                   160,00                 59,00 Stolberg MULE         LZW, BFoA          06774 Muldestausee, OT Schkönaer Str. 12                                100,00                1.200,00          20,00               240,00                   120,00                 30,00 Dessau                   Krina MULE         LZW, BFoA          06905 Bad Schmiedeberg Markt 3                                          153,00                1.836,00          55,00               660,00                   208,00                 31,30 Dessau MULE         LZW, BFoA Westl.   38486 Klötze           An der Wasserfahrt 19e                           125,00                1.500,00           0,00                  0,00                  125,00 Altmark MULE         LZW, BFoA Westl.   39619 Arendsee, OT     Velgauer Str. 17                                  66,50                  798,00          19,00               228,00                    85,50                 19,00 Altmark                  Fleetmark MULE         LZW, BFoA Westl.   38489 Jübar            Bahnhofstr. 12                                    63,03                  756,36           0,00                  0,00                   63,03                 14,80 Altmark MULE         LZW, BFoA Nördl.   39615 Seehausen/Altmar Arendseer Str. 6                                  58,00                  696,00          45,47               545,64                   103,47                 11,60 Altmark                  k MULE         LZW, BFoA Nördl.   39596 Arneburg         Breite Str. 15                                    53,78                  645,36          41,00               492,00                    94,78                 11,95 Altmark MULE         ALFF               29410 Salzwedel        Goethestr. 3+5                               10.686,05               128.232,60       4.873,50            58.482,00                15.559,55              1.801,91 MULE         ALFF               29410 Salzwedel        Goethestr. 23                                    300,00                3.600,00           0,00                  0,00                  300,00 MULE         Naturpark Drömling 39646 Oebisfelde, OT   Drömlingsstr. 54                                  83,50                1.002,00                                 0,00                   83,50 Weddendorf MULE         BioRes Mittelelbe  39126 Magdeburg        Werner-Heisenberg-Str. 45                        264,99                3.179,88         155,50             1.866,00                   420,49                 66,29 MLV               LSBB               39104 Magdeburg        Hasselbachstr. 6                             41.664,54               499.974,48       9.304,37           111.652,44                50.968,91              4.765,78 MLV         LSBB, BLSA         06846 Dessau-Roßlau    Gropiusallee 1                               12.857,92               154.295,04       2.667,70            32.012,40                15.525,62              4.007,00 MLV         LSBB               06193 Wettin-Löbejün,  Bergstr. 7                                       250,60                3.007,20           0,00                  0,00                  250,60                140,00 OT Schlettau MLV         LSBB               06179 Teutschenthal    Feldstraße                                       600,00                7.200,00           0,00                  0,00                  600,00                600,00 MLV         LSBB               38820 Halberstadt      Rabahne 4                                    11.550,00               138.600,00       2.992,59            35.911,08                14.542,59              2.109,55 MLV         LVermGeo           06847 Dessau-Roßlau    Elisabethstr. 15                             23.946,42               287.357,04       6.464,95            77.579,40                30.411,37              4.406,38 MLV         LVermGeo           39104 Magdeburg        Otto-von-Guericke-Str. 15                   113.398,55             1.360.782,60      29.771,45           357.257,40              143.170,00            12.194,56 MLV         LVermGeo           39104 Magdeburg        Otto-von-Guericke-Str. 15                        936,00               11.232,00           0,00                  0,00                  936,00 MLV         LVermGeo           39104 Magdeburg        Brandenburger Str. 11                            744,00                8.928,00                                 0,00                  744,00                186,00 10/15
30

Zur nächsten Seite