Besitzerverhältnisse der vom Land Sachsen-Anhalt genutzten Immobilien

Immobilien

/ 35
PDF herunterladen
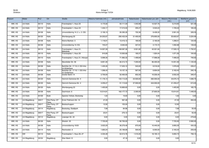
BLSA                                                                                      Anlage 3                                                                                   Magdeburg, 19.06.2020 Direktion                                                                          Kleine Anfrage 7/3724 Ressort           Mieter       PLZ   Ort           Straße                         Mietzins Kaltmiete (mtl.)    Jahreskaltmiete      Nebenkosten   Nebenkosten pro Jahr  Mietzins Warmmiete      Mietfläche gesamt (mtl.)                  [m²] MLV         LVermGeo     39539 Havelberg     Genthiner Str. 17                                  0,00                     0,00         37,50               450,00                    37,50                  0,00 MLV         LVermGeo     38486 Klötze        Straße der Jugend 6                                0,00                     0,00         37,50               450,00                    37,50                  0,00 MLV         LVermGeo     39615 Seehausen     Winckelmannplatz 5a                                0,00                     0,00         37,50               450,00                    37,50                  0,00 MS         LAV          06846 Dessau-Roßlau Kühnauer Str. 70                             17.840,00              214.080,00        9.137,08           109.644,96                26.977,08              2.229,90 MS         LAV          06846 Dessau-Roßlau Kühnauer Str. 70                                  40,90                  490,80           0,00                  0,00                   40,90                 20,00 MS         SAG          06112 Halle         Magdeburger Str. 38                          11.759,00              141.108,00        5.903,00            70.836,00                17.662,00              2.056,77 MW          LAGB         06118 Halle         Köthener Str. 38                             27.876,37              334.516,44        7.404,88            88.858,56                35.281,25              3.924,79 MW          LAGB         06632 Freyburg, OT  Schloss Neuenburg                                100,00                1.200,00           0,00                  0,00                  100,00 Neuenburg MW          MW           39104 Magdeburg     Hasselbachstr. 4                             77.413,79              928.965,48       19.164,83           229.977,96                96.578,62              7.702,43 MW, HS        HS Anhalt    06406 Bernburg      Klostergasse 7                                 2.215,18               26.582,16           0,00                  0,00                2.215,18                481,56 MW, HS        HS Anhalt    06846 Dessau-Roßlau Gropiusallee 38                                3.221,81               38.661,72       2.771,28            33.255,36                 5.993,09                577,35 MW, HS        HS Anhalt    06406 Bernburg      Solbadstr. 2                                   3.622,48               43.469,76       2.410,26            28.923,12                 6.032,74                708,90 MW, HS        HS Anhalt    06366 Köthen        Am Hubertus 1a                                 3.313,93               39.767,16       4.484,31            53.811,72                 7.798,24                648,52 MW, HS        HS f. K.u.D. 06118 Halle         Dessauer Str. 211-214                        31.457,25              377.487,00        8.526,16           102.313,92                39.983,41              3.352,73 MW, HS        HS MD-SDL    39576 Stendal       Breite Str. 63                                 1.662,41               19.948,92          85,00             1.020,00                 1.747,41                406,46 MW, HS        HS MD-SDL    39175 Gerwisch      August-Bebel-Str. 31, Klärwerk                   669,15                8.029,80          25,54               306,48                   694,69                431,02 Gerwisch MW, HS        HS MD-SDL    39114 Magdeburg     Breitscheidstr. 51                             5.017,17               60.206,04       1.341,64            16.099,68                 6.358,81                670,82 MW, HS        Uni Halle    06110 Halle         Franckeplatz 1, Haus 31,                         275,72                3.308,64         137,86             1.654,32                   413,58 Gewächshaus MW, HS        Uni Halle    06112 Halle         Julius-Kühn-Str., Ackerfläche                     39,29                  471,48           0,00                  0,00                   39,29 MW, HS        Uni Halle    06110 Halle         Franckeplatz 1, Haus 31                      31.055,89              372.670,68        2.510,19            30.122,28                33.566,08              5.019,50 MW, HS        Uni Halle    06108 Halle         Luisenstr. 2                                   2.886,98               34.643,76           0,00                  0,00                2.886,98                522,71 MW, HS        Uni Halle    06110 Halle         Franckeplatz 1, Haus 2-7                     18.301,18              219.614,16        4.991,23            59.894,76                23.292,41              3.254,00 MW, HS        Uni Halle    06110 Halle         Franckeplatz 1, Haus 54                        5.657,44               67.889,28         869,20            10.430,40                 6.526,64              1.700,21 MW, HS        Uni Halle    06110 Halle         Franckeplatz 1, Haus 30                      10.778,40              129.340,80        2.694,60            32.335,20                13.473,00              1.347,30 MW, HS        Uni Halle    06116 Halle         An der Schleuse 11                                 7,08                   85,00           0,00                  0,00                    7,08 11/15
31

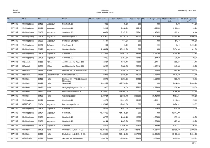
BLSA                                                                                          Anlage 3                                                                                   Magdeburg, 19.06.2020 Direktion                                                                              Kleine Anfrage 7/3724 Ressort           Mieter        PLZ   Ort            Straße                           Mietzins Kaltmiete (mtl.)    Jahreskaltmiete      Nebenkosten   Nebenkosten pro Jahr  Mietzins Warmmiete      Mietfläche gesamt (mtl.)                  [m²] MW, HS        Uni Halle     06110 Halle          Franckeplatz 1, Haus 25                          4.175,92               50.111,04       1.043,98            12.527,76                 5.219,90                521,99 MW, HS        Uni Halle     06110 Halle          Franckeplatz 1, Haus 24                          1.434,17               17.210,04         295,27             3.543,24                 1.729,44                165,00 MW, HS        Uni Halle     06108 Halle          Universitätsring 14; 2. u. 3. OG                 2.199,19               26.390,28         702,36             8.428,32                 2.901,55                328,59 MW, HS        Uni Halle     06120 Halle          Weinbergweg 22                                 24.202,67              290.432,04       31.400,00           376.800,00                55.602,67              3.224,94 MW, HS        Uni Halle     06108 Halle          Kleine Marktstr. 5                               1.118,01               13.416,12         180,00             2.160,00                 1.298,01                124,95 MW, HS        Uni Halle     06108 Halle          Universitätsring 14; EG                            745,07                8.940,84         347,81             4.173,72                 1.092,88                139,63 MW, HS        Uni Halle     06110 Halle          Franckeplatz 1, Haus 31,                       14.007,28              168.087,36        3.501,82            42.021,84                17.509,10              1.750,91 Bibliothek MW, HS        Uni Halle     06110 Halle          Franckeplatz 1, Haus 26                            910,89               10.930,68         160,37             1.924,44                 1.071,26                104,82 MW, HS        Uni Halle     06110 Halle          Franckeplatz 1, Haus 31, Hörsaal                 5.999,36               71.992,32       1.499,84            17.998,08                 7.499,20                749,92 MW, HS        Uni Halle     06108 Halle          Mansfelder Str. 56                               6.851,06               82.212,72       7.200,00            86.400,00                14.051,06              1.120,00 MW, HS        Uni Halle     06108 Halle          Barfüßer Str. 17-19; 2. OG links                 1.435,26               17.223,12         543,00             6.516,00                 1.978,26                239,21 im Hinterhaus MW, HS        Uni Halle     06108 Halle          Barfüßer Str. 17-19; 1. OG links                 1.596,43               19.157,16         567,00             6.804,00                 2.163,43                240,18 im Vorderhaus MW, HS        Uni Halle     06108 Halle          Großer Berlin 14                                 2.700,00               32.400,00         852,20            10.226,40                 3.552,20                349,47 MW, HS        Uni Halle     06120 Halle          Heinrich-Damerow-Str. 4                        11.176,10              134.113,20       23.500,00           282.000,00                34.676,10              1.698,70 MW, HS        Uni Halle     06120 Halle          Heinrich-Damerow-Str. 4                          4.259,47               51.113,64      37.000,00           444.000,00                41.259,47                615,00 MW, HS        Uni Halle     06120 Halle          Weinbergweg 23                                   1.405,80               16.869,60           0,00                  0,00                1.405,80                165,70 MW, HS        Uni Halle     06108 Halle          Dachritzstr. 6                                 13.514,81              162.177,72        2.300,00            27.600,00                15.814,81              1.448,00 MW, HS        Uni Halle     84169 Boek           Specker Hofsee, Bootssteg                            1,63                   19,60           0,00                  0,00                    1,63                  4,80 MW, HS        Uni Magdeburg 39317 Elbe-Parey, OT Ernst-Thälmann-Str. 15                              47,29                  567,48           0,00                  0,00                   47,29                264,00 Parey MW, HS        Uni Magdeburg 39317 Elbe-Parey, OT Bootsschuppen                                       12,92                  155,04           0,00                  0,00                   12,92 Parey MW, HS        Uni Magdeburg 39114 Magdeburg      Bootssteg, Stadtpark                                 7,08                   84,96           0,00                  0,00                    7,08                 50,00 MW, HS        Uni Magdeburg 39317 Elbe-Parey, OT Bootsschuppen                                       23,01                  276,12           0,00                  0,00                   23,01                 50,00 Parey MW, HS        Uni Magdeburg 39112 Magdeburg      Leipziger Str. 44                                    0,00                     0,00          0,00                  0,00                    0,00                279,62 MW, HS        Uni Halle     06126 Halle          Weststr. 25                                      7.725,00               92.700,00           0,00                  0,00                7.725,00              2.060,00 MW, HS        Uni Halle     06108 Halle          Universitätsring 19/20                           3.023,29               36.279,48         870,00            10.440,00                 3.893,29                434,20 MW, HS        Uni Halle     06114 Halle          Reichardstr. 6                                   1.683,24               20.198,88         500,00             6.000,00                 2.183,24                259,00 MW, HS        SW            06110 Halle          Franckeplatz 1, Haus 26, 27                      4.334,48               52.013,76       1.516,26            18.195,12                 5.850,74                758,13 MW, HS        Uni Magdeburg 39104 Magdeburg      Alter Markt 12                                       3,93                   47,16           0,00                  0,00                    3,93 12/15
32

BLSA                                                                                         Anlage 3                                                                                   Magdeburg, 19.06.2020 Direktion                                                                             Kleine Anfrage 7/3724 Ressort           Mieter        PLZ   Ort           Straße                           Mietzins Kaltmiete (mtl.)    Jahreskaltmiete      Nebenkosten   Nebenkosten pro Jahr  Mietzins Warmmiete      Mietfläche gesamt (mtl.)                  [m²] MW, HS        Uni Magdeburg 39106 Magdeburg     Sandtorstr. 23                                       0,00                     0,00          0,00                  0,00                    0,00                751,00 MW, HS        Uni Magdeburg 39106 Magdeburg     Sandtorstr. 23                                     734,40                8.812,80         366,40             4.396,80                 1.100,80                 80,00 MW, HS        Uni Magdeburg 39106 Magdeburg     Sandtorstr. 23                                     680,61                8.167,32         288,41             3.460,92                   969,02                 74,14 MW, HS        Uni Magdeburg 39104 Magdeburg     Universitätsplatz 12                             8.019,00               96.228,00       2.550,00            30.600,00                10.569,00              1.016,53 MW, HS        Uni Magdeburg 39090 Magdeburg     Bootshaus Stadtpark                                 51,17                  614,04           0,00                  0,00                   51,17                396,00 MW, HS        Uni Magdeburg 39179 Barleben      Steinfeldstr. 3                                      0,00                     0,00          0,00                  0,00                    0,00              1.600,00 MW, HS        Uni Magdeburg 39126 Magdeburg     Sarajevo-Ufer 36                                 2.354,94               28.259,28           0,00                  0,00                2.354,94                961,00 MW, HS        Uni Magdeburg 39106 Magdeburg     Sandtorstr. 23                                   1.412,25               16.947,00         887,65            10.651,80                 2.299,90                153,84 MW, HS        Uni Magdeburg 39106 Magdeburg     Sandtorstr. 23                                     183,60                2.203,20         151,60             1.819,20                   335,20                 20,00 MW, HS        HS Anhalt     06366 Köthen        Am Hubertus 1a, Raum 0.03                          126,37                1.516,44         155,87             1.870,44                   282,24                 24,73 MW, HS        HS Anhalt     06366 Köthen        Am Hubertus 1a, Raum 1.08                          282,38                3.388,56         265,18             3.182,16                   547,56                 55,26 MW, HS        HS Anhalt     06366 Köthen        Leipziger Str.32c, Martinskirche                   215,00                2.580,00         230,00             2.760,00                   445,00                215,00 MW, HS        HS Anhalt     06366 Dessau-Roßlau Kühnauer Str.24, TGZ                               549,15                6.589,80         480,04             5.760,48                 1.029,19                177,79 MW, HS        Uni Halle     06108 Halle         Barfüßer Str. 17-19; EG links im                   689,78                8.277,36         211,00             2.532,00                   900,78                 90,76 Hinterhaus MW, HS        Uni Halle     06126 Halle         Weststr. 25                                      8.812,50             105.750,00            0,00                  0,00                8.812,50              2.350,00 MW, HS        Uni Halle     06120 Halle         Wolfgang-Langenbeck-Str. 3                           0,00                     0,00        558,00             6.696,00                   558,00                279,00 MW, HS        Uni Halle     06120 Halle         Heinrich-Damerow-Str. 4                          8.746,50             104.958,00            0,00                  0,00                8.746,50                297,24 MW, HS        Uni Halle     06120 Halle         Weinbergweg 22                                   2.387,81               28.653,72       2.200,00            26.400,00                 4.587,81                306,53 MW, HS        Uni Magdeburg 39106 Magdeburg     Sandtorstr. 23                                     983,73               11.804,76         461,87             5.542,44                 1.445,60                107,16 MW, HS        HS MD-SDL     39104 Magdeburg     Brandenburger Str. 9                             1.074,42               12.893,04           0,00                  0,00                1.074,42                179,07 MW, HS        Uni Magdeburg 39106 Magdeburg     Sandtorstr. 23                                     404,75                4.857,00         216,04             2.592,48                   620,79                 44,09 MW, HS        Uni Magdeburg 39104 Magdeburg     Sandtorstr.                                    40.347,99              484.175,88            0,00                  0,00               40.347,99 MW, HS        Uni Magdeburg 39106 Magdeburg     Sandtorstr. 23                                     367,20                4.406,40         188,00             2.256,00                   555,20                 40,00 MW, HS        Uni Magdeburg 39106 Magdeburg     Sandtorstr. 23                                     401,44                4.817,28         223,90             2.686,80                   625,34                 43,73 MW, HS        Uni Magdeburg 39106 Magdeburg     Sandtorstr. 23                                     888,06               10.656,72         404,05             4.848,60                 1.292,11                 96,74 MW, HS        Uni Halle     06108 Halle         Dachritzstr. 12, EG + 1. OG                    19.267,32              231.207,84        3.327,87            39.934,44                22.595,19              2.060,72 MW, HS        Uni Halle     06108 Halle         Dachritzstr. 12, 2. OG + 3. OG                 14.928,53              179.142,36        3.172,13            38.065,56                18.100,66              1.964,28 MW, HS        HS MD-SDL     39576 Stendal       Wendstr. 30, Hufelandhaus                        1.037,51               12.450,12         561,53             6.738,36                 1.599,04                224,61 13/15
33

BLSA                                                                                      Anlage 3                                                                                  Magdeburg, 19.06.2020 Direktion                                                                          Kleine Anfrage 7/3724 Ressort           Mieter        PLZ   Ort       Straße                            Mietzins Kaltmiete (mtl.)    Jahreskaltmiete     Nebenkosten   Nebenkosten pro Jahr  Mietzins Warmmiete      Mietfläche gesamt (mtl.)                  [m²] MW, HS        HS f. K.u.D.  06114 Halle     Schleifweg 8a                                     3.832,00               45.984,00      1.437,00            17.244,00                 5.269,00              479,00 MW, HS        HS f. K.u.D.  06114 Halle     Burgstr. 2                                           95,21                1.142,52         25,00               300,00                   120,21               23,90 MW, HS        HS f. K.u.D.  06108 Halle     Oleariusstr. 9, 2. OG                               250,00                3.000,00          0,00                  0,00                  250,00              127,70 MW, HS        Uni Magdeburg 39106 Magdeburg Niels-Bohr-Str. 1                                 4.308,91               51.706,92      1.246,10            14.953,20                 5.555,01              490,46 MW, HS        Uni Halle     06120 Halle     Weinbergweg 22                                      596,05                7.152,56          0,00                  0,00                  596,05 MW, HS        Uni Halle     06108 Halle     Steintorvarietè                                   5.493,83               65.926,00          0,00                  0,00                5.493,83 MW, HS        Uni Halle     06122 Halle     Selkestr. 9c                                        168,40                2.020,80          0,00                  0,00                  168,40               84,20 MW, HS        Uni Halle     06116 Halle     Ziegelwiese                                           7,08                   85,00          0,00                  0,00                    7,08 MW, HS        HS MD-SDL     39114 Magdeburg Breitscheidstr. 51                                  393,48                4.721,76        207,92             2.495,04                   601,40               90,40 MW, HS        Uni Halle     06108 Halle     Mansfelder Str. 15                                3.230,00               38.760,00      1.386,00            16.632,00                 4.616,00              500,85 MW, HS        HS f. K.u.D.  06108 Halle     Oleariusstr. 9, 3. OG                               250,00                3.000,00          0,00                  0,00                  250,00              142,44 MW, HS        HS MD-SDL     39114 Magdeburg Breitscheidstr. 51                                  613,88                7.366,56        308,78             3.705,36                   922,66              123,51 MW, HS        HS MD-SDL     39114 Magdeburg Breitscheidstr. 51                                  207,36                2.488,32         75,30               903,60                   282,66               30,12 MW, HS        HS MD-SDL     39114 Magdeburg Breitscheidstr. 51                                  119,10                1.429,20         43,25               519,00                   162,35               17,30 MW, HS        HS MD-SDL     39114 Magdeburg Breitscheidstr. 51                                  205,03                2.460,36         93,99             1.127,88                   299,02               37,60 MW, HS        Uni Halle     06108 Halle     Barfüßer Str. 17-19; EG rechts im                   987,50               11.850,00        264,50             3.174,00                 1.252,00              115,00 Hinterhaus MW, HS        Uni Halle     06120 Halle     Heinrich-Damerow-Str. 1                             623,13                7.477,56        900,00            10.800,00                 1.523,13               66,01 MW, HS        Uni Halle     06108 Halle     Mansfelder Str. 15                                1.650,00               19.800,00        495,00             5.940,00                 2.145,00              330,00 MW, HS        Uni Halle     06120 Halle     Weinbergweg 23                                    1.000,00               12.000,00          0,00                  0,00                1.000,00               86,58 MW, HS        Uni Halle     06110 Halle     Prof.-Friedrich-Hoffmann-Str. 1                   1.900,00               22.800,00        890,00            10.680,00                 2.790,00              265,96 MW, HS        Uni Halle     06118 Halle     Bootsanlegestelle Trotha                              8,00                   96,00          0,00                  0,00                    8,00 MW, HS        Uni Magdeburg 39106 Magdeburg Sandtorstr. 23                                      471,34                5.656,08          0,00                  0,00                  471,34               85,81 MW, HS        Uni Halle     06108 Halle     Dachritzstr. 6                                      350,00                4.200,00        140,00             1.680,00                   490,00               40,72 MW, HS        Uni Halle     06108 Halle     Universitätsring 19/20                              914,25               10.971,00        250,00             3.000,00                 1.164,25              115,00 MW, HS        Uni Halle     06108 Halle     Leipziger Str. 90-92                              2.123,00               25.476,00        743,09             8.917,08                 2.866,09              212,31 MW, HS        Uni Halle     06108 Halle     Leipziger Str. 90-92                              4.806,34               57.676,08      1.770,76            21.249,12                 6.577,10              505,93 MW, HS        Uni Halle           Halle     Große Steinstr. 79/80                               758,29                9.099,48        162,20             1.946,40                   920,49               81,10 MW, HS        Uni Halle           Halle     Große Steinstr. 79/80                             1.740,97               20.891,64        372,40             4.468,80                 2.113,37              186,20 14/15
34

BLSA                                                                Anlage 3                                                                                 Magdeburg, 19.06.2020 Direktion                                                    Kleine Anfrage 7/3724 Ressort           Mieter    PLZ Ort   Straße                Mietzins Kaltmiete (mtl.)    Jahreskaltmiete     Nebenkosten   Nebenkosten pro Jahr Mietzins Warmmiete      Mietfläche gesamt (mtl.)                  [m²] MW, HS        Uni Halle     Halle Große Steinstr. 79/80                 3.833,50               46.002,00        820,00             9.840,00                4.653,50                410,00 MW, HS        Uni Halle     Halle Paracelsusstr. 22                   32.046,50              384.558,00      13.144,00           157.728,00               45.190,50              3.286,00 2.559.136,7600           30.709.641,18     546.760,30         9.886.720,60           3.105.897,06           340.614,73 15/15
35