ferkel_bmel_1113-1276

Dieses Dokument ist Teil der Anfrage „Ferkelkastration

/ 164
PDF herunterladen
EHL, Vorschlag

. Kenntnisnahme,

32

 

—un 12 ur

SEIFE 2 VON 2

Ial_
92

Anlass:

. Thema:

Fra

Datum
Telefon

 

Sprechzettel |

15. Sitzung des Ausschusses für Ernährung und Landwirtschaft des
Deuischen Bundestages am 26. November 2018, um 13:00 Uhr .
Öffentliche Anhörung zum Gesetzentwurf der Fraktionen der CDWCSU

und SPD zur Änderung des Tierschutzgesetzes

Begleitung durch MR'n Dr. Kluge (RL\ nRef. 321, 4354) in Berlin.

. Gesprächsführungsvorschlag
1. Inhaltlicher Sachstand

Nach geltender Rechtslage ist die betäubungslose F Ferkelkastration ab dem
1. Januar 2019 verboten.

Die Koalitionsfraktionen haben nach der Verständigung Im
Koalitionsausschuss am 2. Oktober 2018 auf eine Fristverlängerung für das

Verbot der betäubungslosen Ferkelkastration um zwei Jahre einen

entsprechenden Entwurf zur Änderung des Tierschutzgesetzes erarbeitet.
Der Entwurf wurde auf Wunsch des Bundeskanzleramts als

'Formulierungshilfe am 5. November im Umlaufverfahren vom Bundeskabinett

beschlossen.
Die erste Lesung im BT fand am 9.11. statt.

2. Verfahrensstand

Der Abschluss im Bundestag soll noch im November erfolgen, so dass der
BR am 14.12. erreicht wird.
93

-  BEITE2VON2

3. Position der Bundesregierung ! des BMEL

*

 

Die Koalitionsfraktionen haben sich auf eine Fristverlängerung um 2 Jahre
verständigt.

| Jetzt sind Landwirtschaft und Politik aber auch in der Pflicht, die kommenden

zwei Jahre zu nutzen, um die Umstellung auf Jungebermast, Impfung oder

. Ferkeikastration unter Betäubung zu vollziehen.

Das BMEL wird eine Verordnung auf den Weg bringen, so dass Landwirte .
die Isofluran- Betäubung selbst durchführen können. Dafür müssen die

Landwirte dann einen Nachweis erbringen, dass sie sachkundig mit dem

Betäubungsgerät und dem Medikament umgehen können.

Es ist nicht zu erwarten, dass das Verfahren der Lokalanästhesie durch den
Landwirt bis zum Ablauf der verlängerten Übergangsfrist verfügbar ist - |
(Schmerzausschaltung nicht belegt). .

gez. Dr. Schertl
94

Anlepı 3

 

 

Hintergrundinformatlonen mit Blick ckaufn mögliche Fragen gen der Mitglieder des Aus
schusses für Ernährung und Landwirtschaft des Deutschen Bundestages zum The-
‚ma Ferkelkastration

 

A _ Welche Alternativen zur betäubungslosen Ferkelkastration sind schon Jetzt nach Tler-
schutzgesetz rechtlich möglich und werden in anderen Ländern erfolgreich prakti-
ziert?

Der Stand der Entwicklung alternativer Verfahren und Methoden zur betäubungslosen Ferkelkastra-
tion ergibt sich aus dem Bericht der Bundesregierung gemäß 8 21 des Tierschutzgesetzes an den

Deutschen Bundestag. Verfügbare und nach dem Tierschutzgesetz zulässige Alternativen zur betäu-
bungstosen Ferkelkastration sind demnach die Ju Jungebermast, die Impfung gegen Ebergeruch sowie
die chirurgische Kastration unter. wirksamer Schmerzausschaltung (Allgemeinnarkose durch Tlerarzt).

N Welche Maßnahmen zur Forschungsförderung sind zum Bereich Ferkelkastration ge-

plant? Bu

M. Welche Forschungsförderung gibt es bereits Im Bereich Ferkelkastration? >

BMEL hat eine wiss enschäftlich e Studie zur Frage der wirksamen Schmerzausschaltung in Auftrag
geben. Im Rahmen dieser Studie soll insbesondere geklärt werden, ob.mit den bisher in der Diskussi-
on stehenden Wirkstoffen (Procaln, Lidocain, Bupivacaln) und deren Anwendung durch den Landwirt
sowohl unter kontrollierten Laborbedingungen als auch unter praxisnahen Voraussetzungen eine
wirksame Schmerzausschaltung bei der Ferkelkastration erreicht werden kann. Das betreffende Ent-
scheidungshilfevorhaben wird mit insgesamt 921.000 Euro gefördert. Da rüber hinaus fördert BMEL
derzeit zwei Projekte im Rahmen des Modell- und Demonstrationsvorhabens Tierschutz zur Einfüh-
rung der chirurgischen Ferkelkastration unter Betäubung in ferkelerzeugenden Betrieben.mit ca.
650.000 Euro. Darüber hinausgehende Forschungsvorhaben sind derzeit nicht geplant. Auch wurden
keine Forderungen nach weiterer Forschungsförderung in diesem Bereich an BMEL herangetragen.

Der Fokus der Aktivitäten sollte nun darin liegen, im Rahmen der verlängerten Übergangsfrist insbe-
sondere die folgenden Maßnahmen zur Umsetzung der. Alternativmethoden in der Praxis voranbrin-
gen:

®  Im-Hinblick auf die Jungebermast müssen weitere Abnehmer, wie zum Beispiel Metzger, von
Produkten von Ebern überzeugen werden.

» Bei der Immunokastration muss um stärkere Akzeptanz geworben werden.

» Es müssen die rechtlichen Voraussetzungen geschaffen werden, damit Landwirte die chirurgi-
sche Kastration unter Vollnarkose mit Isofluran durchführen dürfen. Hierzu muss eine Verord-
nung erlassen werden. Die Landwirte müssen dann zunächst geschult werden, damit sie die:

Narkose korrekt und tierschonend durchführen können,
95

VW, Wie beurteilt die Bundesregierung verfassungsrechtliche Bedenken gegen eine Ver-
längerung der Übergangsfrist für die betäuhungslose Ferkelkastration um zwei Jahre
f Verstoß gegen das in Artikel 200 des Grundgesetzes verankerte Staatsziel Tier-
schutz)?

Der Tierschutz wird durch eine solche Verlängerung der Übergangsfrist für die betäubungslose Fer-
kelkastration um zwei Jahre nicht unvertretbar über die Grenze eines angemessenen Ausgleichs mit
anderen Verfassungsgütern zurückgedrängt, wenn für die Verlängerung zutreffende Gründe geltend
gemacht werden. Solche Gründe sind im vorliegenden Fall befürchtete Strukturveränderungen in der
Schweinehaltung, die ohne eine Verlängerung der Übergangsfrist in der Folge mit Eingriffen in grund-
rechtlich geschützte Positionen der Schweinehalter verbunden wären und die im Rahmen des ge-
nannten’Ausgleichs in Rechnung zu stellen sind,

Vv. Ist möglich, in einer zweijährigen verlängerten Übergangsfrist, die Voraussetzung für
die Lokalanästhesie zu schaffen (siehe auch Antrag der Fraktion der AD vom 7. No-
vember 2018, Anlage 4)?

Entscheidend ist, dass das Verfahren die Anforderungen des Tierschutzgesetzes erfüllt, Das Verfah-
ren der Lokalanästhesie tut dies nach derzeitigem Erkenntnisstand nicht. BMEL hat jedoch eine wis-
‚senschaftliche Studie zur Frage der wirksamen Schmerzausschaftung in Auftrag geben. Im Rahmen
dieser Studie soll insbesondere geklärt werden, ob mit den bisher in der Diskussion stehenden Wirk- -
stoffen (Procain, Lidocain, Bupivacaln} und deren Anwendung durch den Landwirt sowohl unter kon-
trolljerten Laborhedingungen als auch unter praxisnahen Voraussetzungen eine wirksame Schmer-

. zausschaltung bei der Ferkelkastration erreicht werden kann. Das betreffende Entscheidungshilfe-
vorhaben wird mit Über. 900.000 Euro gefördert. Das aufwändige Studiendesign entspricht dem im
Rahmen eines Zulassungs- bzw. Indikationserwelterungsverfa hrens eines Tierarzneimittels geforder-
ten Standard. Sollte eine Schmerzausschaltung belegt werden können und zusätzlich ein Pharma-
Unternehmen Interesse an einem Antrag auf Zulassung eines Lokalanästhetikums für Schweine be-
kunden, könnten die Ergebnisse dieser Studle Im Rahmen des Zulassungsverfahrens genutzt werden,

 

Die Forschungsergebnisse aus dieser $ Studie werden erst im1. Halbjahr 2021 vorliegen, also. also erstn nach
Ablauf der verlän ngerten n Übergangsfrist.

VL. Welcher Rahmen is ist vom BMEL für Evaluierungs- und Moderation des Übergangspro-
“zes vorgesehen?

'Denkbar wären in regelmäßigen Abständen stattfindende Fachgespräche unter Beteiligung der be-
troffenen Kreise. Die Auftaktveranstaltung durch Bundesministerin Klöckner wird am 27, November
2018 stattfinden. Ziel der Fachgespräche sollte es sein, mit den Betroffenen regelmäßig über den
Stand der Umsetzung der Alternativmethoden In der Praxis zu sprechen, um mögliche Probleme zeit-
nah evaluieren und ggf, entsprechende Lösungsansätze finden zu können. Bei diesen Gesprächen
sollten neben den Tierhalterverbänden und den Tierärzten auch Vertreter der Länder und der Wis-
senschaft teilnehmen. Der gesamte Prozess sollte bereits zu Beginn skizziert werden, ‚damit sich die -

Teilnehmer darauf einstellen können. Die Fachgespräche könnten Anfang 2019, Mitte 2019, Anfang
2020, Mitte 2020 sowie Ende September 2020 stattfi nden.
96

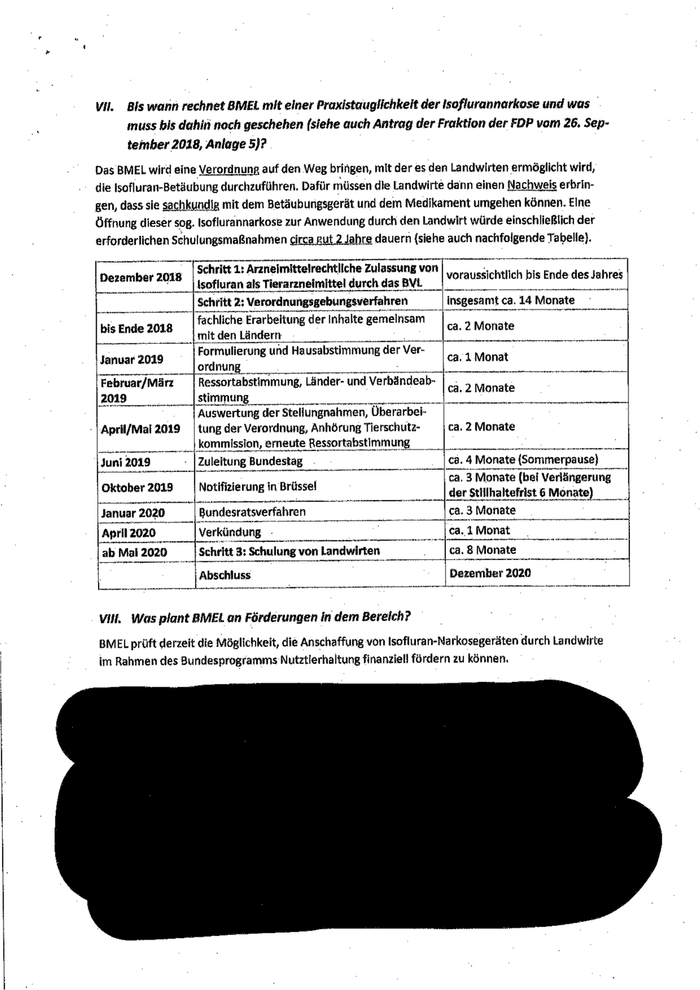
vi. Bis wann rechnet BMEL mit einer Praxistauglichkeit der Isoflurannarkose und was -
muss bis dahin noch geschehen (siehe auch Antrag der Fraktion der FDP vom 26. Sep-
tember 2018, Anlage 5)?

Das BMEL wird eine Verordnung auf den Weg bringen, mit der es den Landwirten ermöglicht wird,
> die Isofluran-Betäubung durchzuführen. Dafür müssen die Landwirte dann einen Nachweis erbrin-
gen, dass sie sachkundig mit dem Betäubungsgerät und dem Medikament umgehen können. Eine
Öffnung dieser sog. Isoflurannarkose zur Anwendung durch den Landwirt würde einschließlich der
erforderlichen Schulungsmaßnahmen girca gut 2 Jahre dauern (siehe auch nachfolgende Tabelle}.

derart re mern rer RE Auen re ra rer aha An er A Te Aarau rn hans ar

„. !Schritt 1: Arzneimittelrechtliche Zulassung von |_ 2 .
Dezamber 2018 Isofluran als Tierarzneimittel durch das BVL voraussichtlich bi s Ende des Jahres
Schritt 2: : Verordnungsgebungsverfahren insgesamt ca. 14 Monate
fachliche : Erarbeitung der Inhalte gemeinsam ET
mit den Ländern
Formulierung und Hausabstimmung der Ver-
ordnung, _

    
  
 
  

   
  

   
   
 
  
   
 
 

 

  
    
  
 

 

ca. 2 Monate

u

 

Januar 2019
Februar/ März.

 

ca. 2 Monate

ee nme Tem Terre ee Te em eeheEnnn  ma ernemnnn a nn nn ah er

 

: ,April/Mai 2019 |tung der Verordnung, Anhörung Tierschutz- ca. 2 Monate

| Zuleitung ng Bundestag . oo ca. 4 Monate (Sommerpause)

nm nee rent nn I nassen

 

Juni 2019

 

aan uf mutnar warmer aganamms jan nern Neem anna rer pn sea

 

 

 

 

 

Oktober 2029 INatiienneinäriel DV m

Januar 2020 Bundesratsverfahren | ca. 3 Monate

Aprl12020 Verkündung ——22—[——emaMont

ab Mal 2020 \ Schritt 3: Schulung von Lan Landwirten _ ” ” ca.8 Monate L
Abschluss . Dezember 2020

vi. Was plant BMEL an Förderungen in dem Bereich?

BMEL prüft derzeit die Möglichkeit, die Anschaffung von Isofluran-Narkosegeräten durch Landwirte
im Rahmen des Bundesprogramms: Nutztierhaltung finanziell fördern zu können.
97


                                            
                                                
                                                98
                                            
                                        

Büro PSt Fuchtel 03 ET 15.11.2018
Tel: 3133

Termin
Partementarischer Staatssekretär Hans-Joachim Fuchtel

\ Veranstaltung: Anhörung zum Tierschufzgesetz im Ausschuss für Ernährung und: ‚Landwirischaft

 

 

Termin! 26,11.2018, 13 Uhr bis ca. 15 Uhr
Vorbesprechung Termin voraussichtlich 22. 11.2018 Uhrzeit wird noch bekanntgegeben (VK
mögiksh)
Ott .  ‚Beilin, Marie-Elisabeth-Lüders-Haus, Raum 3.101 |
Themen: Entwurf eines Vierten Gesetzes zur Änderung des Tierschutzgeseizes
Sonstiges:
Anlagen: Bl Tagesordnung - Öffentliche Anhörung \ U S { { h. La bel
. wi
- Vorhereltung oo | . ne nene nenn
4. Abtällung3 ‚Col? | _St-Büro rs |
RL enner Hasn

Horm Stantesekretär Er. Anlkena SA \as cfalcrr. Fr Keime fing: 15. NOV de #
mit der Bitte um Fordigung/Benennung/übersandtumg nach SO GOBMELV |... |

 

- einer Gesprächsunteriage Te RE u
[] eines Sprechzettelg 0 -
Fl eines Hintergrundvermanks [] Tem ——— n a0.) Ad. ann h
I] Begteitung aus der Fachabteilung - 2 Fo 7 din
[RI eines Eigebnisvermerke (zeitnah nach dam Gespräch auf dem Dienetusg) I du u‘ jun .

des Ablaufplans des Termine Fa |
[] Abstirnmung des konzeptionellen Abtaufs mit MK 2 nn
U] pratokollarische Vorbereitung

. Ül Bereitstellung eines Gastgesohenkes
[.] Begleitung durch Sprachendienst / Dolmetscher .
1] Bereitstellung einer Bewirtung (Frühstack, Mittagessen, Abendessen, Imbiss), Teilnehmeranzehl ga.
[] eines Fotos durch MK 2 Ä . |
rg Anmerkungen/Sonstiges: unter Mitzeichnung von L2

kig zum: 23.21.2018 DS - (Eingang. Büro 03)

2. Kopie voreh auf und Ebert 321 \ | 4 Shah khakl \

IV. Katharina Meyer

 

 

 

y Termin wird : win = ” Be
Tlabgesagt
[1] vorgezogen / verschoben auf

[_] verschoben, nauer Termin noch nicht bekannt
[Jin Vertretung wahrgenommen durch

{MK1 nicht vergessen)

nn 1 WVENERFUR RIEF
99

18, Wahlperiode RB Deut scher Bundes tag

Ausschuss für Emi
und Landwirtschaft

. Berlin, den 14, November 2038

 

36, Wahlperiode Tg a
100

= - Ausschuss für Eruiihrung und Landwirtschaft

 

| | Tan
48, Sitenng
101

Zur nächsten Seite