Auswirkungen der Reform "Polizei 2020"

/ 18
PDF herunterladen
anye “*

Mehrarbeit der Dienststellen des Landespolizeipräsidiums (LPP)

PP 10

Summe LPP 1

\ 5787,31

PP 2Leitung 181,59 363,1
PP O2 30,26 1070,1

 
 
 
      
    
 
    

 
 

m
©

m
a

  

1068| __ 310756
230] _ 2457040
370] __ 040417
000] 814000]

Summe LPP2

LPP 3Leitung
PP 30
PP 31

PP 32

1071,98

 

 

 

LPP Präsidialstab 7458| 1491,61]

  
     
 
 
 
 
  

     

  
 
  
   

Pen | 1405| 10azal
1650| _ 1591666
LPPIa | 4045| 2127a02
LPPIs | 12001] one
PP | ar a0
SummeLPPı _ | os10saa

 

 
  

  
     

-

PP 31
PP32 4401| 264.08)

PP 33 /LPP 34 nicht erhoben

Summe LPP3 726,80

pas | e2e| 200
2150| 15001]
Pas | g0| 12728
PAS
BEE
sasaı]
EEE!

rec

  
     
         
         
     
     
   
     

 
 
 

1: FREE TH BEE

L

145,6
205,7
IPPA9 | 000)

353,8
505,91
IPA | 000

er ee

Seite 1 von2
11

Summe LPP Dezember 2012 232076,00

00 StandDezember2012
onioneremım | Anzahl Stunden/ | Stunden/OE-
EORDElBteNe | Kopf | rg

PISbr.St.,
PI Sbr. Burbach
PIAI-Sbr.
PI Sbr. Brebach
PI Köllertal
PI Saarlouis
PlLebach 48,64
PIBous 5206| 2707,00)
PiOilingen | 12162] 6992,25
PiWadem — | gu] 4221.26
PISt. Wendel
PINoTi
PINeunkicen | 6964| 9123,00)
Piningen | gas] 1aan.o
742] 6rs075
PI Blieskastel 44,80

   
 
 

StandDezember2018
 T Anzahl Stunden [stund

 
  

Summe Polizelinspektionen 116481,25
Summe LPP Dezember 2013 242913,00

Dienststellenbezeichnungen und Abkürzungsverzeichnis:

Direktion LPP 1 Gefa bwehr/Einsatz

LPP 10 - Zentrale Aufgaben

LPP 11 - Führungs- und Lagezentrale

LPP 12 - Spezialeinheiten/Spezialkräfte

LPP 13 - Zentrale Verkehrspolizeiliche Dienste
LPP 14 - Bereitschaftspolizei

LPP 15 - Diensthundestaffel

LPP 16 - Wasserschutzpolizei

LPP 17 - Polizeiorchester

Direktion LPP 3 Personal/Recht

LPP 30 - Zentrale Aufgaben/Aus- und Fortbildung
LPP 31 - Personalangelegenheiten

LPP 32 - Justiziariat

LPP 33 - Polizeiärztlicher Dienst

LPP 34 - Polizeipsychologischer Dienst

Abkürzungen:

IT - Informationstechnik
No Tü - Nohfelden-Türkismühle

OE - Organisationseinheiten
PI - Polizeiinspektion

Sbr. - Saarbrücken

St.J. - Sankt Johann

 

Direktion LPP 2 Kriminalitätsbekämpfung/Landeskriminalamt
LPP 02 - Korruption

LPP 20 - Zentrale Aufgaben

LPP 21 - Deliktsorientierte Kriminalitätsbekämpfung
LPP 22 - Deliktsübergreifende Kriminalitätsbekämpfung
LPP 23 - Staatsschutz

LPP 24 - Kriminalpolizeiliche Querschnittsdienste

Direktion LPP 4 Zentrale Polizeiliche Dienste
LPP 4.0 - Zentrale Aufgaben

LPP 4.1 - Haushalts- und Kostenwesen

LPP 4.2 - Polizeiliche Informationssysteme
LPP 4.3 - IT-Lösungen und-Betrieb

LPP 4.4 - Netzwerk/Endgerätebetreuung
LPP 4.5 - Telekommunikationstechnik

LPP 4.6 - Telekommunikationsüberwachung
LPP 4.7 - IT-Forensik

LPP 4.8 - Kraftfahrwesen

LPP 4.9 - Waffen- und Gerätetechnik

LPP 4.10 - Foto- und Videotechnik

LPP 4.11 - Logistik und Liegenschaften

LPP 4.12 - Bekleidungswesen

Seite 2 von 2
12

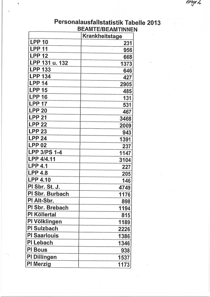
Personalausfallstatistik Tabelle 2013

   

 
   
 
   
 
 

    

 
     

BEAMTE/BEAMTINNEN
1 [Krankheitstage |
LP | 231
LP 956
668
1373
LPPI3 00 | 646]
427
LPPıaa U — | 2905|
LP A|
IPP2 Oi | 2009
IPPZa | 943]
|LPP4SPS14 4 | 1147
IPPaB | 2085|
LPPAaO | 146
PIAlt-Sbr. — | 898l
PlSbr.Bebeach | 1194
PlKölertat | 81
PIVölkinen | 1189|
PlSulzkach | 2226
PIDlinien | 1537]
PMrzig | 173
13


                                            
                                                
                                                14
                                            
                                        

Personalausfallstatistik Tabelle 2013

  
 

 
 
 
   
 
 
  

 
  

 
 

 
 
   
   

BESCHÄFTIGTE
 .  |Kranktagge |
LIPPIO O3 | oO
318
LIPP2 OO | 100)
LPP131u.1322 2 | 90
ıPPıa3 03 | 0
LIPP34 7 OO | 0
LPPaa | 120)
IPPpıSs |
238
IPP2OO | 2

Ä
IPPoO | 0 46
LPP 3/PS 1-4
PISbr. Std. | 201
PISbr.Brbach | 0 ——— 414
PIAtSbr. oo 3 | 44
118
PiKöletal | 9
PISulzkach | 182
PISsarous | 19
Plebk&ch | 28
PB us | 9
126
PiMerzig | 48
15

PI St. Wendel
PI Nohf.-Türkism.
Pl Neunkirchen

Pl Blieskastel
16

Personalausfallstatistik Tabelle 2012
BEAMTE/BEAMTINNEN

   

 
 
      
  
  
  
   
   
 
 
 
 
  

 

___________|Krankheitstage |
LPP1 3 | 1016
LPP134 | 566
LıPPpa12O234 | 532
PlSbr.Brbch | 1015
PIAlt-Sbr. | 671
PiKölertal | 39
Pl Völklingen | 1216
PIDilinen | 1468
PiMerzig | 1267
PISt. Wendel | 580
Pilinen | 1069
17

BESCHÄFTIGTE

  
  
 
 
 
 
 
 

rm
"Uo
I
—
—

LPP 131 u. 132

LPPpIaa 353 TR
LePPpa OO 3 | To
IPPS O3 T
LPP3PSıA 4 | 363]
LPPa | 437]
17
146
PiKöletale__ | gl
PiIVökinigen | 28]
PiSsulzkacn | 95]
127
10
PlBus 0 |
PiDliden | 5
PMerzig —| 258]
PIWdden | 422]
PIS.Wendl | — 46
PINeunkirchen | 02 1415|
Pillinfen | 18
38
PISt. Ingbert | 122

 

Is
u
©
n
-
©
an
er
D,
18