ferkel_bmel_579-724

Dieses Dokument ist Teil der Anfrage „Ferkelkastration

/ 146
PDF herunterladen
BMEL ZZ 04.06.2018
321-034301/0057 4354/4344

Er }gebnisprotokoll

Bund- -Länder-Verbändegespräch der Staatssekretäre/innen und Amtschefs/innen unter
' ns von Staatssekretär Dr, Aeikens
1. Juni 2018, BMIER, Bonn, S. 14.26.02

- Ferkelkastration

Begrüßung

Staatssekretär Dr, Aeikens legt in der Begrüßung dar, dass die Einladung des BMEL
zu einem Bund-Länder-Verbändegespräch zum Thema Ferkelkastration ein Ergebnis | .
der Frühjahrs-AMK war, Ziel ist es, Handlungsbedarf und Handlungsoptionen zu
erörtern und möglichst einen Konsens auf Veterinär-, Tierschutz-, Landwirtschafte-,
Bund- und Länderebene zu erzielen.

Chirurgische Fe Ferkelkastration unter Lokatanästhesie durch den Landwirt als
Alternative zur betäubungslosen Ferkelkastention

TOP2

Stellungnahmen Verbände:

Deutscher Tierschutzbund (nie ‚ht anwes een:

Der Deutsche Tierschutzbund hatte unter Verweis auf seine bekannte - - ablehnende -
Haltung in Bezug auf’ das Verfahren der Lokalanästhesie und auf.eine Änderung des
Tierschutzgesetzes seine Teilnahme abgesagt,

e Der Deutsche Baue Bauernveiband {DBV) spricht sich, unter Verweis auf den be-
reits vorangeschrittenen Strukturwandel und die Anwendung der Lokalanäs-
thesie in anderen MS, für die Einführung der Shirurgischen Ferkelkasiration
unter Lokalanäsihesie durch den Landwirt aus und .

® bittet das BMEL, eine Rechtsverordnung zu erlassen, mit der die An-
wendung durch die Landwirte und ein Sachkundenachweis geregelt
wird (ggf, auch durch Umwidmung von Lidocnin, wie in SE).

 

‚\ANWORT BMEL zur DBV-Bitte eine Rechtsverördnung zu erlassen:
39

SEIME2VORA
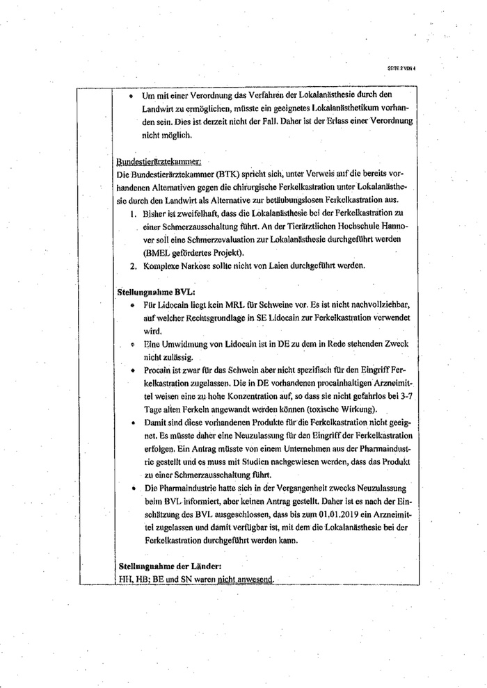
» Um mit einer er Verordnung das Verfahren der Lokalanästhesie durch den.
Landwirt zu ermöglichen, müsste ein geeignetes Lokalanästhetikum voran
den sein, Dies ist derzeit nicht der Fall, Daher ist der Erlass einer Verordnung
nieht möglich. '

    

Bundestierätztekammer:;

Die Bundestierärztekammer (BTK)) spricht sich, unter Verweis auf die bereits vor-
handenen Alternafiven gegen die chirurgische Verkelkastration unter Lokalanästhe-
sie durch den Landwirt als Alternative zur betäubungslosen Ferkelkastration aus.

1. Bisher ist zweifelhaft, dass die T,okalanästhesie bei der Ferkelkastralion zu
einer Schmerzausschaltung führt. An.der Tierärztlichen Hochschule Hanno-
ver soll eine Schmerzevaluation zur Lokalanästhesie durchgeführt werden
(BMEL gefördertes Projekt).

2 Komplexe Narkose sollte nicht von Laien durchgeführt werden,

Stellungnahme BVL:.

« Für Lidocain liegt kein MRI. für Schweine vor. Es ist nicht nachvollziehbar,
auf welcher Rechtsgrundlage in SE Lidocain zur Ferkelkastration verwendet
wird,

‘« Eine Umwidnung von Lidocain ist in DE zu dem in Rede stehenden Zweck
nicht zu lässigmöghieh.

e Procain ist zwar für das Schwein aber nicht spezifisch für den Eingr iff Fer-
kelkastration zugelassen. Die in DE vorhandenen procainhaltigen Arzneimit-
tel weisen eine zu hohe Konzentration auf, so dass sie nicht gefahrlos bei 3-7
Tage alten Ferkel angewandt werden können (toxische Wirkung).

» Damit sind diese vorhandenen Produkte für die Ferkelkastration nicht geeig-
net. Es müsste daher eine Neuzulassung für den Eingriff der Ferkelkastration
erfolgen. Ein Antrag müsste von einem Unternehmen aus der Pharmaindust-
rie gestellt und es muss mit Studien nachgewiesen werden, dass das Produkt
zu einer Schmerzausschaltung führt,

» Die Pharmaindustrie hatte sich in der Vergangenheit zwecks Neuzulassung

beim BVI. informiert, aber keinen Antrag gesteilt. Daher ist es nach der Ein-
schätzung des BVL ausgeschlossen, dass bis zum 01.01.2019 ein Arzneimit-
tel zugelassen und damit verfügbar ist, mit dem dic Lokalanästhesie bei der
Ferkelkastration durchgeführt werden kann.

Stellungnahme der Länder:
| EB, HB; BI HB: BEu und SN waren niolst bt anwesend.
40

SEMEIVONA

HE, RP, SH, ST und TH lehnen eine Änderung d des Tier schutzgesetzes ab (TH wür-

de evtl. eine reine Fristverlängerung Kaittragen). Rn... nn I | Kommentar [BDA2I: Bei

auf ‚Schmerzlinderung“ im TSG, und |
würde keinen „Antrag“ mmittraggen) Bundles |

BY; BB, MV uud NI könnten sich vorstellen einen BR-Antrag zur Änderung. des andere Dun, aber offen für |.
Tierschutzgesetzes zut Einführung der Lokalanästhesie mit folgenden Duktus zu a
stellen: --

» Weitgehende Schmerzminderung statt Schmerzausschaltung bei der Ferkel-
kasiration (de facto Zurückfahren des Tierschutzgesetzes).

. 0 Verschieben des Inkrafttretens bis zu dem Zeitpunkt, an dem das Verfahren
der Lokalanästhesie tatsächlich flir die Praxis verfügbar ist (d. h. geeigneies
Tierarzneimittel ist vorhanden, VO ist erlassen, Landwirte sind geschult etc.).

« Ggf. zusätzlich Zeitpunkt festlegen, an dem die Regelung in Kraft tritt, unab-
hängig davon, ob Verfahren der Lokalanästhesie verfügbar ist oder nicht
{ist im Detail auszuarbeiten).

NW, BW, SL würden dies wohl unterstützen.

MV hebthervor, dass alle Alternativen gleichermaßen unterstützt werden müssen
und dass durch eine Änderung des Tierschutzgesetzes der Druck, zukünftig auf die
betäubungslose Ferkelkasiration zu verzichten, nicht aufgehoben werden darf,

ST stellt heraus, dass die Tierproduktion bereits in starker Kritik steht. Aus diesem
Grund ist es für die Glaubwürdigkeit unabdingbar, dass die Betäubung tatsächlich zu
einer wissenschaftlich nachweisbaren Schmerzausschaltung führt,

 

Weiteres Vorgehen:

BY wird die potentiellen Antragsteller und BMEL kurzfristig zu einer Telefonkonfe-
renz einladen, um in diesem Sinne das weitere Vorgehen zu besprechen. BMEL hat
seine Unterstützung zugesagt.

Chirurgische Ferkelkastration unter Isoflarannarkose durch den Landwirt als
Alternative zur betäubungslosen Ferkelkastration

Stellungnahmen Verbände;

"Deutscher Bauernver!

Der DBBV ist, unter Verweis aufeinen CH Wissenschaftler und ein Gutachten der
 Berufsgenossenschaft s keptisch kiusichtlich der Isofluramuarkose. u:

m hmmm nes
41

SEITE4VON4

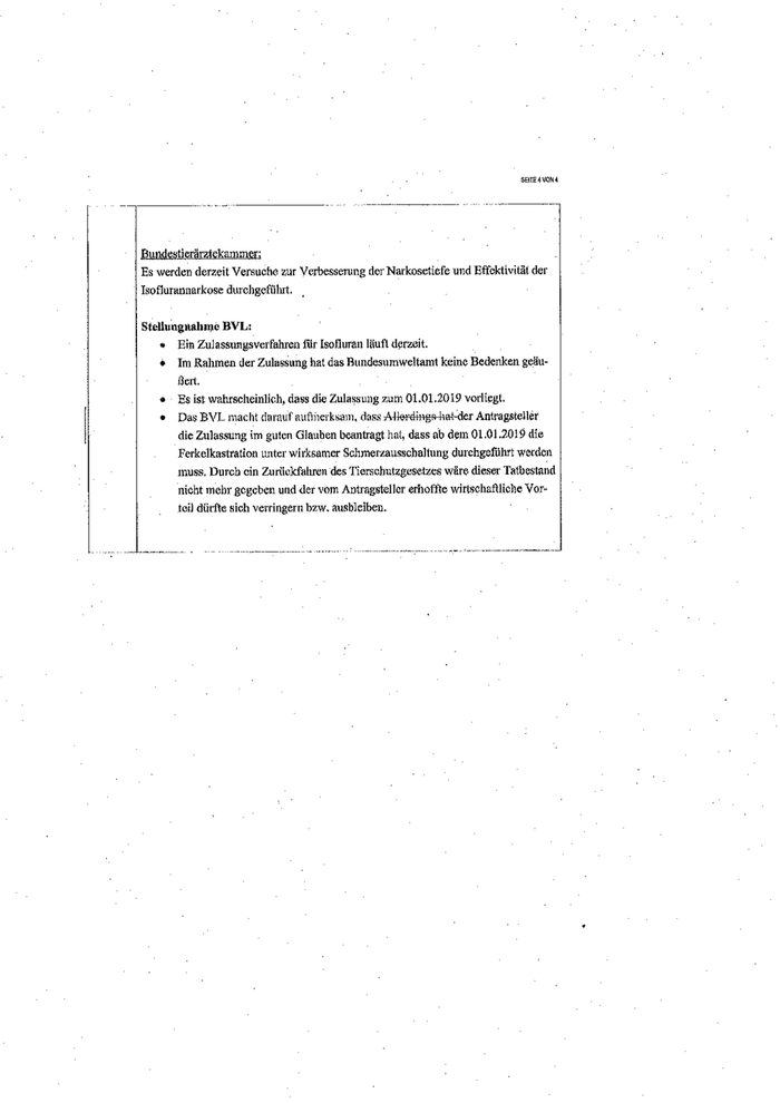
Bundestierärziekem ziekammer:
Es werden derzeit Versuche zur Verbesserung der Narkosetiefe und Effektivität der
' Isoflurannarkose durchgeführt. ,

Stellungnahme BVL:

» Ein Zulassungsver fahren für Isofluran läufi derzeit.

+ Im Rahmen der Zulassung hat das Bundesumweltamt keine Bedenken geäu-
Bert.

« : Es ist wahrscheinlich, dass die Zulassung z zum 01.01.2019 vorliegt.

« Das BVL macht darauf aufinerksam, dass Allerdings-hat-der Antragsteller
die Zulassung im guten Glauben beantragt hat, dass ab dem 01.01.2019 die
Ferkelkastration unter wirksamer Schmerzausschaltung durchgeführt werden
muss. Durch ein Zurückfahren des Tierschutzgesetzes wäre dieser Tatbestand
nicht mebr gegeben und der vom Antragsteller erhoffte wirtschaftliche Vor-
teil dürfte sich verringern bzw. ausbleiben.
42

Abteilung: 3
Gesch. Zeichen: 321-034301/0057

Referaisleiter’-in: MR’nDr. Kluge

Mitarbeiter/-in:  OAR Chapman-Rose

Frau Bundesministerin Klöckner

bo
ie

Herrn Staatssekretär Dr, Acikens

mit der Bitte um Kenntnisnahme

4

im

00

Datum:
Hausruf: 4354/4344

Augefordert am: 04.06.2018
Vorzulegen bis: 04.06.2018 15:00
Termin am:

Durchschrift an;
WI fester Verteiler und Bedienung
variabler Verteiler
‘ durch Fachreferat .
[[] eingeschränkter Verteiler
(innere Angelegenheit /
Interne Meinungsbildung)
[] Personalangelegenheiten /
- persönlicher Inhalt

StV-EL
. : gleich
Referat 611 für EL- zeitig
‚Beferenten/-Innen- oO Zuge
DI ‚AL 3, UAL’n 32 Jeitet

en

Bund-Länder-Verbändegespräch der Staatssekretäre/innf und Amtschefs/iniien zur

Ferkelkastration am 01.06.2018 in Bonn

hier: Ergebnisprotokoll'

I. Sachverhalt

Am 01.06.2018 fand ein Bund-Länder-Veibändegespräch der Staatssekretäre/inne und.
Amtschefs/innen zur Ferkelkastration in Bonn statt. Zur Unterrichtung und zur Vorbereitung
des Joure Fixe mit den Abgeordneten am 05.06,218 bat Herr Staatssekretär um Vorlage des.

Ergebnisprotokolis (siehe Anlage).

I, Stellungnahme

Ergibt sich aus anliegendem Ergebnisvermerk.

Dateiname: 321-LV-BMn - Ergebnispretokoll Stä Bund-Länder Ferkelkastration 01_06 ; 2018  LValoex; zuletzt

geändert: 04.06.2018 13:40
43

SERE2VONZ >
‘ II Vorschlag

Kenntnisnahme,

32 | en
IR

fi.

 

AL3
44

StR

[mt wi

  

Abteilung: .3
Gssch. Zeichen:  321-034301/0057

Referatsieiter/ in! Mn Dr, Kluge

Mitsrkeiter#in: — OAR Chapman-Rose
Frau Bundesininisterin Klöckner KM kester Verieiler and Bedienung
Terre anna nase variabler Verteiler de &e .
„durch Fachreferat
[} eingeschränkter Verteller
(innere Angelegenheit /
intertie Meinungsbildung)
[} Perseneinngelsgenhoiten !
persönlicher Iukalt
[I sw gleich
[I Roferacsti Zür EX. zaiilg
über . . . Reforenten/innen - LI une
Ef AL», VAL» 32 icient

erw Stanissekretär Kir. Aclkens

RAW Alaleke. EEG

mit der Bitte um Kennteisnshme

Bund-Länder-Verbändegespräch der Staatssekretäre/innen und Amtschefs/innen zur For«-

kelkastration ası 01.06.2018 in Bonn | ,
bier:  Ergebnisprötokoll / /, A VG

1 ‚Sachverhalt
Am 01.06.201 8 fand ein Bund-Länder-Verbändegespräch der Staatssekretäre/iune und

Anıtschefß/innen zur Ferkelkastration in Bonn statt. Zur Unterrichtung und zur Vorbereitung
des Jour Fixe mit den Abgeordneten am 03.06.218 bat Herr Staatssekretär um Vorlage des

Ergebnispiotokolls (siehe Anlage), _
21 SR
MR. Stellungaahme

Ergibt sich aus anliegendem Ergebnisvermerk.

Dateiname: 321-LV-BMa - Ergchalsfsrotakall StA Wand ändert Forkelksstration O1_04_2018_L,V.dncx; zuletzt gelte
dert: 04.06.2018 15:39
45

c
_ SEITEZVONZ:

Ik. Vorschlag

“ Kenntnisnahme,

für32 | 326
- Ki | San.
4.6. 146
46

BMEL . 5 04.06.2018
321-034301/0057 | Ä . 4354/4344

| ' Ergebnisprotokoll
Bund-Länder-Verbändegespräch der Staatssekretäre/finnen und Amtscheßs/innen unter

Leitung von Staatssokretär Dr. Aeikens
. 1. Juni 2018, BMEI, Bonn, S. 14.EG,02

Forkelkastration

Begrüßung:

Staatssekretär Dr. Acikens legt in der Begrüßung dar, dass die Einladung des BMEL
zu einem Bund-Länder-Verbändegespräch zum Thema Ferkelkastration ein Ergebnis.
der Frühjahrs-AMK. war: Ziel ist es, Handlungsbedarf und Handlungsoptionen zu
erörtern und möglichst einen Konsens auf Veterinär-, Tierschutz-, Landwirtschafis-,
Bund- und Länderehene zu erzielen,

TOP1

 

TOP 2

Te enormen np a en mn a a mern

Chirurgische Ferkelkastration unter Lokalanästhesie durch den Landwirt als
Alternative zur beiäubungsloren Ferkelknstration

 

Stellungnahmen Verbände:

Deutscher Tierschutzbund (nicht anwesend):

Der Deutsche Tierschutzbund hatte unter Verweis auf seine bekannte -- ablehnende u
Haltung in Bezug auf das Verfahren der Lokalanästhesie und auf eine Änderung des
Tierschutzgesetzes seine Teilnahme abgesagt.

Deutscher ‚her Bayemverband:
e Dex Deutsche Bauernverband (DBV) spr icht si sich, unter Verweis auf den be-

. reits vorangeschrittenen Strukturwandel und die Anwendung der Lokalands- _
thesie in anderen MS, für die Einführung der chirurgischen Ferkelkastration
unter Lokalanästhesie durch den Landwirt aus und

s bittet das BMEL, eine Rechtsverordnung zu erlassen, mit der die An-
wendung durch die Landwirte und ein Sachkundenachweis geregelt
wird (ggf. auch durch Umwidmung von Lidocain, wie in SE).

 

 

ANWORT BMEL zur DBV-Bitte eine Rechtsverordn ung Zu erlassen:

rennen Den nn m herr Te nn ern  n
47

SEMTEZ VON A

 

ran am nr rn

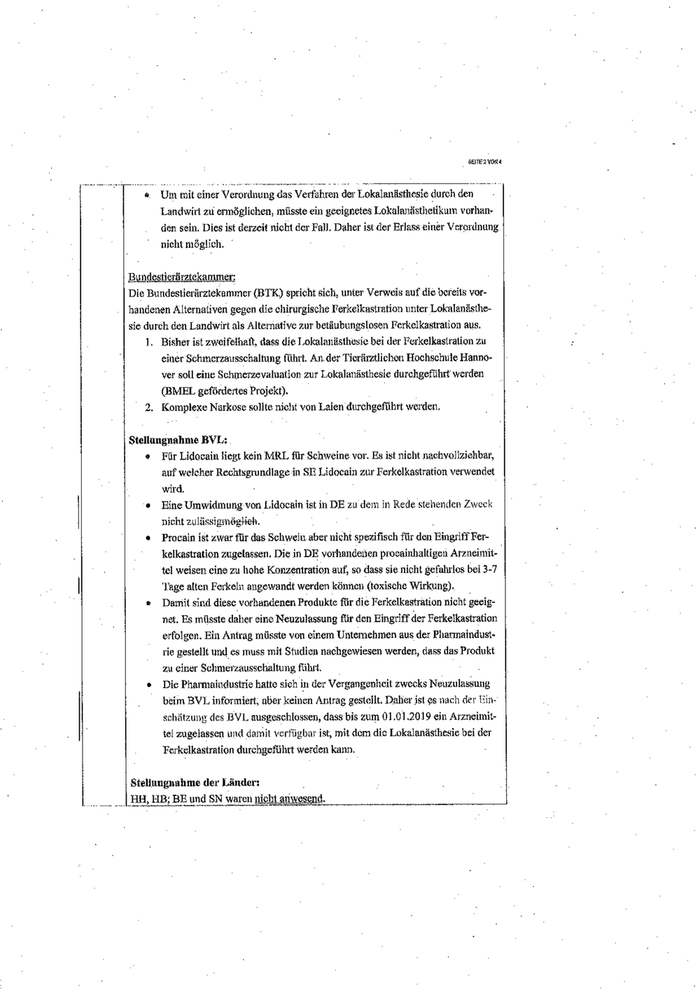
® Um miteiner Verordnung das Verfahren der L olalanäsıhesie durch den
Landwirt zu ermöglichen, miisste ein pesignetes Lokalanästhetikum vorhan-

“ den sein. Dies ist derzeit nicht der Fall. Daher ist der Erlass einer Verordnung
nicht möglich.

 

ten

  
   
   
   
   
  
 
   
   
  
 
 
   

   

Bund jestierärztekammer:
Die Bundestierärztekammer (BTK)} spricht sich, unter Verweis auf die bereits vor-
handenen Alternativen gegen die chirur; gische Ferkelkastration unter Lokalanästhe- _
sie durch dien Landwirt als Alternative zur betäubungslosen Ferkelkastration aus.
1. Bisher ist zweifelhaft, dass die Lokalanästhesie bei der Ferkelkasträtion zu
. einer Schmerzausschaltung führt. An der Tierärztlichen Hochschule Hanno-
ver soll eine Schmerzevaluation zur Lokalanästhesie durchgeführt werden
(BMEL gefördertes Projekt).
2, Komplexe Narkose sollte nicht von Laien durchgeführt werden.

Stellungnahme BVL:
_e Für Lidocaln liegt kein MRI. für Schweine vor. Es ist nicht nachvollziehbar,
auf welcher Rechtsgrundlage in SE l.idocain zur Ferkelkastration verwendet
wird,
® Eine Umwidinung von Lidocain ist in DE zu dem in Rede sishenden Zweck
nicht zulässig.
* Procaln ist zwar für das Schwein aber nicht spezifi isch für den Eingriff Fer-
kelkastration zugelassen. Die in DE vorhandenen procainhaltigen Arzneimit-.
tel weisen eine zu. hohe Konzentration auf, so dass sie nicht gefahrlos bei 3-7.
Tage alten Ferkeln angewandt werden können (toxische Wirkung).

« Damit sind diese vorhandenen Produkte für’die Ferkelkastration nicht geeig-
net, Es müsste daher eine Neuzulassung für den Eingriff‘der Ferkelkastration
erfolgen. Ein Antrag müsste von einem Unternehmen aus der Pharmaindust-
ri gestellt und es muss mit Studien nachgewiesen werden, dass das Produkt

zu einer Schmerzausschaltung führt,

» . Die Pharmaindustrie hatte sich in der Vergangenheit zwecks Neuzulassung

beim BVL informiert, aber keinen Antrag gestellt. Daher ist es nach der Ein-
schätzung des BVL ausgeschlossen, dass bis zum 01. ‚01.2019 ein Ärzneimit-
tel zugelassen und damit verfügbar ist, mit dem die Lokalanästhesie bei der.
Ferkelkastration durchgeführt werden kann.

Stclunguahme der Länder:

a ne Tee anwesend. ETRETTTAENETe nahen 8, che her
48

Zur nächsten Seite