ferkel_bmel_579-724

Dieses Dokument ist Teil der Anfrage „Ferkelkastration

/ 146
PDF herunterladen
Chapman-Rose, Matthias_ / 1 L 4 | | | .

Von: Burchardi Dr., Jan-Erik

Gesendet: © Mittwoch, 6. Juni 2018 18:37

An: Chapman-Rose, Matthias

Ce u Referat 321 .

Betrefi WG: Bitte um Mz - 321-SZ-StA Gespräch AG- EL- Ferkelkastraticn 07 „06
2018

Lieber Herr Chapmann-Rose,
lediglich winzige Änderungen.
Bestie Grüße,

Jan-Erik Burchardl

"Von: Chapman-Rose, Matthias
Gesendet: Mittwoch, 6. Juni 2018 17:55
An: Referat L2; B rchardi Dr,, Jan-Erik
ce Referat 321
Betreff: Bitte um Mz - 321-52-StA Gespräch AG- EL - Ferkelkastration 07_06_ 2018

Anliegende LV zu o.g. Betreff übersende ich mit der Bitte um Mz.

   
   
 
   
   
     

321-S2-HA
Gespräch AG-EL..

  

| R-SZ-StA
Gespräch AG-EL...

>>»Ro gr TY  anRose-» WG;
SA - Gespräch .. Terminbestätigu..

Viele Grüße
Matthias Chapman-Rose

Referat 321
Tierschutz
97

Bundesministertum für Ernährung und
Landwirtschaft (BMEL)

Rochusstraße 1, 53123 Bonn
Telefon: +49 228 / 99 529-4344
Fax: +49 228 / 99 529-55-4344  .
E-Mail: Matthias.Rose@bmel.bund.de
‘ Internet: www.bmel.de
98

Abteilung: 3 Datum:
Gesch, Zeichen; 321-3430 1/0057 Hausraf: 4354/4344
Referatsleiter/-in: . MR’n Dr. Kluge Angefordert am: 06.06.2018
Vorzulegen bis: Sofort
Mitarbeiter/-in: OAR Chapman-Rose Termin amı: 077.06,2018 12:00

2. Burchschriftan:

Herrn Stautssekretär Dr, Aeikens WI fester Verteiler wad Bedienung
oo. variabler Verteiler
duvch Fachreferat
[1] eingeschränkter Verteiler -
(innere Angelegenheit /
interne Meinungsikdung)
[[] Personalangelegenheiten /

   

persönlicher Inhalt
DO " StV-ER . gleich
[] Referat st1 für EL- elle
Referenten/-wnen L HABE“
VI Aıa, VAL’ 32 leitet
mit der Bitte um Kenntnisnahme
Verbot der betäubungslosen Ferkelkastration _
Gespräch mit 9: 1: GEEEEEEEEEEEENEEED. 11: EEE 15
(AEEEEEEEEEREEEED ; EEE 1.11; m 07.06.2018

um 12:00 Uhr im Paul-Löbe-Haus, Saal 2.101.

I. Sachverhalt

Sie, Herr Staatssekretär, führen am 07.06.2018 ein Gespräch init 11: NED

dB QUEEEEEREREEEEED 1: GERNE: GERD
dB (EEE 2: 07.06.2018 zum Thema Ferkelkastration. Sie, Herr
Staatssekretär, baten um einen Sprechzettel und um einen Hintergrundvermerk:

I. Stellungnahme

Ergibt sich aus anliegendem Sprechzettel und Hintergrundvermerk..

Dateiname: 321-87-StA Gespräch AG-EL - Ferkelkastration 07_96,2018_EV (4).docx; zuletzt geändert: 06.06.2018
18:33

arstellt yon Chapman-Rose, Matthlas 06.08.2016 17:16. 2ulekzl geändert von Burchatdi, Jan-Erik 05.05.2018 18:33
Ü AuserstoseWAp}DatallocalcrosoftWindowsiT emporary Internat Filgs\Contenl.OutlookEHOP24N321-SZ-StA Gespräch AG-EL - Ferkalkastrstion 07_05_2018_LV (A).docx
99

SEITE ZVONZ

XII. Vorschlag

Kenntnisnahme.

3»2|n|zmı_

EB |KI.
6/6 | Rose

6/6
100

_ Referat 321 E 06.06.2018

321-34301/0057 4354
Sprechzettel

Anlass: Gespräch Staatssekretär Aeikens mit AG EL am 07.06.2016

Thema:

Verbot der betäubungslosen Ferkeikastration .

l. Gesprächsführungsvorschlag

4. Inhaltlicher Sachstand

Ab 1. Januar 2018 gilt gemäß Tierschutzgesetz das Verbot

der ketäubungsiosen Ferkelkastration. Die entsprechende Ge-

setzesänderung ist vor knapp 5 Jahren in Kraft getreten. Voraus-

gegangen war elne Intensive Gesetzesberatung,

Verfügbare Alternativen sind |

1. die Jungebermast,

2. die Immunokastration,

3, die chirurgische Kastration unter Betäubung, d. h. wirksamer
Schmerzausschaltung. |

Von der Branche wird vorgetragen, dass diese Alternativen nicht

geeigriet sind für eine flächendeckende Ablösung der bestehen-

den Praxis-der betäubungslosen Ferkelkäastration.

Es wird daher gefordert, das Verfahren der chirurgischen Fer-

kelkastration unter einer vom Landwirt durchgeführten Lo-

kalanästhesie einzuführen.

Dieses Verfahren erfüllt aber nicht die ab 01.01.2019 nach

dem Tierschutzgesetz geregelten Bedingungen. Insbesondere

ist die Schmerzausschaltung umstritten und die Anwendung durch
101

BENE2VONE

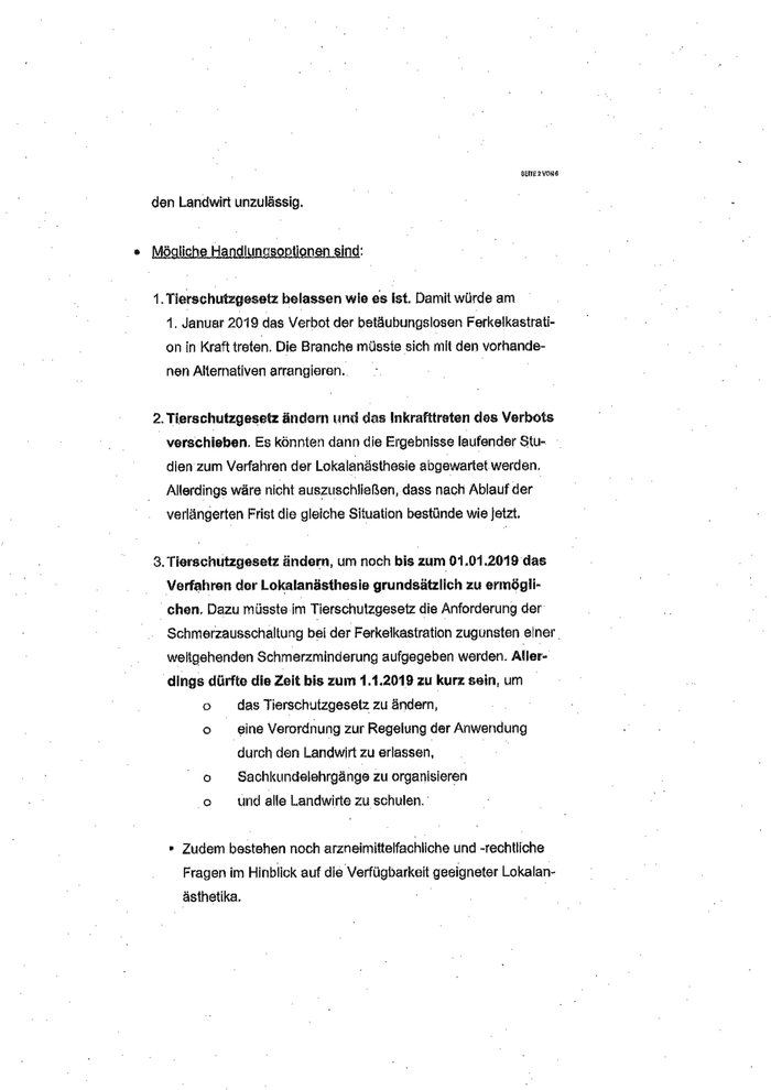
den Landwirt unzulässig.
» Mögliche H andlungsoptionen sind:

1 ‚Tierschutzgesetz belassen wie es ist. Damit würde am
4. Januar 2019 das Verbot der betäubungslosen Ferkelkastrati-
on in Kraft treten. Die Branche müssie sich mit den vorhande-
nen Alternativen arrangieren..

2. Tierschutzgesetz ändern und das Inkrafttreten das Verbots
verschieben. Es könnten dann die Ergebnisse laufender Stu-
dien zum Verfahren der Lokalanästhesie abgewartet werden,
Allerdings wäre nicht auszuschließen, dass nach Ablauf der |
verlängerten Frist die gleiche Situation bestünde wie jetzt,

3. Tierschutzgesetz ändern, um noch bis zum 01.01.2019 das
Verfahren der Lokalanästhesie grundsätzlich zu ermögli-

_ chen, Dazu müsste im Tierschutzgesetz die Anforderung der‘
Schmerzausschaltung bei der Ferkelkastration zugunsten einer.
weligehenden Schmerzminderung aufgegeben werden. Aller-
dings dürfte die Zeit bis zum 1.1.2019 zu kurz sein, um

das Tierschutzgesetz zu ändern,
| eine Verordnung zur Regelung der Anwendung
durch den Landwirt zu erlassen, | .
o Sachkundelehrgänge zu organisieren
o und alle Landwirte zu schulen.

* Zudem bestehen noch arzneimittelfachliche und -rechtliche
Fragen im Hinblick auf die Verfügbarkeit geeigneter Lokalan-
ästhetika. |
102

SEITEFVON H

» Insgesamt bedeutet das, dass das Verfahren der Lokalan-
ästhesie der landwirtschaftlichen Praxis nicht bis zum
- - 01.01.2019 verfügbar gemacht werden kann.

4, Tierschutzgesstz ändern, um das Verfahren der Lokalanäs-
thesie grundsätzlich zu ermöglichen und gleichzeitig das In-
‚krafttroten des Verbotes zu verschieben bis zu dem Zeit-
punkt, an dem das Verfahren der Lokalanästhesie tatsächlich

zur Verfügung steht, Dazu wäre erforderlich, |

+» dass geeignete Lokalanästhetika verfügbar sind,

‚x eine Verordnung zur Regelung der Anwendung durch den
Landwirt erlassen ist und die Landwirte entsprechend ge-
schult sind, |
» Bis zum Zeitpunkt des Inkrafttretens wäre die betäubungslo-
se Ferkelkastration weiter zulässig.
5. Eine weltere Option wäre, die eben dargestellte Variante zu
kombinieren mit einem „Verfallsdatum“, d. h. einem Datum,
zu dem die Regelung unabhängig von der Verfügbarkeit des
Verfahrens der Lokalanästhesie spätestens in Kraft tritt. |

2. Verfahrensstand

«. Wir befinden uns derzeit in intensiven Gesprächen mit den
Ländern.

* - Zuletzt im Kamingespräch der AMK söwie bel einer Staatssek-
totärsrunde mit Ländern und Verbänden am 1. Juni: 2018 in
Bonn.

«e Ergebnis des Gesprächs vom 1. Juni 2018 in Bonn:
103

SETESVONS

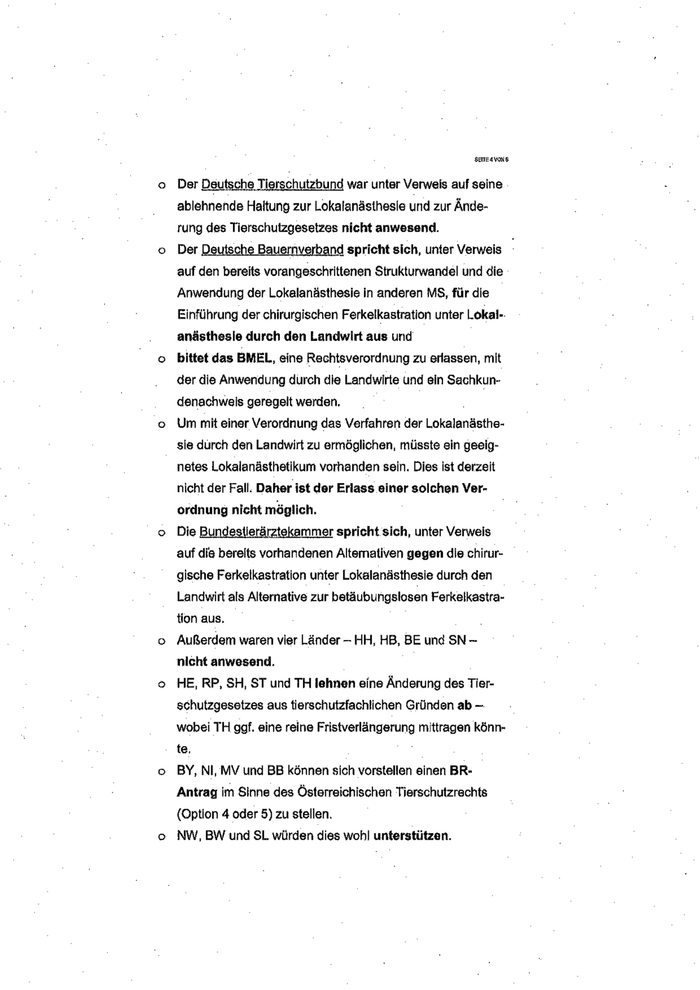
Der Deutsche Tierschutzbund war unter Verweis aufseine
ablehnende Haltung zur Lokalanäsihesie und zur Ände-
rung des Tierschutzgesetzes nicht anwesend.
Der Deutsche Bauernverband spricht sich, unter Verweis
auf den bereits vorangeschrittenen Strukturwandel und die -
Anwendung der Lokalanästhesie in anderen MS, für die |
Einführung der chirurgischen Ferkelkastration unter Lokal-.
anästhesle durch den Landwirt aus und |
bittet das BMEL, eine Rechtsverordnung zu erlassen, mit
der die Anwendung durch die Landwirte und ein Sachkun-
denachweis geregeit werden.
Um mit einer Verordnung das Verfahren der Lokalanästhe-
sie dürch den Landwirt zu ermöglichen, müsste ein geeig-
netes Lokalanästhetikum vorhanden sein. Dies ist derzeit
nicht der Fall. Daher ist der Erlass einer solchen Ver-
ordnung nicht möglich.
Die Bundestierärztekammer spricht. sich, unter Verweis
auf die bereits vorhandenen Altemativen gegen die chirur-
gische Ferkelkastration unter Lokalanästhesie durch den
Landwirt als Alternative zur betäubungslosen Ferkelkastra-
tion aus,
Außerdem waren vier Länder — HH, HB, BE und SN —
nicht anwesend.
HE, RP, SH, ST und TH lehnen eine Änderung des Tier-
schutzgesetzes aus tierschutzfachlichen Gründen ab —
wobei TH ggf. eine reine Fristverlängerung mittragen könn-
te, . nn
BY, NI, MV und BB können sich vorstellen einen BR-
Antrag im Sinne des Österreichischen Tierschutzrechts
(Option 4 oder 5) zu stellen.
NW, BW und SL würden dies wohl unterstützen.
104

SEITES VORG-

o.BYhat zugesagt, die potentiellen Antragsteller und das
BMEL kurzfristig zu einer Telefonkonferenz einladen, um :
In diesem Sinne das weitere Vorgehen zu besprechen.

o ‚Diese Telefonkonferenz Ist für den 7. Juni 2018 — (Formation: Schriiart: Fett
15:00 Uhr geplant.

o BMEL hat seine Unterstützung zugesagt.

+ Ergebnis des Koalitionsfrühstücks vom 5. Juni 2018:

o Hinsichtlich der Abstimmung mit der SPD-Fraktion, ob die-
se.einer Änderung des Tierschutzgesetzes zustimmt, um
das Verfahren der Lokalanästhesie zu ermöglichen,
wird Frau MdB it Herrn oc En Ver-
bindung setzen.

oo (Hero: sich aus dieser Abstimmung heraus-
halien.] |

3. Position der Bundesregierung /des BNEL

» Im Koalitionsvertrag haben wir vereinbart, dass zusätzlich zu
den bestehenden Wegen für weitere tfierschutz- und praxisge-
rechie Alternativen zur Ferkelkastration die rechtlichen Vo-
raussetzungen auf wissenschaftlicher Grundlage geschaffen
werden sollen.

» Derzeit liegen diese wissenschaftlichen Grundlagen nicht
vor. Die Ergebnisse einer vom BMEL. beauftragten Studie
zum Verfahren der Lokalanästhesle warden voraussichtlich
erst 2021 vorliegen.

+ Eine Änderung des Tierschutzgesetzes setzt wegen der hohen
Sensibilität des Themas und der schwierigen Vermittelbar-
keit in der öffentlichen Kommunikation voraus, dass alle
Beteiligten an-einem Strang ziehen.
105

SERESVONe =

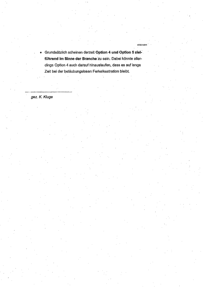
® Grundsätzlich scheinen derzeit Option 4 und Option 5 ziel-.
führend im Sinne der Branche zu sein. Dabei könnte aller-
dings Option 4 auch darauf hinauslaufen, dass es auf lange
Zeit bei der betäubungslosen Ferkelkastratiön bleibt.

rn

‚gez. K. Kluge
106

Zur nächsten Seite