Lageübersicht „Flucht und Migration" Griechenland

Berichte von Juli 2019 bis Oktober 2020

Dieses Dokument ist Teil der Anfrage „Lage in griechischen Flüchtlingslagern seit Juli 2019

/ 136
PDF herunterladen
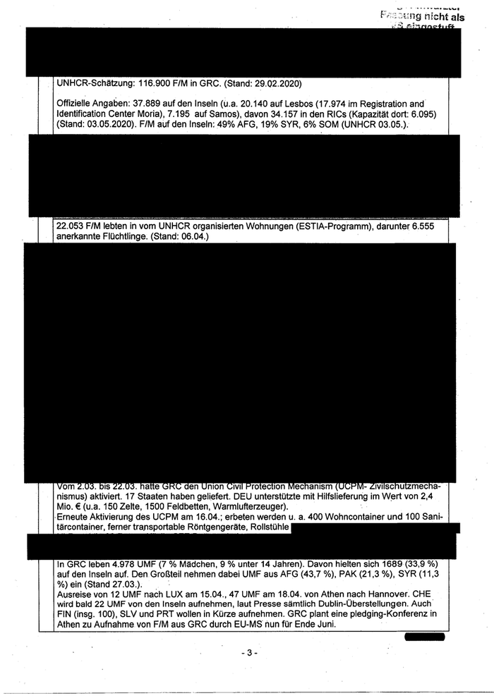
„. . .  - -..... „ ... ___ '"''-' F,:::: :·:t:ng nicht als '~      „ ·:.:•·    ~~~ UNHCR-Schätzung: 116.900 F/M in GRC. (Stand: 29.02.2020) Offizielle Angaben: 37.889 auf den Inseln (u.a. 20.140 auf Lesbos (17.974 im Registration and ldentification Center Moria), 7.195 auf Samos), davon 34.157 in den RICs (Kapazität dort: 6.095) (Stand: 03.05.2020). F/M auf den Inseln: 49% AFG, 19% SYR, 6% SOM (UNHCR 03.05.). In GRC leben 4.978 UMF (7 % Mädchen, 9 % unter 14 Jahren). Davon hielten sich 1689 (33,9 %) auf den Inseln auf. Den Großteil nehmen dabei UMF aus AFG (43,7 %), PAK (21,3 %), SYR (11,3 %) ein (Stand 27.03.). Ausreise von 12 UMF nach LUX am 15.04., 47 UMF am 18.04. von Athen nach Hannover. CHE wird bald 22 UMF von den Inseln aufnehmen, laut Presse sämtlich Dublin-Überstellungen. Auch· FIN (insg. 100), SLV und PRT wollen in Kürze aufnehmen. GRC plant eine pledging-Konferenz in Athen zu Aufnahme von F/M aus GRC durch EU-MS nun für Ende Juni. -3-
61


                                            
                                                
                                                62
                                            
                                        

"8  NfD ' ' '-"-··'-'·~.x18 1: eilt als Lageübersicht „Flucht und Migration" Griechenland                VS eingestuft (Anderungen .zur vorherigen Übersicht sind gelb unterlegt) Botschaft Athen                                                                          Stand: 12.05.2020 An: Länderreferat, AS-EM, Verteiler Task Force Migration Nach insgesamt über 200 Infektionsfällen unter F/M in Lagern und Unterkünften auf dem Fest- land (Ritsona, Malakasa, Kranidi) stehen diese unter vollständige Quarantäne. Hauptbetroffen ist eine Flüchtlingsunterkunft (Hotel) in Kranidi (Peloponnes) mit 470 überwiegend afrikanischen F/M, nach Tests gab es dort 150 festgestellte Covid-19-Fälle.            · Seit 4.05. Lockerungen der Bewegungsbeschränkungen wegen Corona für die Gesamtbevölke- rung. Seit 21.03. verschärfte Ausgangssperre für die Flüchtlingslager, nun verlängert bis zum . 21..05 .. In den Flüchtlingslagern darf zwischen 7:00 und 19:00 Uhr lediglich eine Person pro Fa- milie oder Kleingruppe sich zu den nahegelegenen Ortschaften auf den Weg machen, um drin- gende Besorgungen zu erledigen. Zusätzlich wurden Bankaütomaten und Geschäfte innerhalb der Lager errichtet, um einen Ausgang unnötig zu mach~n. Der Zugang zu den Camps ist nur noch für dort arbeitendes Personal zulässig, Besuche sind nicht mehrc möglich, auch alle Aktivitä-' ten innerhalb der Camps wurden untersagt. Schon seit Anfang März wurden Neuankömmlinge nicht mehr sofort in die bestehenden Hotspot-Lager gebracht. Weiterhin bislang kein bestätigter Covid-19 Fall unter den F/M auf den Inseln. Trotzdem muss dort jederzeit mit einer Ausbreitung auch unter den F/M gerechnet werden. Die EU-KOM ist zu einem Notfallplan im engen.Kontakt mit den grc Behörden. Seit 21.04. bringt die Regierung 2380 vulnerable Asylbewerber als Schutzmaßnahme von den Hotspotinseln in Unterkünfte auf das Festland. Es handelt sich um 200 F/M über 60 Jahre mit ihren Familien (insg. 650 Personen) sowie jüngere Menschen mit Vorerkrankungen und ihre Fa- milien (insg. 1. 730 Personen). Die Aktion dauert länger als geplant, da der Transfer aus gesund- heitlicher Vorsorge nun in kleinen Gruppen vorgesehen ist.                                      , Zusätzlich werden Gruppen aus den Lagern durch UNHCR in Unterkünfte auf den Inseln ge- ~~                                                                     .
63

UNHCR-Schätzung: 118.000 F/M in GRC. (Stand: 29.02.2020) Offizielle Angaben: 37.324 auf den Inseln (u.a. 19.893 auf Lesbos (17.700 im Registration and ldentification Center Moria), 7.136 auf Samos), davon 33.577 in den RICs (Kapazität d~rt 6.095) (Stand: 10.05.2020). F/M auf den Inseln: 49% AFG, 19% SYR, 6% SOM (UNHCR 03.05.). -3-
64

l1i g~:;ch~rfü'zter VS NfD                             Fc~s~s~r~~l r~~~ht als VS c•lng:.;stuft Lageübersicht „Flucht und Migration" Griechenland (Anderungen zur vorherigen Übersicht sind gelb unterlegt) Botschaft Athen                                                                             Stand: 19.05.2020 An: Länderreferat, AS-EM, Verteiler Task Force Migration Seit 4.05. Lockerungen der Bewegungsbeschränkungen wegen Corona für die Gesamtbevölke- rung. Seit 21.03. verschärfte Ausgangssperre für die Flüchtlingslager. nun verlängert bis zum 21.05 .. In den Flüchtlingslagern darf zwischen 7:00 und 19:00 Uhr lediglich eine Person pro Fami- lie oder Kleingruppe sich zu den nahegelegenen Ortschaften auf den Weg machen, um dringende . Besorgungen zu erledigen. Zusätzlich wurden Bankautomaten und Geschäfte innerhalb der Lager errichtet, um einen Ausgang unnötig zu machen. Der Zugang zu den Camps ist nur noch für dort arbeitendes Personal zulässig, Besuche sind nicht mehr möglich, auch alle Aktivitäten innerhalb der Camps wurden untersagt. Ab 12.05. erstmals 4 bestätigte Covid-19-Fälle bei neuankommenden F/M auf Lesbos, die sich in vorbeugender Quarantäne befanden. Schon seit Anfang März we·rden Neuankömmlinge nicht mehr sofort in die bestehenden Hotspot-Lager gebracht, in denen weiterhin bislang kein bestätig- ter Covid-19-Fall vorliegt. Trotzdem muss dort jederzeit mit einet Ausbreitung auch unter den F/M gerechnet werden. Die EU-KOM ist zu einem No~allplan im engen Kontakt mit den grc Behörden. Seit 21.04. bringt die Regierung 2380 vulnerable Asylbewerber als Schutzmaßnahme von den Hotspotinseln in Unterkünfte auf das Festland. Es handelt sich um 200 F/M über 60 Jahre mit ihren Familien (insg. 650 Personen) sowie jüngere Menschen mit Vorerkrankungen und ihre Fa:.. milien (insg. 1. 730 Personen). Die Aktion dauert länger als geplant, da der Transfer aus gesund- heitlicher Vorsorge nun in kleinen Gruppen vorgesehen ist. Zusätzlich werden Gruppen aus den Lagern durch UNHCR in Unterkünfte auf den Inseln ge- bracht:
65

UNHCR-Schätzung: 118.000 F/M in GRC. (Stand: 29.02.2020) Offizielle Angaben: 36.915 auf den Inseln (u.a. 19.638 auf Lesbos (17.519 im Registration and ldentification Center Moria), 7.063 Samos), davon 33.238 in den RICs (Kapazität dort: 6.095) (Stanq: 17.05.2020). F/M auf den Inseln: 49% AFG, 19% SYR, 6% SOM (UNHCR 03.05.). -3-
66

-VS-NfU-                              in gG~C!YH~ratcr Fa.nsung nicht als Lageübersicht „Flucht und Migration" Griechenland             VS eingestuft (Anderungen zur vorherigen Übersicht sind gelb unterlegt) Botschaft Athen                                                                          Stand: 26.05.2020 An: Länderreferat, AS-EM, Verteiler Task Force Migration Seit 4.05. Lockerungen der Bewegungsbeschränkungen wegen Corona für die Gesamtbevölke- rung. Seit 21.03. verschärfte Ausgangssperre für die Flüchtlingslager, nun verlängert bis 07.06. für alle Reception and lndentification Center sowie die Lager in Ritsona, Malakassa und Koutsochero, in denen es Covid-19-Fälle gegeben hatte. In den Flüchtlingslagern darf zwischen 7:00 und 19:00 Uhr lediglich eine Person pro Familie oder Kleingruppe sich zu den nahegelege- nen Ortschaften auf den Weg machen, um dringende Besorgungen zu erledigen. Zusätzlich wur- den Bankautomaten und Geschäfte innerhalb der Lager errichtet, um einen Ausgang unnötig zu machen. Der Zugang zu den Camps ist nur noch für dort arbeitendes Personal zulässig, Besuche sind nicht mehr möglich, auch alle Aktivitäten innerhalb der Camps wurden untersagt. Ab 12.05. erstmals 4 bestätigte Covid-19-Fälle bei neuankommenden F/M auf Lesbos, die sich in vorbeugender Quarantäne befanden. Schon seit Anfang März werden Neuankömmlinge nicht mehr sofort in die bestehenden Hotspot-Lager gebracht, in denen weiterhin bislang kein bestätig- ter Covid-19-Fall vorliegt. Trotzdem muss dort jederzeit mit einer Ausbreitung auch unter den F/M gerechnet werden. Die EU-KOM ist zu einem Notfallplan im engen Kontakt mit den grc Behörden. Seit 21.04. bringt die Regierung 2380 vulnerable Asylbewerber als Schutzmaßnahme von·den Hotspotinseln in Unterkünfte auf das Festland. Es handelt sich um 200 F/M über 60 Jahre mit ihren Familien (insg. 650 Personen) sowie jüngere Menschen mit Vorerkrankungen und ihre Fa- milien (insg. 1. 730 Personen). Die Aktion dauert länger als geplant, da der Transfer aus gesund- heitlicher vorsorge nun in kleinen Gruppen vorgesehen ist.                            · Zusätzlich werden Gruppen aus den Lagern durch UNHCR in Unterkünfte auf den Inseln ge- bracht. - 1- .~----~                 ---
67

r:'"~~~~~.:-:; ~-~~~~tji 1:1icE·~.t ~,s VJ         eiLQü~htk"t -2-
68

1n eG:.~;:'.1\n:i~1c.~.er UNHCR-Schätzung: 118.000 F/M in GRC. (Stand: 29.022020)                             ~- a~? ~·;.J; ·~ ·.~i ~ -. , ~; ~ ~ ~: 2 !s \p~·)-<:1~r~~~s·~ Ll·ft Offizielle Angaben: 36.396 auf den Inseln (u.a. 19.457 auf Lesbos (17.350 im Registration and ldentification Center Moria), 6.894 Samos), davon 32.735 in den RICs (Kapazität dort: 6.095) (Stand: 24.05.2020). F/M auf den Inseln: 49% AFG, 19% SYR, 6% SOM (UNHCR 03.05.). -3-
69


                                            
                                                
                                                70
                                            
                                        

Zur nächsten Seite