Sozialbestattungen nach § 74 SGB XII im Saarland

/ 90
PDF herunterladen
Übernahme von Bestattungskosten nach § 74 SGB XII hier: Abfrage bei den saarländischen Städten und Gemeinden zur Höhe der Gebühren, die aufgrund der Friedhofs- und Bestattungsgebührensatzung jeweils anfallen Stadt/Gemeinde:                        Grabart            Rasengrab für    Erdgrab für      Familiengrab für    Urnenerdgrab        Urnenbeile-      Anonymes Urnen-    1. Bestattung   2. Bestattung      Sonstige (Ruhezeit)            Sargbe-         Sargbe-          (2er)Sargbe-        (20 Jahre)      gung im (Sarg-)       rasengrab         in Urnen-       in Urnen-     Bestattungsart: Saarlouis                                                 stattung       stattung             stattung                            Erdgrab            (20 Jahre)      wandkammer      wandkammer      Urnenbaumgrab (20 Jahre)     (20 Jahre)           (20 Jahre)                        (mind. 10 Jahre                                                          (20 Jahre) Gebühr (bzw. Entgelt)                                                                                         Restruhezeit) Nutzung und Unterhaltung der Friedhofsanlage (Gebühr für die                                               pro Stelle Grabnutzung)                             1.100,00 €       1.100,00 €         1.490,00 €          480,00 €            240,00 €          480,00 €                                            480,00 € 590,00 €            590,00 €          590,00 €                                            590,00 € Jahr 2009 Grabherstellung 960,00 €          960,00 €           960,00 € Benutzung der Leichenhalle Verwaltungsgebühr Grabpflege (Entgelt)                      960,00 €                                                                                     790,00 €                                            790,00 € Sonstige Kosten/Gebühren Zusammen:       3.020,00 €       2.060,00 €         3.940,00 €         1.070,00 €           830,00 €         1.860,00 €                                         1.860,00 € Nutzung und Unterhaltung der Friedhofsanlage (Gebühr für die                                               pro Stelle Grabnutzung)                             1.100,00 €       1.100,00 €         1.490,00 €          480,00 €            240,00 €          480,00 €                                            480,00 € Jahr 2010 Grabherstellung                                                                                  590,00 €            590,00 €          590,00 €                                            590,00 € 960,00 €          960,00 €           960,00 € Benutzung der Leichenhalle Verwaltungsgebühr Grabpflege (Entgelt)                      960,00 €                                                                                     790,00 €                                            790,00 € Sonstige Kosten/Gebühren Zusammen:       3.020,00 €       2.060,00 €         3.940,00 €         1.070,00 €           830,00 €         1.860,00 €                                         1.860,00 € Einzelgebühren für      Nutzung und Unterhaltung der Kinder unter 5 Jahren   Friedhofsanlage (Gebühr für die Grabnutzung)                              480,00 € Grabherstellung                           590,00 € Benutzung der Leichenhalle Jahr 2009 Verwaltungsgebühr Grabpflege (Entgelt) Sonstige Kosten/Gebühren Zusammen:       1.070,00 € Nutzung und Unterhaltung der Friedhofsanlage (Gebühr für die Grabnutzung)                              480,00 € 590,00 € Jahr 2010 Grabherstellung Benutzung der Leichenhalle Verwaltungsgebühr Grabpflege (Entgelt) Sonstige Kosten/Gebühren Zusammen:       1.070,00 €
31

Übernahme von Bestattungskosten nach § 74 SGB XII hier: Abfrage bei den saarländischen Städten und Gemeinden zur Höhe der Gebühren, die aufgrund der Friedhofs- und Bestattungsgebührensatzung jeweils anfallen Stadt/Gemeinde:                        Grabart            Rasengrab für    Erdgrab für      Familiengrab für   Urnenerdgrab       Urnenbeile-        Anonymes Urnen-   1. Bestattung   2. Bestattung     Sonstige (Ruhezeit)            Sargbe-         Sargbe-            Sargbe-          (25 Jahre)     gung im (Sarg-)         rasengrab        in Urnen-       in Urnen-     Bestattungsart Schwalbach                                                 stattung        stattung           stattung                           Erdgrab              (25 Jahre)     wandkammer      wandkammer      Urnenfamilien- (25 Jahre)      (25 Jahre)         (25 Jahre)                                                                                                   grab Gebühr (bzw. Entgelt) Nutzung und Unterhaltung der                                                                                     anteilig pro Friedhofsanlage (Gebühr für die                                                                                   Verlänge- Grabnutzung)                              107,00 €          107,00 €           624,00 €          56,00 €          rungsjahr             56,00 €                                          397,00 € 366,00 €          366,00 €           520,00 €         107,00 €           107,00 €            107,00 €                                          107,00 € Jahr 2009 Grabherstellung Benutzung der Leichenhalle                  82,00 €          82,00 €            82,00 €          82,00 €            82,00 €             82,00 €                                           82,00 € Verwaltungsgebühr Grabpflege (Entgelt)                     2.137,00 €                                                                                    153,00 € Sonstige Kosten/Gebühren Zusammen:       2.692,00 €         555,00 €         1.226,00 €         245,00 €                               398,00 €                                          586,00 € Nutzung und Unterhaltung der                                                                                     anteilig pro Friedhofsanlage (Gebühr für die                                                                                   Verlänge- Grabnutzung)                              107,00 €          107,00 €           624,00 €          56,00 €          rungsjahr             56,00 €                                          397,00 € Jahr 2010 Grabherstellung                           366,00 €          366,00 €           520,00 €         107,00 €           107,00 €            107,00 €                                          107,00 € Benutzung der Leichenhalle                  82,00 €          82,00 €            82,00 €          82,00 €            82,00 €             82,00 €                                           82,00 € Verwaltungsgebühr Grabpflege (Entgelt)                     2.137,00 €                                                                                    153,00 € Sonstige Kosten/Gebühren Zusammen:       2.692,00 €         555,00 €         1.226,00 €         245,00 €                               398,00 €                                          586,00 € Einzelgebühren für      Nutzung und Unterhaltung der Kinder unter 5 Jahren   Friedhofsanlage (Gebühr für die Grabnutzung)                                56,00 € Grabherstellung                           174,00 € Benutzung der Leichenhalle                  82,00 € Jahr 2009 Verwaltungsgebühr Grabpflege (Entgelt) Sonstige Kosten/Gebühren Zusammen:        312,00 € Nutzung und Unterhaltung der Friedhofsanlage (Gebühr für die Grabnutzung)                                56,00 € 174,00 € Jahr 2010 Grabherstellung Benutzung der Leichenhalle                  82,00 € Verwaltungsgebühr Grabpflege (Entgelt) Sonstige Kosten/Gebühren Zusammen:        312,00 €
32

Übernahme von Bestattungskosten nach § 74 SGB XII hier: Abfrage bei den saarländischen Städten und Gemeinden zur Höhe der Gebühren, die aufgrund der Friedhofs- und Bestattungsgebührensatzung jeweils anfallen Stadt/Gemeinde:                         Grabart               Rasengrab für      Erdgrab für      Familiengrab für   Urnenerdgrab        Urnenbeile-       Anonymes Urnen-   1. Bestattung        2. Bestattung         Sonstige (Ruhezeit)               Sargbe-           Sargbe-            Sargbe-          (20 Jahre)      gung im (Sarg-)        rasengrab         in Urnen-            in Urnen-       Bestattungsart Lebach                                                       stattung          stattung           stattung                            Erdgrab                            wandkammer           wandkammer         Urnenrasengrab (25 Jahre)        (25 Jahre)         (25 Jahre)                        (mind. 10 Jahre                         (20 Jahre)        (mind. 10 Jahre)      (20 Jahre) Gebühr (bzw. Entgelt)                                                                                              Restruhezeit) Nutzung und Unterhaltung der Friedhofsanlage (Gebühr für die Grabnutzung)                                    720,00 €          720,00 €           900,00 €          357,00 €                                                 550,00 €                                 357,00 € 449,00 €          449,00 €           562,00 €          224,00 €            224,00 €                             147,00 €                                 224,00 € Jahr 2009 Grabherstellung                                                                                                                                                                      147,00 € Benutzung der Leichenhalle                      370,00 €          370,00 €           370,00 €    (1)   370,00 €      (1)   370,00 €                      (1)    370,00 €       (1)   370,00 €     (1)    370,00 € Verwaltungsgebühr                                                                      2,60 € Grabpflege (Entgelt)                          2.550,00 €                                                                                                                                                1.081,00 € Sonstige Kosten/Gebühren                                           61,00 €            79,00 €           41,00 € Zusammen:              4.089,00 €        1.600,00 €         1.913,60 €          992,00 €            594,00 €                            1.067,00 €            517,00 €           2.032,00 € Nutzung und Unterhaltung der Friedhofsanlage (Gebühr für die Grabnutzung)                                    720,00 €          720,00 €           900,00 €          357,00 €                                                 550,00 €                                 357,00 € Jahr 2010 Grabherstellung                                 449,00 €          449,00 €           562,00 €          224,00 €            224,00 €                             147,00 €             147,00 €            224,00 € Benutzung der Leichenhalle                      370,00 €          370,00 €           370,00 €    (1)   370,00 €      (1)   370,00 €                      (1)    370,00 €       (1)   370,00 €     (1)    370,00 € Verwaltungsgebühr                                                                      2,60 € Grabpflege (Entgelt)                          2.550,00 €                                                                                                                                                1.081,00 € Sonstige Kosten/Gebühren                                           61,00 €            79,00 €           41,00 € Zusammen:          4.089,00 €        1.600,00 €         1.913,60 €          992,00 €            594,00 €                            1.067,00 €            517,00 €           2.032,00 € 20 Jahre Einzelgebühren für      Nutzung und Unterhaltung der Kinder unter 5 Jahren   Friedhofsanlage (Gebühr für die Grabnutzung)                                                      357,00 € Grabherstellung                                                   224,00 € Benutzung der Leichenhalle                                        370,00 € Jahr 2009 Verwaltungsgebühr Grabpflege (Entgelt) Sonstige Kosten/Gebühren                                           41,00 € Zusammen:                              992,00 € Nutzung und Unterhaltung der Friedhofsanlage (Gebühr für die Grabnutzung)                                                      357,00 € Jahr 2010 Grabherstellung                                                   224,00 € Benutzung der Leichenhalle                                        370,00 € Verwaltungsgebühr Grabpflege (Entgelt) Sonstige Kosten/Gebühren                                           41,00 € Zusammen:                              992,00 € (1) Bei Leichenhallenbenutzung nur für die Urne: 185,00 €
33

Übernahme von Bestattungskosten nach § 74 SGB XII hier: Abfrage bei den saarländischen Städten und Gemeinden zur Höhe der Gebühren, die aufgrund der Friedhofs- und Bestattungsgebührensatzung jeweils anfallen Stadt/Gemeinde:                        Grabart            Rasengrab für    Erdgrab für      Familiengrab für   Urnenerdgrab       Urnenbeile-      Anonymes Urnen-    1. Bestattung     2. Bestattung       Sonstige (Ruhezeit)            Sargbe-        Sargbes-            Sargbe-          (20 Jahre)     gung im (Sarg-)       rasengrab          in Urnen-         in Urnen-      Bestattungsart Nalbach                                                  stattung        tattung            stattung                           Erdgrab            (25 Jahre)      wandkammer        wandkammer          Tiefengrab (25 Jahre)      (25 Jahre)         (25 Jahre)                                                               (20 Jahre)                            Eltern Gebühr (bzw. Entgelt)                                                     Elterngrab Nutzung und Unterhaltung der Friedhofsanlage (Gebühr für die Grabnutzung)                               380,00 €         380,00 €         1.440,00 €         295,00 €           295,00 €          295,00 €           500,00 €          250,00 €         1.440,00 € 470,00 €         470,00 €           470,00 €         235,00 €           235,00 €          235,00 €           195,00 €                            750,00 € Jahr 2009 Grabherstellung                                                                                                                                                           195,00 € Benutzung der Leichenhalle                 240,00 €         240,00 €           240,00 €          50,00 €            50,00 €           50,00 €            50,00 €           50,00 €          240,00 € Verwaltungsgebühr Grabpflege (Entgelt)                     3.790,00 €                                                                                  700,00 € Sonstige Kosten/Gebühren                                    150,00 €           300,00 €          75,00 €                                                                                    150,00 € Zusammen:       4.880,00 €       1.240,00 €         2.450,00 €         655,00 €           580,00 €         1.280,00 €          745,00 €          495,00 €         2.586,00 € Nutzung und Unterhaltung der Friedhofsanlage (Gebühr für die Grabnutzung)                               380,00 €         380,00 €         1.440,00 €         295,00 €           295,00 €          295,00 €           500,00 €          250,00 €         1.440,00 € Jahr 2010 Grabherstellung                            470,00 €         470,00 €           470,00 €         235,00 €           235,00 €          235,00 €           195,00 €          195,00 €          750,00 € Benutzung der Leichenhalle                 240,00 €         240,00 €           240,00 €          50,00 €            50,00 €           50,00 €            50,00 €           50,00 €          240,00 € Verwaltungsgebühr Grabpflege (Entgelt)                     3.790,00 €                                                                                  700,00 € Sonstige Kosten/Gebühren                                    150,00 €           300,00 €          75,00 €                                                                                    150,00 € Zusammen:       4.880,00 €       1.240,00 €         2.450,00 €         655,00 €           580,00 €         1.280,00 €          745,00 €          495,00 €         2.586,00 € Einzelgebühren für      Nutzung und Unterhaltung der Kinder unter 7 Jahren   Friedhofsanlage (Gebühr für die Grabnutzung)                                                190,00 € Grabherstellung                                             235,00 € Benutzung der Leichenhalle                                  240,00 € Jahr 2009 Verwaltungsgebühr Grabpflege (Entgelt) Sonstige Kosten/Gebühren                                    150,00 € Zusammen:                          815,00 € Nutzung und Unterhaltung der Friedhofsanlage (Gebühr für die Grabnutzung)                                                190,00 € 235,00 € Jahr 2010 Grabherstellung Benutzung der Leichenhalle                                  240,00 € Verwaltungsgebühr Grabpflege (Entgelt) Sonstige Kosten/Gebühren                                    150,00 € Zusammen:                          815,00 €
34

Übernahme von Bestattungskosten nach § 74 SGB XII hier: Abfrage bei den saarländischen Städten und Gemeinden zur Höhe der Gebühren, die aufgrund der Friedhofs- und Bestattungsgebührensatzung jeweils anfallen Stadt/Gemeinde:                        Grabart            Rasengrab für    Erdgrab für      Familiengrab für    Urnenerdgrab       Urnenbeile-      Anonymes Urnen-   1. Bestattung     2. Bestattung         Sonstige (Ruhezeit)            Sargbe-         Sargbe-        Sargbe-stattung       (20 Jahre)     gung im (Sarg-)       rasengrab        in Urnen-         in Urnen-        Bestattungsart Schmelz                                                  stattung        stattung          (25 Jahre)                           Erdgrab                           wandkammer        wandkammer         (Benennung der (20 Jahre)      (25 Jahre)                                           (mind. 15 Jahre                        (20 Jahre)        (20 Jahre)        jeweiligen Art) Gebühr (bzw. Entgelt)                                                                                        Restruhezeit) Nutzung und Unterhaltung der Friedhofsanlage (Gebühr für die                                                 pro Jahr                                                                                   pro Jahr Grabnutzung)                              500,00 €          500,00 €             20,00 €         500,00 €                                               300,00 €            15,00 € Grabherstellung                           576,00 €          608,00 €           711,00 €          204,00 €           265,00 €                            383,00 €           49,00 € Jahr 2009 pro Tag           pro Tag            pro Tag           pro Tag            pro Tag           pro Tag           pro Tag           pro Tag Benutzung der Leichenhalle                107,00 €          107,00 €           107,00 €          107,00 €           107,00 €          107,00 €          107,00 €          107,00 € Verwaltungsgebühr Grabpflege (Entgelt)                     1.872,00 € Sonstige Kosten/Gebühren Zusammen: Nutzung und Unterhaltung der Friedhofsanlage (Gebühr für die                                                 pro Jahr                                                                                   pro Jahr Grabnutzung)                              500,00 €          500,00 €             20,00 €         500,00 €                                               300,00 €            15,00 € 576,00 €          608,00 €           711,00 €          204,00 €           265,00 €                            383,00 €           49,00 € Jahr 2010 Grabherstellung pro Tag           pro Tag            pro Tag           pro Tag            pro Tag           pro Tag           pro Tag           pro Tag Benutzung der Leichenhalle                107,00 €          107,00 €           107,00 €          107,00 €           107,00 €          107,00 €          107,00 €          107,00 € Verwaltungsgebühr Grabpflege (Entgelt)                     1.872,00 € Sonstige Kosten/Gebühren Zusammen: Einzelgebühren für      Nutzung und Unterhaltung der Kinder unter 5 Jahren   Friedhofsanlage (Gebühr für die Grabnutzung)                                                500,00 € Grabherstellung                                             260,00 € pro Tag Benutzung der Leichenhalle                                  107,00 € Verwaltungsgebühr Jahr 2009 Grabpflege (Entgelt) Sonstige Kosten/Gebühren Nutzung und Unterhaltung der Friedhofsanlage (Gebühr für die Grabnutzung)                                                500,00 € Grabherstellung                                             260,00 € Jahr 2010 pro Tag Benutzung der Leichenhalle                                  107,00 € Verwaltungsgebühr Grabpflege (Entgelt) Sonstige Kosten/Gebühren Zusammen:
35

Übernahme von Bestattungskosten nach § 74 SGB XII hier: Abfrage bei den saarländischen Städten und Gemeinden zur Höhe der Gebühren, die aufgrund der Friedhofs- und Bestattungsgebührensatzung jeweils anfallen Stadt/Gemeinde:                       Grabart            Rasengrab für    Erdgrab für      Familiengrab für   Urnenerdgrab       Urnenbeile-      Anonymes Urnen-    1. Bestattung     2. Bestattung        Sonstige (Ruhezeit)            Sargbe-         Sargbe-        Sargbe-stattung      (20 Jahre)     gung im (Sarg-)       rasengrab         in Urnen-         in Urnen-       Bestattungsart Dillingen                                                stattung        stattung          (30 Jahre)                          Erdgrab            (20 Jahre)      wandkammer        wandkammer        (Benennung der (20 Jahre)      (20 Jahre)                                          (mind. 20 Jahre                         (30 Jahre)        (20 Jahre)       jeweiligen Art) Gebühr (bzw. Entgelt)                                                                                       Restruhezeit) Nutzung und Unterhaltung der Friedhofsanlage (Gebühr für die Grabnutzung)                              433,56 €          433,56 €           650,33 €         189,50 €                             189,50 €           844,20 € 272,04 €          272,04 €           272,04 €         129,92 €           129,92 €          129,92 €           129,92 €          129,92 € Jahr 2009 Grabherstellung Benutzung der Leichenhalle                380,44 €          380,44 €           380,44 €         190,22 €           190,22 €          190,22 €           190,22 €          190,22 € Verwaltungsgebühr Grabpflege (Entgelt)                     2.068,01 €                                                                                  721,40 € Sonstige Kosten/Gebühren Zusammen:         3.154,05 €       1.086,04 €         1.302,81 €         509,64 €           320,14 €         1.231,04 €        1.164,34 €          320,14 € Nutzung und Unterhaltung der Friedhofsanlage (Gebühr für die Grabnutzung)                              498,59 €          498,59 €           747,88 €         217,93 €                             217,93 €           970,83 € Jahr 2010 Grabherstellung                           312,85 €          312,85 €           312,85 €         149,41 €           149,41 €          149,41 €           149,41 €          149,41 € Benutzung der Leichenhalle                437,51 €          437,51 €           437,51 €         218,76 €           218,76 €          218,76 €           218,76 €          218,76 € Verwaltungsgebühr Grabpflege (Entgelt)                     2.378,21 €                                                                                  829,61 € Sonstige Kosten/Gebühren Zusammen:       3.627,16 €       1.248,95 €         1.498,24 €         586,10 €           368,17 €         1.415,71 €        1.339,00 €          368,17 € Einzelgebühren für     Nutzung und Unterhaltung der Kinder unter 10 Jahren Friedhofsanlage (Gebühr für die Grabnutzung)                              262,01 €          262,01 €           650,33 €         189,50 €                             189,50 €           844,20 € Grabherstellung                           195,24 €          195,24 €           195,24 €         129,92 €           129,92 €          129,92 €           129,92 €          129,92 € Benutzung der Leichenhalle                380,44 €          380,44 €           380,44 €         190,22 €           190,22 €          190,22 €           190,22 €          190,22 € Jahr 2009 Verwaltungsgebühr Grabpflege (Entgelt)                      759,44 €                                                                                   721,40 € Sonstige Kosten/Gebühren Zusammen:       1.597,13 €         837,69 €         1.226,01 €         509,64 €           320,14 €         1.231,04 €        1.164,34 €          320,14 € Nutzung und Unterhaltung der Friedhofsanlage (Gebühr für die Grabnutzung)                              301,31 €          301,31 €           747,88 €         217,93 €                             217,93 €           970,83 € 224,53 €          224,53 €           224,53 €         149,41 €           149,41 €          149,41 €           149,41 € Jahr 2010 Grabherstellung                                                                                                                                                           149,41 € Benutzung der Leichenhalle                437,51 €          437,51 €           437,51 €         218,76 €           218,76 €          218,76 €           218,76 €          218,76 € Verwaltungsgebühr Grabpflege (Entgelt)                      873,36 €                                                                                   829,61 € Sonstige Kosten/Gebühren Zusammen:       1.836,71 €         963,35 €         1.409,92 €         586,10 €           368,17 €         1.415,71 €        1.339,00 €          368,17 €
36

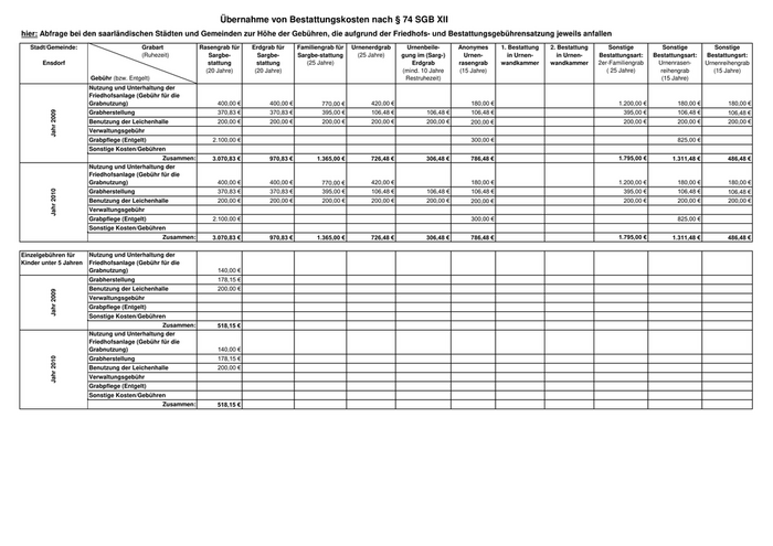
Übernahme von Bestattungskosten nach § 74 SGB XII hier: Abfrage bei den saarländischen Städten und Gemeinden zur Höhe der Gebühren, die aufgrund der Friedhofs- und Bestattungsgebührensatzung jeweils anfallen Stadt/Gemeinde:                        Grabart            Rasengrab für    Erdgrab für      Familiengrab für   Urnenerdgrab       Urnenbeile-      Anonymes       1. Bestattung   2. Bestattung       Sonstige           Sonstige           Sonstige (Ruhezeit)            Sargbe-         Sargbe-        Sargbe-stattung      (25 Jahre)     gung im (Sarg-)      Urnen-          in Urnen-       in Urnen-    Bestattungsart:     Bestattungsart:    Bestattungsrt: Ensdorf                                                  stattung        stattung          (25 Jahre)                          Erdgrab         rasengrab      wandkammer      wandkammer      2er-Familiengrab     Urnenrasen-       Urnenreihengrab (20 Jahre)      (20 Jahre)                                          (mind. 10 Jahre    (15 Jahre)                                        ( 25 Jahre)        reihengrab          (15 Jahre) Gebühr (bzw. Entgelt)                                                                                       Restruhezeit)                                                                          (15 Jahre) Nutzung und Unterhaltung der Friedhofsanlage (Gebühr für die Grabnutzung)                              400,00 €          400,00 €           770,00 €         420,00 €                          180,00 €                                          1.200,00 €           180,00 €          180,00 € 370,83 €          370,83 €           395,00 €         106,48 €           106,48 €       106,48 €                                           395,00 €            106,48 € Jahr 2009 Grabherstellung                                                                                                                                                                                                            106,48 € Benutzung der Leichenhalle                200,00 €          200,00 €           200,00 €         200,00 €           200,00 €       200,00 €                                           200,00 €            200,00 €          200,00 € Verwaltungsgebühr Grabpflege (Entgelt)                     2.100,00 €                                                                               300,00 €                                                               825,00 € Sonstige Kosten/Gebühren Zusammen:       3.070,83 €         970,83 €         1.365,00 €         726,48 €           306,48 €       786,48 €                                          1.795,00 €         1.311,48 €          486,48 € Nutzung und Unterhaltung der Friedhofsanlage (Gebühr für die Grabnutzung)                              400,00 €          400,00 €           770,00 €         420,00 €                          180,00 €                                          1.200,00 €           180,00 €          180,00 € 370,83 €          370,83 €           395,00 €         106,48 €           106,48 €       106,48 €                                           395,00 €            106,48 € Jahr 2010 Grabherstellung                                                                                                                                                                                                            106,48 € Benutzung der Leichenhalle                200,00 €          200,00 €           200,00 €         200,00 €           200,00 €       200,00 €                                           200,00 €            200,00 €          200,00 € Verwaltungsgebühr Grabpflege (Entgelt)                     2.100,00 €                                                                               300,00 €                                                               825,00 € Sonstige Kosten/Gebühren Zusammen:       3.070,83 €         970,83 €         1.365,00 €         726,48 €           306,48 €       786,48 €                                          1.795,00 €         1.311,48 €          486,48 € Einzelgebühren für      Nutzung und Unterhaltung der Kinder unter 5 Jahren   Friedhofsanlage (Gebühr für die Grabnutzung)                              140,00 € Grabherstellung                           178,15 € Benutzung der Leichenhalle                200,00 € Jahr 2009 Verwaltungsgebühr Grabpflege (Entgelt) Sonstige Kosten/Gebühren Zusammen:        518,15 € Nutzung und Unterhaltung der Friedhofsanlage (Gebühr für die Grabnutzung)                              140,00 € 178,15 € Jahr 2010 Grabherstellung Benutzung der Leichenhalle                200,00 € Verwaltungsgebühr Grabpflege (Entgelt) Sonstige Kosten/Gebühren Zusammen:        518,15 €
37

Übernahme von Bestattungskosten nach § 74 SGB XII hier: Abfrage bei den saarländischen Städten und Gemeinden zur Höhe der Gebühren, die aufgrund der Friedhofs- und Bestattungsgebührensatzung jeweils anfallen Stadt/Gemeinde:                       Grabart            Rasengrab für    Erdgrab für      Familiengrab für   Urnenerdgrab       Urnenbeile-      Anonymes Urnen-   1. Bestattung   2. Bestattung      Sonstige Bous                            (Ruhezeit)            Sargbe-         Sargbe-          (2er)Sarg-         (15 Jahre)     gung im (Sarg-)       rasengrab        in Urnen-       in Urnen-     Bestattungsart stattung        stattung         bestattung                           Erdgrab                           wandkammer      wandkammer      Anonyme Urnen- (30 Jahre)      (30 Jahre)         (30 Jahre)                       (mind. 10 Jahre                                                        beisetzung Gebühr (bzw. Entgelt)                                                                                       Restruhezeit) Nutzung und Unterhaltung der Friedhofsanlage (Gebühr für die Grabnutzung)                               251,00 €          251,00 €         1.656,00 €         528,00 €           552,00 € 452,00 €          452,00 €           452,00 €         151,00 €           151,00 €                                                            151,00 € Jahr 2009 Grabherstellung Benutzung der Leichenhalle                 156,00 €          156,00 €           156,00 €          78,00 €            78,00 € Verwaltungsgebühr Grabpflege (Entgelt)                      2.450,00 € Sonstige Kosten/Gebühren Zusammen:       3.309,00 €         859,00 €         2.264,00 €         757,00 €           781,00 €                                                            151,00 € Nutzung und Unterhaltung der Jahr 2010 Friedhofsanlage (Gebühr für die Grabnutzung)                               251,00 €          251,00 €         1.656,00 €         528,00 €           552,00 € Grabherstellung                            452,00 €          452,00 €           452,00 €         151,00 €           151,00 €                                                            151,00 € Benutzung der Leichenhalle                 156,00 €          156,00 €           156,00 €          78,00 €            78,00 € Verwaltungsgebühr Grabpflege (Entgelt)                      2.450,00 € Sonstige Kosten/Gebühren Zusammen:       3.309,00 €         859,00 €         2.264,00 €         757,00 €           781,00 €                                                            151,00 € 15 Jahre           30 Jahre Einzelgebühren für    Nutzung und Unterhaltung der Kinder unter 5 Jahren Friedhofsanlage (Gebühr für die Grabnutzung)                                                  83,00 €         1.656,00 €         528,00 €           552,00 € Grabherstellung                                              151,00 €           151,00 €         151,00 €           151,00 €                                                            151,00 € Benutzung der Leichenhalle                                   156,00 €           156,00 €          78,00 €            78,00 € Jahr 2009 Verwaltungsgebühr Grabpflege (Entgelt) Sonstige Kosten/Gebühren Zusammen:                           390,00 €         1.963,00 €         757,00 €           781,00 €                                                            151,00 € Nutzung und Unterhaltung der Friedhofsanlage (Gebühr für die Grabnutzung)                                                  83,00 €         1.656,00 €         528,00 €           552,00 € 151,00 €           151,00 €         151,00 €           151,00 €                                                            151,00 € Jahr 2010 Grabherstellung Benutzung der Leichenhalle                                   156,00 €           156,00 €          78,00 €            78,00 € Verwaltungsgebühr Grabpflege (Entgelt) Sonstige Kosten/Gebühren Zusammen:                          390,00 €         1.963,00 €         757,00 €           781,00 €                                                            151,00 €
38

Übernahme von Bestattungskosten nach § 74 SGB XII hier: Abfrage bei den saarländischen Städten und Gemeinden zur Höhe der Gebühren, die aufgrund der Friedhofs- und Bestattungsgebührensatzung jeweils anfallen Stadt/Gemeinde:                Grabart        Rasengrab für Erdgrab für Familiengrab für Urnenerdgrab Urnenbeile- Anonymes Urnen- 1. Bestattung 2. Bestattung 25 J.                                              Sonstige (Ruhezeit)         Sargbe-           Sargbe-         Sargbe-stattung       (20 Jahre)       gung im (Sarg-)            rasengrab    in Urnen-    in Urnen-   Bestattungsart Wallerfangen                                                      stattung          stattung           (20 Jahre)                             Erdgrab                             wandkammer   wandkammer    Reihengrab (20 Jahre)                                                                                                                Erdbestattg. Gebühr (bzw. Entgelt) Nutzung und Unterhaltung der Friedhofsanlage (Gebühr für die Grabnutzung)                                                440,00 €           880,00 €            250,00 €                   (1)                                                     100,00 € 420,00 €           420,00 €            180,00 €             180,00 €                                                      420,00 € Jahr 2009 Grabherstellung Benutzung der Leichenhalle                                  150,00 €           150,00 €             75,00 €              75,00 €                                                      150,00 € Verwaltungsgebühr Grabpflege (Entgelt) Sonstige Kosten/Gebühren Zusammen:                        1.010,00 €         1.450,00 €            505,00 €                                                                           670,00 € Nutzung und Unterhaltung der Friedhofsanlage (Gebühr für die Grabnutzung)                                                440,00 €           880,00 €            250,00 €                   (1)                                                     100,00 € Jahr 2010 Grabherstellung                                             420,00 €           420,00 €            180,00 €             180,00 €                                                      420,00 € Benutzung der Leichenhalle                                  150,00 €           150,00 €             75,00 €              75,00 €                                                      150,00 € Verwaltungsgebühr Grabpflege (Entgelt) Sonstige Kosten/Gebühren Zusammen:                        1.010,00 €         1.450,00 €            505,00 €                                                                           670,00 € Einzelgebühren für                Nutzung und Unterhaltung der Kinder unter 5 Jahren             Friedhofsanlage (Gebühr für die Grabnutzung)                                                250,00 € Grabherstellung                                             200,00 € Benutzung der Leichenhalle                                  150,00 € Jahr 2009 Verwaltungsgebühr Grabpflege (Entgelt) Sonstige Kosten/Gebühren Zusammen:                          600,00 € Nutzung und Unterhaltung der Friedhofsanlage (Gebühr für die Jahr 2010 - wie 2009 Grabnutzung)                                                250,00 € Grabherstellung                                             200,00 € Benutzung der Leichenhalle                                  150,00 € Verwaltungsgebühr Grabpflege (Entgelt) Sonstige Kosten/Gebühren Zusammen:                          600,00 € (1) Gemäß § 10 Abs. 2 der Satzung über das Friedhofs- und Bestattungswesen beträgt die Ruhefrist für Erdbestattungen 20 Jahre. Bei Wiederbelegung eines Wahlgrabes ist der Zeitraum des Nutzungsrechtes mindestens in dem Umfang zu verlängern, dass unter Berücksichtigung des noch unverbrauchten Nutzungszeitraumes die gesetzliche Ruhefrist eingehalten wird. Hierbei betragen die Kosten für die Wahlgrabstätte ohne besondere Gestaltungsvorschriften je Stelle 22,00 € pro Jahr, bei 2stelligen Grabstätten somit 44,00 € pro Jahr der Verlängerung.
39

Übernahme von Bestattungskosten nach § 74 SGB XII hier: Abfrage bei den saarländischen Städten und Gemeinden zur Höhe der Gebühren, die aufgrund der Friedhofs- und Bestattungsgebührensatzung jeweils anfallen Stadt/Gemeinde:                        Grabart            Rasengrab für   Erdgrab für      Familiengrab für   Urnenerdgrab       Urnenbeile-      Anonymes Urnen-   1. Bestattung     2. Bestattung        Sonstige (Ruhezeit)           Sargbe-         Sargbe-        Sargbe-stattung      (15 Jahre)     gung im (Sarg-)       rasengrab        in Urnen-         in Urnen-       Bestattungsart Rehlingen-                                               stattung        stattung          (30 Jahre)                          Erdgrab                           wandkammer        wandkammer        (Benennung der Siersburg                                                               (30 Jahre)                                          (mind. 15 Jahre                        (15 Jahre)        (15 Jahre)       jeweiligen Art) Gebühr (bzw. Entgelt)                                                                                      Restruhezeit) Nutzung und Unterhaltung der Friedhofsanlage (Gebühr für die Grabnutzung)                                               420,00 €           995,00 €         350,00 €                                             1.147,00 € 627,00 €           627,00 €         180,00 €           180,00 €                                              125,00 € Jahr 2009 Grabherstellung Benutzung der Leichenhalle                                 350,00 €           350,00 €         330,00 €           330,00 €                            330,00 €          330,00 € Verwaltungsgebühr                                            6,10 €             6,10 €           6,10 €             6,10 €                              6,10 €            6,10 € Grabpflege (Entgelt) Sonstige Kosten/Gebühren Zusammen:                       1.403,10 €         1.978,10 €         866,10 €           516,10 €                          1.483,10 € Nutzung und Unterhaltung der Friedhofsanlage (Gebühr für die Grabnutzung)                                               420,00 €           995,00 €         350,00 €                                             1.147,00 € Jahr 2010 Grabherstellung                                            627,00 €           627,00 €         180,00 €           180,00 €                                              125,00 € Benutzung der Leichenhalle                                 350,00 €           350,00 €         330,00 €           330,00 €                            330,00 €          330,00 € Verwaltungsgebühr                                            6,10 €             6,10 €           6,10 €             6,10 €                              6,10 €            6,10 € Grabpflege (Entgelt) Sonstige Kosten/Gebühren Zusammen:                       1.403,10 €         1.978,10 €         866,10 €           516,10 €                          1.483,10 € Einzelgebühren für      Nutzung und Unterhaltung der Kinder unter 6 Jahren   Friedhofsanlage (Gebühr für die Grabnutzung)                                               200,00 € Grabherstellung                                            390,00 € Benutzung der Leichenhalle                                 350,00 € Jahr 2009 Verwaltungsgebühr                                            6,10 € Grabpflege (Entgelt) Sonstige Kosten/Gebühren Zusammen:                         946,10 € Nutzung und Unterhaltung der Friedhofsanlage (Gebühr für die Grabnutzung)                                               200,00 € 390,00 € Jahr 2010 Grabherstellung Benutzung der Leichenhalle                                 350,00 € Verwaltungsgebühr                                            6,10 € Grabpflege (Entgelt) Sonstige Kosten/Gebühren Zusammen:                         946,10 €
40

Zur nächsten Seite