Sozialbestattungen nach § 74 SGB XII im Saarland

/ 90
PDF herunterladen
Übernahme von Bestattungskosten nach § 74 SGB XII hier: Abfrage bei den saarländischen Städten und Gemeinden zur Höhe der Gebühren, die aufgrund der Friedhofs- und Bestattungsgebührensatzung jeweils anfallen Stadt/Gemeinde:                        Grabart              Rasengrab für      Erdgrab für      Familiengrab für   Urnenerdgrab      Urnenbeile-      Anonymes Urnen-   1. Bestattung    2. Bestattung        Sonstige (Ruhezeit)              Sargbe-           Sargbe-          (2er)Sarg-         (15 Jahre)    gung im (Sarg-)       rasengrab        in Urnen-        in Urnen-       Bestattungsart St. Wendel                                                  stattung          stattung         bestattung                          Erdgrab            (15 Jahre)     wandkammer       wandkammer        (Erdbestattung (30 Jahre)        (30 Jahre)         (30 Jahre)                      (mind. 15 Jahre                        (15 Jahre)       (15 Jahre)        anonymes Gebühr (bzw. Entgelt)                                                                                          Restruhezeit)                                                            Einzelgrab) Nutzung und Unterhaltung der Friedhofsanlage (Gebühr für die Grabnutzung)                                 435,00 €           435,00 €         1.687,00 €        251,00 €                             275,00 €         600,00 €    55,00 €/Jahr          1.935,00 € 460,00 €           460,00 €           460,00 €        164,00 €           164,00 €          164,00 €          45,00 €           45,00 €         460,00 € Jahr 2009 Grabherstellung Benutzung der Leichenhalle                   261,00 €           261,00 €          261,00 €         261,00 €           261,00 €          261,00 €         261,00 €          261,00 €         261,00 € Verwaltungsgebühr (1) Grabpflege (Entgelt)                       3.068,00 €                                                                                                    375,00 € Trittplatten                                                     66,00 €                            66,00 € Zusammen:         4.224,00 €         1.222,00 €         2.408,00 €        742,00 €          425,00 €           700,00 €       1.281,00 €                          2.656,00 € Nutzung und Unterhaltung der Friedhofsanlage (Gebühr für die Grabnutzung)                                 435,00 €           435,00 €         1.687,00 €        251,00 €                             275,00 €         600,00 €    55,00 €/Jahr          1.935,00 € 460,00 €           460,00 €           460,00 €        164,00 €           164,00 €          164,00 €          45,00 €           45,00 €         460,00 € Jahr 2010 Grabherstellung Benutzung der Leichenhalle                   261,00 €           261,00 €          261,00 €         261,00 €           261,00 €          261,00 €         261,00 €          261,00 €         261,00 € Verwaltungsgebühr Grabpflege (Entgelt)                       3.068,00 €                                                                                                    375,00 € Trittplatten                                                     66,00 €                            66,00 € Zusammen:        4.224,00 €         1.222,00 €         2.408,00 €        742,00 €          425,00 €           700,00 €       1.281,00 €                          2.656,00 € Einzelgebühren für      Nutzung und Unterhaltung der Kinder unter 6 Jahren   Friedhofsanlage (Gebühr für die Grabnutzung)                                 138,00 € Grabherstellung                               77,00 € Benutzung der Leichenhalle                   261,00 € Jahr 2009 Verwaltungsgebühr (1) Grabpflege (Entgelt) Trittplatten                                  66,00 € Zusammen:           542,00 € Nutzung und Unterhaltung der Friedhofsanlage (Gebühr für die Grabnutzung)                                 138,00 € 77,00 € Jahr 2010 Grabherstellung Benutzung der Leichenhalle                   261,00 € Verwaltungsgebühr (1) Grabpflege (Entgelt) Trittplatten                                  66,00 € Zusammen:          542,00 € (1) Verwaltungsgebühr wird gesondert erhoben: 10,00 € für Beurkundung
51

Übernahme von Bestattungskosten nach § 74 SGB XII hier: Abfrage bei den saarländischen Städten und Gemeinden zur Höhe der Gebühren, die aufgrund der Friedhofs- und Bestattungsgebührensatzung jeweils anfallen Stadt/Gemeinde:                      Grabart                Rasengrab           Erdgrab        Familiengrab         Urnenerdgrab      Urnenbeile-     Anonymes Urnen-   1. Bestattung    2. Bestattung          Sonstige (Ruhezeit)             für Sargbe-       für Sargbe-       für Sargbe-           (30 Jahre)    gung im (Sarg-)      rasengrab        in Urnen-        in Urnen-         Bestattungsart: Tholey                                                    stattung          stattung          stattung                             Erdgrab           (30 Jahre)     wandkammer       wandkammer            Bepflanztes (30 Jahre)        (30 Jahre)        ( 30 Jahre)                        (mind. 15 Jahre                       (15 Jahre)       (15 Jahre)          Urnengrab Gebühr (bzw. Entgelt)                                                          nur Zweit-                         Restruhezeit)                                                              (15 Jahre) bestattung Nutzung und Unterhaltung der Friedhofsanlage (Gebühr für die                                                       39,00 €                                                                                  30,00 € Grabnutzung)                                  717,00 €          717,00 €        pro Verl.-Jahr        358,00 €                           244,00 €         225,00 €       pro Verl.-Jahr Grabherstellung                               282,00 €          391,00 €           228,00 €           183,00 €           73,00 €          73,00 €         418,00 € 363,00 €          363,00 €           363,00 €           188,00 €          188,00 €                          188,00 €          188,00 € Jahr 2009 Benutzung der Leichenhalle Verwaltungsgebühr                             113,00 €          113,00 €           113,00 €           113,00 €          113,00 €         113,00 €         113,00 €          113,00 € Grabpflege (Entgelt)                        3.100,00 €                                                                                   700,00 € Sonstige Kosten/Gebühren                       26,00 €           26,00 €             26,00 €           26,00 €           26,00 €           26,00 €          26,00 €           26,00 € Zusammen:                                   4.601,00 €        1.610,00 €                              868,00 €          400,00 €        1.156,00 €         970,00 € Bestattungspauschale für Kinder unter 7 Jahren (bitte Altersgrenze einsetzen)                                           550,00 € Nutzung und Unterhaltung der Friedhofsanlage (Gebühr für die                                                       39,00 €                                                                                  30,00 € Grabnutzung)                                  717,00 €          717,00 €        pro Verl.-Jahr        358,00 €                           244,00 €         225,00 €       pro Verl.-Jahr           180,00 € Grabherstellung                               282,00 €          391,00 €           228,00 €           183,00 €           73,00 €          73,00 €         418,00 €                                 73,00 € Jahr 2010 Benutzung der Leichenhalle                    363,00 €          363,00 €           363,00 €           188,00 €          188,00 €                          188,00 €          188,00 €              188,00 € Verwaltungsgebühr                             113,00 €          113,00 €           113,00 €           113,00 €          113,00 €         113,00 €         113,00 €          113,00 €              113,00 € Grabpflege (Entgelt)                        3.100,00 €                                                                                   700,00 €                                                 850,00 € Sonstige Kosten/Gebühren                       26,00 €           26,00 €             26,00 €           26,00 €           26,00 €           26,00 €          26,00 €           26,00 €              26,00 € Zusammen:                                   4.601,00 €        1.610,00 €                              868,00 €          400,00 €        1.156,00 €         970,00 €                             1.430,00 € Bestattungspauschale für Kinder unter 7 Jahren (bitte Altersgrenze einsetzen)                                           550,00 € Einzelge bühren für   Nutzung und Unterhaltung der Kinder unter ___      Friedhofsanlage (Gebühr für die Jahren                Grabnutzung) Grabherstellung Benutzung der Leichenhalle Jahr 2009 Verwaltungsgebühr Grabpflege (Entgelt) Sonstige Kosten/Gebühren Zusammen: Nutzung und Unterhaltung der Friedhofsanlage (Gebühr für die Grabnutzung) Jahr 2010 Grabherstellung Benutzung der Leichenhalle Verwaltungsgebühr Grabpflege (Entgelt) Sonstige Kosten/Gebühren Zusammen:
52

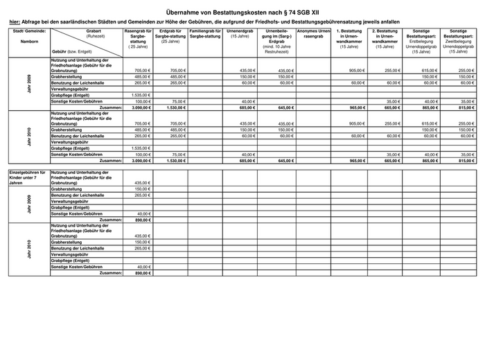
Übernahme von Bestattungskosten nach § 74 SGB XII hier: Abfrage bei den saarländischen Städten und Gemeinden zur Höhe der Gebühren, die aufgrund der Friedhofs- und Bestattungsgebührensatzung jeweils anfallen Stadt/ Gemeinde:                      Grabart            Rasengrab für   Erdgrab für   Familiengrab für   Urnenerdgrab       Urnenbeile-      Anonymes Urnen-   1. Bestattung    2. Bestattung       Sonstige           Sonstige (Ruhezeit)            Sargbe-    Sargbe-stattung Sargbe-stattung      (15 Jahre)     gung im (Sarg-)       rasengrab        in Urnen-        in Urnen-      Bestattungsart:    Bestattungsart: Namborn                                                stattung       (25 Jahre)                                          Erdgrab                           wandkammer       wandkammer         Erstbelegung      Zweitbelegung ( 25 Jahre)                                                      (mind. 10 Jahre                        (15 Jahre)       (15 Jahre)     Urnendoppelgrab    Urnendoppelgrab Gebühr (bzw. Entgelt)                                                                                   Restruhezeit)                                                            (15 Jahre)         (15 Jahre) Nutzung und Unterhaltung der Friedhofsanlage (Gebühr für die Grabnutzung)                             705,00 €         705,00 €                         435,00 €            435,00 €                           905,00 €         255,00 €          615,00 €           255,00 € 485,00 €         485,00 €                         150,00 €            150,00 €                                                              150,00 €           150,00 € Jahr 2009 Grabherstellung Benutzung der Leichenhalle               265,00 €         265,00 €                           60,00 €            60,00 €                            60,00 €          60,00 €           60,00 €            60,00 € Verwaltungsgebühr Grabpflege (Entgelt)                    1.535,00 € Sonstige Kosten/Gebühren                  100,00 €         75,00 €                          40,00 €                                                                 35,00 €            40,00 €           35,00 € Zusammen:       3.090,00 €       1.530,00 €                        685,00 €            645,00 €                           965,00 €         665,00 €           865,00 €          815,00 € Nutzung und Unterhaltung der Friedhofsanlage (Gebühr für die Grabnutzung)                             705,00 €         705,00 €                         435,00 €            435,00 €                           905,00 €         255,00 €          615,00 €           255,00 € 485,00 €         485,00 €                         150,00 €            150,00 €                                                              150,00 €           150,00 € Jahr 2010 Grabherstellung Benutzung der Leichenhalle               265,00 €         265,00 €                           60,00 €            60,00 €                            60,00 €          60,00 €           60,00 €            60,00 € Verwaltungsgebühr Grabpflege (Entgelt)                    1.535,00 € Sonstige Kosten/Gebühren                  100,00 €         75,00 €                          40,00 €                                                                 35,00 €            40,00 €           35,00 € Zusammen:      3.090,00 €       1.530,00 €                        685,00 €            645,00 €                           965,00 €         665,00 €           865,00 €          815,00 € Einzelgebühren für   Nutzung und Unterhaltung der Kinder unter 7       Friedhofsanlage (Gebühr für die Jahren               Grabnutzung)                             435,00 € Grabherstellung                          150,00 € Benutzung der Leichenhalle               265,00 € Jahr 2009 Verwaltungsgebühr Grabpflege (Entgelt) Sonstige Kosten/Gebühren                   40,00 € Zusammen:         890,00 € Nutzung und Unterhaltung der Friedhofsanlage (Gebühr für die Grabnutzung)                             435,00 € 150,00 € Jahr 2010 Grabherstellung Benutzung der Leichenhalle               265,00 € Verwaltungsgebühr Grabpflege (Entgelt) Sonstige Kosten/Gebühren                   40,00 € Zusammen:        890,00 €
53

Übernahme von Bestattungskosten nach § 74 SGB XII hier: Abfrage bei den saarländischen Städten und Gemeinden zur Höhe der Gebühren, die aufgrund der Friedhofs- und Bestattungsgebührensatzung jeweils anfallen Stadt/ Gemeinde:                      Grabart           Rasengrab für    Erdgrab für     Familiengrab   Urnenerdgrab      Urnenbeile-     (Anonymes)     1. Bestattung   2. Bestattung      Sonstige (Ruhezeit)           Sargbe-         Sargbe-        für Sargbe-     (20 Jahre)    gung im (Sarg-)   Urnenrasen-      in Urnen-       in Urnen-     Bestattungsart Nonnweiler                                              stattung        stattung         stattung                       Erdgrab            grab       wandkammer      wandkammer      (Benennung der (25 Jahre)      (25 Jahre)                                    (mind. 10 Jahre    (20 Jahre)                                     jeweiligen Art) Gebühr (bzw. Entgelt)                                                                                Restruhezeit) Nutzung und Unterhaltung der Friedhofsanlage (Gebühr für die Grabnutzung)                              699,00 €        699,00 €                       210,00 €                         116,00 € 375,00 €        375,00 €                       185,00 €          185,00 €       185,00 € Jahr 2009 Grabherstellung Benutzung der Leichenhalle                300,00 €        300,00 €                       150,00 €          150,00 €       150,00 € Verwaltungsgebühr                          71,00 €         71,00 €                        71,00 €           71,00 €        71,00 € Grabpflege (Entgelt)                    3.120,00 €                                                                        416,00 € Sonstige Kosten/Gebühren                   38,00 €         65,00 €                        46,00 € Zusammen:       4.603,00 €      1.510,00 €                       662,00 €          406,00 €       938,00 € Nutzung und Unterhaltung der Friedhofsanlage (Gebühr für die Grabnutzung)                              699,00 €        699,00 €                       210,00 €                         116,00 € Jahr 2010 Grabherstellung                           375,00 €        375,00 €                       185,00 €          185,00 €       185,00 € Benutzung der Leichenhalle                300,00 €        300,00 €                       150,00 €          150,00 €       150,00 € Verwaltungsgebühr                          71,00 €         71,00 €                        71,00 €           71,00 €        71,00 € Grabpflege (Entgelt)                    3.120,00 €                                                                        416,00 € Sonstige Kosten/Gebühren                   38,00 €         65,00 €                        46,00 € Zusammen:       4.603,00 €      1.510,00 €                       662,00 €          406,00 €       938,00 € Einzelgebühren für   Nutzung und Unterhaltung der Kinder unter 5       Friedhofsanlage (Gebühr für die Jahren               Grabnutzung)                              315,00 €        315,00 €                       210,00 €                         116,00 € Grabherstellung                           215,00 €        215,00 €                       185,00 €          185,00 €       185,00 € Benutzung der Leichenhalle                300,00 €        300,00 €                       150,00 €          150,00 €       150,00 € Jahr 2009 Verwaltungsgebühr                          71,00 €         71,00 €                        71,00 €           71,00 €        71,00 € Grabpflege (Entgelt)                    3.120,00 €                                                                        416,00 € Sonstige Kosten/Gebühren                   38,00 €         46,00 €                        46,00 € Zusammen:       4.059,00 €        947,00 €                       662,00 €          406,00 €       938,00 € Nutzung und Unterhaltung der Friedhofsanlage (Gebühr für die Grabnutzung)                              315,00 €        315,00 €                       210,00 €                         116,00 € Jahr 2010 Grabherstellung                           215,00 €        215,00 €                       185,00 €          185,00 €       185,00 € Benutzung der Leichenhalle                300,00 €        300,00 €                       150,00 €          150,00 €       150,00 € Verwaltungsgebühr                          71,00 €         71,00 €                        71,00 €           71,00 €        71,00 € Grabpflege (Entgelt)                    3.120,00 €                                                                        416,00 € Sonstige Kosten/Gebühren                   38,00 €         46,00 €                        46,00 € Zusammen:       4.059,00 €        947,00 €                       662,00 €          406,00 €       938,00 €
54

Übernahme von Bestattungskosten nach § 74 SGB XII hier: Abfrage bei den saarländischen Städten und Gemeinden zur Höhe der Gebühren, die aufgrund der Friedhofs- und Bestattungsgebührensatzung jeweils anfallen Stadt/Gemeinde:                       Grabart             Rasengrab für     Erdgrab für      Familiengrab für   Urnenerdgrab        Urnenbeile-      Anonymes Urnen-   1. Bestattung   2. Bestattung     Sonstige (Ruhezeit)         Sargbe-stattung      Sargbe-           Sargbe-           (15 Jahre)      gung im (Sarg-)       rasengrab        in Urnen-       in Urnen-     Bestattungsart Oberthal                                                 (25 Jahre)        stattung          stattung                             Erdgrab                           wandkammer      wandkammer       Urnenzweit- Gebühr (bzw. Entgelt)                                    (25 Jahre)                                                                                                                  belegung Nutzung und Unterhaltung der Friedhofsanlage (Gebühr für die                                                                                                                                                     pro Jahr 20,00 € Grabnutzung)                                 659,00 €          659,00 €                             287,00 €                                                                          max. 280,00 € 367,00 €          367,00 €                             175,00 €           175,00 €                                                            175,00 € Jahr 2009 Grabherstellung Benutzung der Leichenhalle              max. 274,00 €     max. 274,00 €                        max. 274,00 €      max. 274,00 €                                                       max. 274,00 € Verwaltungsgebühr Grabpflege (Entgelt)                        2.010,00 € Sonstige Kosten/Gebühren                      30,00 € Zusammen:          3.340,00 €       1.300,00 €                             736,00 €           449,00 €                                                            729,00 € Nutzung und Unterhaltung der Friedhofsanlage (Gebühr für die                                                                                                                                                     pro Jahr 20,00 € Grabnutzung)                                 659,00 €          659,00 €                             287,00 €                                                                          max. 280,00 € 367,00 €          367,00 €                             175,00 €           175,00 €                                                            175,00 € Jahr 2010 Grabherstellung Benutzung der Leichenhalle               max. 274,00€     max. 274,00 €                        max. 274,00 €      max. 274,00 €                                                       max. 274,00 € Verwaltungsgebühr Grabpflege (Entgelt)                        2.010,00 € Sonstige Kosten/Gebühren                      30,00 € Zusammen:         3.340,00 €       1.300,00 €                             736,00 €           449,00 €                                                            729,00 € Einzelgebühren für    Nutzung und Unterhaltung der Kinder unter 6 Jahren Friedhofsanlage (Gebühr für die                                                                                                                                                     pro Jahr 20,00 € Grabnutzung)                                 659,00 €          659,00 €                             287,00 €                                                                          max. 280,00 € Grabherstellung                              175,00 €          175,00 €                             175,00 €           175,00 €                                                            175,00 € Benutzung der Leichenhalle              max. 274,00 €     max. 274,00 €                        max. 274,00 €      max. 274,00 €                                                       max. 274,00 € Jahr 2009 Verwaltungsgebühr Grabpflege (Entgelt)                        2.010,00 € Sonstige Kosten/Gebühren                      30,00 € Zusammen:          3.148,00 €       1.108,00 €                             736,00 €           449,00 €                                                            729,00 € Nutzung und Unterhaltung der Friedhofsanlage (Gebühr für die                                                                                                                                                     pro Jahr 20,00 € Grabnutzung)                                 659,00 €          659,00 €                             287,00 €                                                                          max. 280,00 € 175,00 €          175,00 €                             175,00 €           175,00 €                                                            175,00 € Jahr 2010 Grabherstellung Benutzung der Leichenhalle              max. 274,00 €     max. 274,00 €                        max. 274,00 €      max. 274,00 €                                                       max. 274,00 € Verwaltungsgebühr Grabpflege (Entgelt)                        2.010,00 € Sonstige Kosten/Gebühren                      30,00 € Zusammen:         3.148,00 €       1.108,00 €                             736,00 €           449,00 €                                                            729,00 €
55

Übernahme von Bestattungskosten nach § 74 SGB XII hier: Abfrage bei den saarländischen Städten und Gemeinden zur Höhe der Gebühren, die aufgrund der Friedhofs- und Bestattungsgebührensatzung jeweils anfallen Stadt/Gemeinde:                          Grabart                Rasengrab für         Erdgrab für        Familiengrab für      Urnenerdgrab        Urnenbeile-      Anonymes Urnen-   1. Bestattung     2. Bestattung        Sonstige (Ruhezeit)            Sargbe-stattung          Sargbe-          Sargbe-stattung         (20 Jahre)      gung im (Sarg-)       rasengrab         in Urnen-         in Urnen-      Bestattungsart Nohfelden                                                      (25 Jahre)            stattung            (25 Jahre)                              Erdgrab                           wandkammer        wandkammer        (Benennung der Gebühr (bzw. Entgelt)                                             (25 Jahre)                                                (mind. 15 Jahre                                                           jeweiligen Art) Restruhezeit) Nutzung und Unterhaltung der Friedhofsanlage (Gebühr für die                                                                                                                                                      Verlängerung: Grabnutzung)                                         399,00 €            399,00 €           2.650,00 €           200,00 €                                               463,00 €      23,00 €/Jahr Grabherstellung                                      399,00 €            399,00 €             466,00 €           263,00 €           263,00 € Benutzung der Leichenhalle (4)                       298,00 €            298,00 €             298,00 €            65,00 €            65,00 €                             65,00 €           65,00 € Jahr 2009 Verwaltungsgebühr 1.824,00 €/ Grabpflege (Entgelt) (1)   2.300,00 € 147,00 €/ Sonstige Kosten/Gebühren                             266,00 €/ (2)       350,00 €    (3)     145,00 €     (3)     290,00 €     (3)   145,00 € Zusammen:                                     1.241,00 €           3.704,00 €           673,00 €          328,00 €                            528,00 € Nutzung und Unterhaltung der Friedhofsanlage (Gebühr für die                                                                                                                                                      Verlängerung: Grabnutzung)                                         399,00 €            399,00 €           2.650,00 €           200,00 €                                               463,00 €      23,00 €/Jahr Grabherstellung                                      399,00 €            399,00 €              466,00 €          263,00 €           263,00 € Benutzung der Leichenhalle                           298,00 €            298,00 €             298,00 €            65,00 €            65,00 €                             65,00 €           65,00 € Jahr 2010 Verwaltungsgebühr 1.824,00 €/ Grabpflege (Entgelt) (1)   2.300,00 € 147,00 €/ Sonstige Kosten/Gebühren                             266,00 €/ (2)       350,00 €    (3)     145,00 €     (3)     290,00 €     (3)   145,00 € Zusammen:                                  1.241,00 €           3.704,00 €           673,00 €          328,00 €                            528,00 € 15 Jahre Einzelgebühren für      Nutzung und Unterhaltung der Kinder unter 7 Jahren   Friedhofsanlage (Gebühr für die                                                                                                                                                      Verlängerung: Grabnutzung)                                         399,00 €            200,00 €                                200,00 €                                               463,00 €      23,00 €/Jahr Grabherstellung                                      263,00 €            263,00 €                                263,00 €           263,00 € Benutzung der Leichenhalle (4)                       298,00 €            298,00 €                                 65,00 €            65,00 €                             65,00 €           65,00 € Verwaltungsgebühr Jahr 2009 1.824,00 €/ Grabpflege (Entgelt) (1)   2.300,00 € 147,00 €/ Sonstige Kosten/Gebühren                             266,00 €/ (2)       350,00 €    (3)     145,00 €                          (3)   145,00 € Zusammen:                                                               906,00 €                                 673,00 €          328,00 €                            528,00 € Nutzung und Unterhaltung der Friedhofsanlage (Gebühr für die                                                                                                                                                      Verlängerung: Grabnutzung)                                         399,00 €            200,00 €                                200,00 €                                               463,00 €      23,00 €/Jahr Grabherstellung                                      263,00 €            263,00 €                                263,00 €           263,00 € Benutzung der Leichenhalle (4)                       298,00 €            298,00 €                                 65,00 €            65,00 €                             65,00 €           65,00 € Jahr 2010 Verwaltungsgebühr 1.824,00 €/ Grabpflege (Entgelt) (1)   2.300,00 € 147,00 €/ Sonstige Kosten/Gebühren                             266,00 €/ (2)       350,00 €    (3)     145,00 €                          (3)   145,00 € Zusammen:                                   906,00 €                                 673,00 €          328,00 €                            528,00 € (1) Unterschiedliche Gestaltung auf den Friedhöfen (2) Erstmalige Anlegung (3) Verlegung von Trittplatten (4) Nutzung bis zu 2 Tagen, jeder weitere Tag 75,00 €, Nutzung der Halle nur für die Trauerfeier 65,00 €
56

Übernahme von Bestattungskosten nach § 74 SGB XII hier: Abfrage bei den saarländischen Städten und Gemeinden zur Höhe der Gebühren, die aufgrund der Friedhofs- und Bestattungsgebührensatzung jeweils anfallen Stadt/Gemeinde:                         Grabart           Rasengrab für   Erdgrab für     Familiengrab für   Urnenerdgrab      Urnenbeile-     Anonymes      1. Bestattung    2. Bestattung       Sonstige (Ruhezeit)          Sargbe-         Sargbe-          Sargbe-           (15 Jahre)    gung im (Sarg-)     Urnen-        in Urnen-        in Urnen-      Bestattungsart Marpingen                                                stattung        stattung         stattung                           Erdgrab        rasengrab     wandkammer       wandkammer       (Benennung der (25 Jahre)      (25 Jahre)                                        (mind. 15 Jahre   (15 Jahre)      (15 Jahre)       (15 Jahre)      jeweiligen Art) Gebühr (bzw. Entgelt)                                                                                    Restruhezeit) Nutzung und Unterhaltung der Friedhofsanlage (Gebühr für die Grabnutzung)                                            1.100,00 €                           585,00 €          460,00 €      660,00 €        685,00 €         460,00 € 405,00 €                           157,00 €                         50,00 €          50,00 € Jahr 2009 Grabherstellung Benutzung der Leichenhalle                190,00 €        190,00 €                           190,00 €          190,00 €      190,00 €        190,00 €         190,00 € Verwaltungsgebühr Grabpflege (Entgelt) Sonstige Kosten/Gebühren Zusammen:       3.030,00 €      1.695,00 €                           932,00 €          650,00 €      900,00 €         925,00 €         650,00 € Nutzung und Unterhaltung der Friedhofsanlage (Gebühr für die Grabnutzung)                                            1.100,00 €                           585,00 €          460,00 €      660,00 €        685,00 €         460,00 € 405,00 €                           157,00 €                         50,00 €          50,00 € Jahr 2010 Grabherstellung Benutzung der Leichenhalle                190,00 €        190,00 €                           190,00 €          190,00 €      190,00 €        190,00 €         190,00 € Verwaltungsgebühr Grabpflege (Entgelt) Sonstige Kosten/Gebühren Zusammen:      3.030,00 €      1.695,00 €                           932,00 €          650,00 €      900,00 €         925,00 €         650,00 € Einzelgebühren für      Nutzung und Unterhaltung der Kinder unter 6 Jahren   Friedhofsanlage (Gebühr für die Grabnutzung) Grabherstellung                                           790,00 € Benutzung der Leichenhalle                                190,00 € Jahr 2009 Verwaltungsgebühr Grabpflege (Entgelt) Sonstige Kosten/Gebühren Zusammen:                         980,00 € Nutzung und Unterhaltung der Friedhofsanlage (Gebühr für die Grabnutzung) 790,00 € Jahr 2010 Grabherstellung Benutzung der Leichenhalle                                190,00 € Verwaltungsgebühr Grabpflege (Entgelt) Sonstige Kosten/Gebühren Zusammen:                        980,00 €
57

Übernahme von Bestattungskosten nach § 74 SGB XII hier: Abfrage bei den saarländischen Städten und Gemeinden zur Höhe der Gebühren, die aufgrund der Friedhofs- und Bestattungsgebührensatzung jeweils anfallen Stadt/Gemeinde:                        Grabart            Rasengrab für   Erdgrab für     Familiengrab für   Urnenerdgrab       Urnenbeile-      Anonymes Urnen-   1. Bestattung    2. Bestattung      Sonstige (Ruhezeit)           Sargbe-         Sargbe-       Sargbe-stattung                     gung im (Sarg-)       rasengrab        in Urnen-        in Urnen-     Bestattungsart Freisen                                                 stattung       stattung                                              Erdgrab                           wandkammer       wandkammer      (Benennung der Gebühr (bzw. Entgelt)                                                                                                                                                           jeweiligen Art) Nutzung und Unterhaltung der Friedhofsanlage (Gebühr für die Grabnutzung)                              765,00 €        765,00 €                           585,00 €           380,00 €                            880,00 € 515,00 €        515,00 €                           360,00 €           360,00 € Jahr 2009 Grabherstellung Benutzung der Leichenhalle                270,00 €        270,00 €                           160,00 €            160,00 €                           160,00 € Verwaltungsgebühr                                          92,00 €                            92,00 € Grabpflege (Entgelt)                    2.058,00 € Sonstige Kosten/Gebühren                   15,00 €         15,00 €                            15,00 € Zusammen:      3.623,00 €      1.657,00 €                          1.212,00 €          900,00 €                          1.040,00 € Nutzung und Unterhaltung der Friedhofsanlage (Gebühr für die Grabnutzung)                              765,00 €        765,00 €                           585,00 €           380,00 €                            880,00 € 515,00 €        515,00 €                           360,00 €           360,00 € Jahr 2010 Grabherstellung Benutzung der Leichenhalle                270,00 €        270,00 €                           160,00 €            160,00 €                           160,00 € Verwaltungsgebühr                                          92,00 €                            92,00 € Grabpflege (Entgelt)                    2.058,00 € Sonstige Kosten/Gebühren                   15,00 €         15,00 €                            15,00 € Zusammen:      3.623,00 €      1.657,00 €                          1.212,00 €          900,00 €                          1.040,00 € Einzelgebühren für      Nutzung und Unterhaltung der Kinder unter 8 Jahren   Friedhofsanlage (Gebühr für die Grabnutzung)                              585,00 € Grabherstellung                           360,00 € Benutzung der Leichenhalle                270,00 € Jahr 2009 Verwaltungsgebühr                         472,00 € Grabpflege (Entgelt) Sonstige Kosten/Gebühren                   15,00 € Zusammen:      1.702,00 € Nutzung und Unterhaltung der Friedhofsanlage (Gebühr für die Grabnutzung)                              585,00 € 360,00 € Jahr 2010 Grabherstellung Benutzung der Leichenhalle                270,00 € Verwaltungsgebühr                         472,00 € Grabpflege (Entgelt) Sonstige Kosten/Gebühren                   15,00 € Zusammen:      1.702,00 €
58

Anlage 3 Gebührensatzungen und Tabellen Landeshauptstadt Saarbrücken Heusweiler Friedrichsthal - Fassung ab Juni 2006 - Fassung ab Juli 2010 Blieskastel Wadgassen Eppelborn Perl
59

Gebührenverzeichnis zu § 2 der Satzung über die Erhebung von Gebühren für die Benutzung der Friedhöfe und Bestattungseinrichtungen der Landeshauptstadt Saarbrücken (Friedhofs- und Bestattungs- Gebühren - Satzung - FBGS - ) vom 14. Dezember 1993 in der Fassung der 29. Änderungssatzung vom 21.06.2011 - gültig ab 30.06.2011 I. Grabnutzungsgebühren Die Grabnutzungsgebühren beinhalten in Wesentlichen anteilig die Kosten für - Planung und Bau von Friedhofsanlagen einschl. der Nutzung der gesamten Infrastruktur, u.a. - Wege, Treppen und Brunnenanlagen - Wasser- und Kanalnetz, Abfallcontainer - Betriebsgebäude - Grunderwerb - rahmende Grünanlagen - Bau von Grabfeldern bzw. Wiederbelegungsflächen - Pflege und Unterhaltung der Friedhofsanlagen einschl. der gesamten Infrastruktur für die Laufzeiten von 20 Jahren bei Reihengrabstätten und bei Wahlgrabstätten (Rabattengrab, Tiefgrab, oberirdische und unterirdische Grabkammer, Urnenwand, Baumgrab) entsprechend der Nutzungszeiten - getrennte Abfallentsorgung, Sicherheitsarbeiten an Denkmälern und Bäumen, den Bezug von Wasser, Benutzung Kanal, Abwassergebühren, Energie und Wachdienst 1. Bei Körperbeisetzungen 1.1 in Rabattengräber - Erwerb/Verlängerung des Nutzungsrecht für 1 Jahr                                                                 51,00 - Erwerb des Nutzungsrechtes auf 20 Jahre -                                        je Stelle                    1.020,00 - Erwerb des Nutzungsrechtes auf 25 Jahre -                                        je Stelle                    1.275,00 - Erwerb des Nutzungsrechtes auf 30 Jahre -                                        je Stelle                    1.530,00 1.2 in Tiefgräber (1 Stelle für 2 Beisetzungen) - Erwerb/Verlängerung des Nutzungsrecht für 1 Jahr                                                                 67,00 - Erwerb des Nutzungsrechtes auf 20 Jahre -                                                                     1.340,00 - Erwerb des Nutzungsrechtes auf 25 Jahre -                                                                     1.675,00 - Erwerb des Nutzungsrechtes auf 30 Jahre -                                                                     2.010,00 1.3 in Rabattengräber in besonderer Lage als Partnergräber (2 Stellen) - Erwerb/Verlängerung des Nutzungsrechtes für 1 Jahr                               je Stelle                       51,00 - Erwerb des Nutzungsrechtes auf 20 Jahre -                                        je Stelle                    1.020,00 Sind Körperbeisetzungsgräber durch allgemeine Beschränkungen nur noch mit Urnen belegbar, erfolgt eine Senkung der Gebühr um 50 %                                              - aufgerundet auf volle € - 1.4 in oberirdische Grabkammern einschließlich Verschlussplatten - Erwerb/Verlängerung des Nutzungsrechtes für 1 Jahr                                                              133,00 - Erwerb des Nutzungsrechtes auf 20 Jahre - je Grabkammer                                                       2.660,00 - Erwerb des Nutzungsrechtes auf 25 Jahre - je Grabkammer                                                       3.325,00 - Erwerb des Nutzungsrechtes auf 30 Jahre - je Grabkammer                                                       3.990,00 1.5 in unterirdische Grabkammern - Erwerb/Verlängerung des Nutzungsrechtes 1. Stelle für 1 Jahr                                                     97,00 - Erwerb des Nutzungsrechtes auf 15 Jahre - 1 Stelle                                                            1.455,00 - Erwerb des Nutzungsrechtes für jede weitere zusammen erworbene daneben liegende Stelle pro Jahr                  82,00 - Erwerb des Nutzungsrechtes auf 15 Jahre - für jede weitere zusammen erworbene daneben liegende Stelle         1.230,00 1.6 in unterirdische Grabkammern als Tiefgrab - 1 Stelle für 2 Beisetzungen - Erwerb /Verlängerung des Nutzungsrechtes für 1 Jahr                                                             125,00 - Erwerb des Nutzungsrechtes auf 15 Jahre                                                                       1.875,00 1.7 in Reihengrabstätten - Überlassung für die Dauer der jeweiligen Ruhefrist - für / als - Verstorbene über 5 Jahre                                                                                        600,00 - Verstorbene über 5 Jahre mit Grabpflege - 20 Jahre                                                              600,00 - Grabpflege wird gesondert berechnet - - Verstorbene unter 5 Jahre                                                                                       170,00 - Totgeburten (Körper oder Aschen) nur Hauptfriedhof und Waldfriedhof Burbach                                      50,00 - anonymes Grab einschließlich der Einfachgrabpflege für 20 Jahre                                               1.100,00 2. Bei Aschebeisetzungen 2.1 in Urnenrabattengräber (1 Stelle für 4 Beisetzungen) - Erwerb/Verlängerung des Nutzungsrechtes für 1 Jahr                               je Stelle                       26,00 - Erwerb des Nutzungsrechtes auf 20 Jahre -                                        je Stelle                      520,00 - Erwerb des Nutzungsrechtes auf 25 Jahre -                                        je Stelle                      650,00 - Erwerb des Nutzungsrechtes auf 30 Jahre -                                        je Stelle                      780,00
60

Zur nächsten Seite