Situation unbegleiteter minderjähriger Flüchtlinge (UMF) im Saarland

/ 6
PDF herunterladen
LANDTAG DES SAARLANDES 15. Wahlperiode                               Drucksache 15/513 (15/364) 07.06.2013 ANTWORT zu der Anfrage der Abgeordneten Barbara Spaniol (DIE LINKE.) Heike Kugler (DIE LINKE.) betr.: Situation unbegleiteter minderjähriger Flüchtlinge (UMF) im Saarland Vorbemerkung der Fragestellerinnen: „Minderjährige Flüchtlinge, die ohne Eltern und Verwandte nach Deutschland einreisen, sind be- sonders starken Belastungen ausgesetzt, die viel- fältige Ursachen haben: ausweglose Situationen im Herkunftsland, Verlust familiärer Bindungen, Bruch des schulischen und beruflichen Lebenszu- sammenhanges, Gewalterfahrungen, Ausbeutung, Orientierungslosigkeit und Vereinsamung. In Deutschland angekommen, erwartet sie ein – nicht nur aufgrund von Sprachschwierigkeiten – oftmals undurchsichtiges Verfahren. Mindestens 70 % der UMF gelten nach dem ‚Bundesfachverband für unbegleitete minderjährige Flüchtlinge e. V.’ als traumatisiert. Die Situation ist zusätzlich gekennzeichnet durch einen sprunghaften Anstieg von Fallzahlen unbe- gleiteter minderjähriger Flüchtlinge in den letzten beiden Jahren, einer hohen Fluktuation und eine regional sehr unterschiedlich starke Betroffenheit der örtlichen Jugendämter. Dies macht ein Rea- gieren der Jugendämter, der freien Träger der Ju- gendhilfe sowie der Entscheidungsträger in Bund, Ländern und Kommunen erforderlich.“ Ausgegeben: 07.06.2013       (27.02.2013)
1

Drucksache 15/513 (15/364)            Landtag des Saarlandes        - 15. Wahlperiode - Wie viele Fälle unbegleiteter minderjähriger Flüchtlinge gab es in den Jahren 2011 und 2012 im Saarland? Wie verteilen sich diese auf die Landkreise? Wie viele dieser Flüchtlinge verblei- ben in den verschiedenen Landkreisen? Zu Frage 1: Nach Mitteilung des Landesverwaltungsamtes wurden im Jahr 2011 189 unbegleitete minderjährige Flüchtlinge von den zuständigen Jugendbehörden in Obhut genommen, im Jahr 2012 waren es 205 Personen. Über die Verteilung auf die Landkreise und ihren weiteren Verbleib werden keine Statistiken geführt. Hat die Landesregierung Kenntnis von Suizidver- suchen unbegleiteter minderjähriger Flüchtlinge in saarländischen Jugendschutzeinrichtungen? Wenn ja, bitte entsprechende Fallzahlen (2011, 2012 getrennt) auflisten. Sind der Landesregie- rung Suizidversuche junger Flüchtlinge im Alter von 18 - 20 Jahren, die sich in der Landesauf- nahmestelle in Lebach befinden, bekannt? Wenn ja, bitte 2011, 2012 getrennt auflisten. Zu Frage 2: Die Landesregierung hat keine Kenntnis von Suizidversuchen unbegleiteter minderjäh- riger Flüchtlinge in saarländischen Jugendschutzeinrichtungen. Dies gilt auch für die in der Landesaufnahmestelle Lebach wohnenden jungen Flüchtlinge im Alter von 18 bis 20 Jahren, die im Zeitpunkt ihrer Einreise in das Bundesgebiet minderjährig waren. Im Jahre 2012 sprang ein 20-jähriger afghanischer Flüchtling von einem Vordach des Lebacher Krankenhauses in ein ausgebreitetes Sprungtuch der Feuerwehr. Der Flücht- linge war im Zeitpunkt seiner Einreise in das Bundesgebiet 19 Jahre alt. Nach seiner Flüchtlingsanerkennung nach der Genfer Flüchtlingskonvention wurde ihm Ende No- vember 2012 eine Aufenthaltserlaubnis nach § 25 Absatz 2 des Aufenthaltsgesetzes erteilt. Wie bewertet die Landesregierung zwei Jahre nach der vollständigen Anerkennung der UN-Kin- derrechtskonvention die Forderung, dem Kindes- wohl im deutschen Recht stärker Geltung zu ver- schaffen? Zu Frage 3: Die von Deutschland im Jahre 1992 abgegebene Zusatzerklärung zur UN-Kinder- rechtskonvention hielt im Wesentlichen fest, dass die UN-Kinderrechtskonvention nicht dahin gehend ausgelegt werden dürfe, dass die widerrechtliche Einreise oder der wi- derrechtliche Aufenthalt eines minderjährigen Ausländers allein wegen dessen Minder- jährigkeit erlaubt würde. Damit sollten Fehl- und Überinterpretationen im Zusammen- hang mit der Unterzeichnung der UN-Kinderrechtskonvention vermieden werden. Die Erklärung war kein Vorbehalt, der Nachteile oder Einschränkungen für Kinder zur Folge haben sollte, sondern lediglich eine Klarstellung über die Rechtsfolgen der Konvention. -2-
2

Drucksache 15/513 (15/364)           Landtag des Saarlandes        - 15. Wahlperiode - Mit der Rücknahme dieser deklaratorischen Erklärung im Jahre 2011 sollte verdeutlicht werden, dass die Bundesrepublik Deutschland Kinderrechte ohne Vorbehalte achtet und schützt. Durch diesen Akt ist kein zusätzlicher Handlungsbedarf für Änderungen im Bereich des Aufenthalts- und Asylrechts entstanden. Die Regelungen des deut- schen Asyl- und Aufenthaltsrechts sowie des Jugendhilferechts entsprachen bereits vor der Rücknahme der Zusatzerklärung den Anforderungen der UN- Kinderrechtskonvention. Die Erfordernisse des Kindeswohls fließen nach wie vor als besonders gewichtiger Gesichtspunkt in die Entscheidungen der Landesregierung und ihrer nachgeordneten Behörden ein. Befürwortet die Landesregierung Bundesratsinitia- tiven zur Verbesserung der rechtlichen Situation von unbegleiteten minderjährigen Flüchtlingen, insbesondere im Hinblick auf die a)   Anhebung der verfahrensrechtlichen Hand- lungsfähigkeit von Asylsuchenden - 18 statt 16 Jahre - , wie u. a. von UNHCR Ende 2011 nochmals angemahnt (Aufhebung von § 80 AufenthG und § 12 Asylverfahrensgesetz (AsylVfG), Änderung von § 14 Abs. 2 Satz 3 AsylVfG) b)   Abschaffung der Abschiebehaft für Minderjäh- rige (Änderung von § 62 AufenthG, Verbot der Ab- schiebehaft für Minderjährige)? Zu Frage 4: Die Landesregierung befasst sich mit Bundesratsinitiativen, wenn sie in den Bundesrat eingebracht sind. Wie beurteilt die Landesregierung die Forderung von Fachorganisationen nach der Bestellung eines kostenlosen Rechtsbeistands durch die Familien- gerichte mit dem Wirkungskreis „asyl- und auslän- derrechtliche Vertretung“? Wie bewertet die Lan- desregierung den Vorschlag, dass die Jugendäm- ter die Bestellung eines Ergänzungspflegers re- gelhaft bei Minderjährigen beantragen sollten? Zu Frage 5: Nach § 42 Absatz 1 Satz 1 Nummer 3 des Achten Buches Sozialgesetzbuch sind die Jugendämter berechtigt und verpflichtet, ausländische Kinder oder ausländische Ju- gendliche in ihre Obhut zu nehmen, wenn diese unbegleitet nach Deutschland kom- men und sich weder Personensorge- noch Erziehungsberechtigte im Inland aufhalten. In diesen Fällen ist das Jugendamt nach § 42 Absatz 3 Satz 4 des Achten Buches So- zialgesetzbuch bereits verpflichtet, unverzüglich die Bestellung eines Vormunds oder Pflegers zu veranlassen. -3-
3

Drucksache 15/513 (15/364)           Landtag des Saarlandes       - 15. Wahlperiode - Im Übrigen ist nach § 42 Absatz 2 Satz 4 des Achten Buches Sozialgesetzbuch das Jugendamt während der Dauer der Inobhutnahme berechtigt, alle Rechtshandlungen vorzunehmen, die zum Wohl des Kindes oder Jugendlichen notwendig sind. Aufgrund dieser Bestimmungen des Achten Buches des Sozialgesetzbuches sieht die Landes- regierung keine Notwendigkeit, weitere Beistände oder weitere Pfleger einzuführen. Welche Möglichkeiten bestehen nach Ansicht der Landesregierung, dass der Regionalverband Saarbrücken im Rahmen von z. B. einmaligen Sonderzuweisungen seine gesetzlichen Aufga- ben im Bereich der Jugendhilfe sicherstellen kann? Wie wird die Landesregierung künftig betr. die „Verteilung“ minderjähriger Flüchtlinge unter Einbeziehung der örtlichen Jugendhilfe verfah- ren? Zu Frage 6: Der Regionalverband Saarbrücken erfüllt in kommunaler Selbstverwaltung die Aufga- ben, die ihm als örtlichem Träger der Jugendhilfe nach dem Achten Buch Sozialge- setzbuch - Kinder- und Jugendhilfe - auch gegenüber unbegleiteten minderjährigen Flüchtlingen in seinem Zuständigkeitsbereich obliegen. Die Kosten für die an diese Personengruppe gewährten Leistungen der Kinder- und Jugendhilfe werden nach Maßgabe des § 89d des Achten Buches Sozialgesetzbuch von den Ländern erstattet. Das Bundesverwaltungsamt bestimmt in jedem Einzelfall das erstattungspflichtige Land. Auf Grund der klaren Zuständigkeitsregelungen und des bundeseinheitlichen Erstat- tungsverfahrens im Achten Buch des Sozialgesetzbuches ist eine darüber hinausge- hende Kostenerstattung durch das Land nicht möglich. Aus Sicht der Landesregierung ist die Praxis der Entscheidungen der Jugendämter über die aufnehmende Jugend- schutzeinrichtung und damit den Aufenthaltsort des Betroffenen im Einzelfall nicht zu beanstanden. Welche Hilfemaßnahmen befürwortet die Landes- regierung auf Bundesebene? Welche konkrete Un- terstützung kann sie anbieten? Zu Frage 7: Das Bundesministerium für Familie, Senioren, Frauen und Jugend hatte mit Schreiben vom 12.12.2012 den Obersten Landesjugend- und Familienbehörden den Referenten- entwurf eines Gesetzes zur Verwaltungsvereinfachung in der Kinder- und Jugendhilfe (KJVVG-E) zur Stellungnahme übersandt. Dieser beinhaltete u. a. eine Überarbeitung bzw. Neufassung des § 89 d und des § 89 h SGB VIII mit der Zielsetzung einer Verbesserung der Planungssicherheit für die Län- der, der Verbesserung der Transparenz im Hinblick auf das Kostenerstattungsverfah- ren und der Ermöglichung eine schnelleren und leichteren Refinanzierung der Vorleis- tungen für die örtlichen Träger der öffentlichen Jugendhilfe. -4-
4

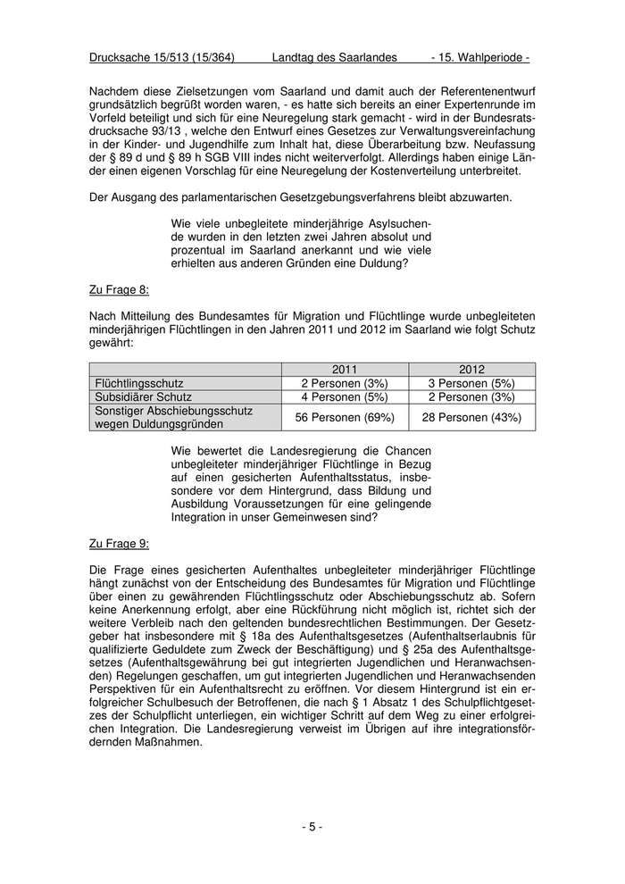
Drucksache 15/513 (15/364)             Landtag des Saarlandes       - 15. Wahlperiode - Nachdem diese Zielsetzungen vom Saarland und damit auch der Referentenentwurf grundsätzlich begrüßt worden waren, - es hatte sich bereits an einer Expertenrunde im Vorfeld beteiligt und sich für eine Neuregelung stark gemacht - wird in der Bundesrats- drucksache 93/13 , welche den Entwurf eines Gesetzes zur Verwaltungsvereinfachung in der Kinder- und Jugendhilfe zum Inhalt hat, diese Überarbeitung bzw. Neufassung der § 89 d und § 89 h SGB VIII indes nicht weiterverfolgt. Allerdings haben einige Län- der einen eigenen Vorschlag für eine Neuregelung der Kostenverteilung unterbreitet. Der Ausgang des parlamentarischen Gesetzgebungsverfahrens bleibt abzuwarten. Wie viele unbegleitete minderjährige Asylsuchen- de wurden in den letzten zwei Jahren absolut und prozentual im Saarland anerkannt und wie viele erhielten aus anderen Gründen eine Duldung? Zu Frage 8: Nach Mitteilung des Bundesamtes für Migration und Flüchtlinge wurde unbegleiteten minderjährigen Flüchtlingen in den Jahren 2011 und 2012 im Saarland wie folgt Schutz gewährt: 2011                    2012 Flüchtlingsschutz                          2 Personen (3%)        3 Personen (5%) Subsidiärer Schutz                         4 Personen (5%)        2 Personen (3%) Sonstiger Abschiebungsschutz 56 Personen (69%)      28 Personen (43%) wegen Duldungsgründen Wie bewertet die Landesregierung die Chancen unbegleiteter minderjähriger Flüchtlinge in Bezug auf einen gesicherten Aufenthaltsstatus, insbe- sondere vor dem Hintergrund, dass Bildung und Ausbildung Voraussetzungen für eine gelingende Integration in unser Gemeinwesen sind? Zu Frage 9: Die Frage eines gesicherten Aufenthaltes unbegleiteter minderjähriger Flüchtlinge hängt zunächst von der Entscheidung des Bundesamtes für Migration und Flüchtlinge über einen zu gewährenden Flüchtlingsschutz oder Abschiebungsschutz ab. Sofern keine Anerkennung erfolgt, aber eine Rückführung nicht möglich ist, richtet sich der weitere Verbleib nach den geltenden bundesrechtlichen Bestimmungen. Der Gesetz- geber hat insbesondere mit § 18a des Aufenthaltsgesetzes (Aufenthaltserlaubnis für qualifizierte Geduldete zum Zweck der Beschäftigung) und § 25a des Aufenthaltsge- setzes (Aufenthaltsgewährung bei gut integrierten Jugendlichen und Heranwachsen- den) Regelungen geschaffen, um gut integrierten Jugendlichen und Heranwachsenden Perspektiven für ein Aufenthaltsrecht zu eröffnen. Vor diesem Hintergrund ist ein er- folgreicher Schulbesuch der Betroffenen, die nach § 1 Absatz 1 des Schulpflichtgeset- zes der Schulpflicht unterliegen, ein wichtiger Schritt auf dem Weg zu einer erfolgrei- chen Integration. Die Landesregierung verweist im Übrigen auf ihre integrationsför- dernden Maßnahmen. -5-
5

Drucksache 15/513 (15/364)            Landtag des Saarlandes        - 15. Wahlperiode - Wie viele Flüchtlinge ab Vollendung des 18. Le- bensjahres befinden sich noch in einer Hilfemaß- nahme des Jugendamtes? Zu Frage 10: Nach Mitteilung der Jugendämter befinden sich volljährig gewordene Flüchtlinge aktuell noch in Hilfemaßnahmen wie folgt: Regionalverband Saarbrücken                 49 Landkreis Merzig-Wadern                       0 Landkreis Neunkirchen                         1 Landkreis Saarlouis                           4 Landkreis St. Wendel                          0 Saarpfalz-Kreis                               3 Insgesamt                                   57 Bis Februar 2012 wurde abgelehnten minderjähri- gen Asylbewerbern aus Afghanistan subsidiärer Schutz von Seiten des Bundesamtes für Migration und Flüchtlinge gemäß § 60 Abs. 7 Satz 1 Auf- enthG gewährt. Ein halbes Jahr lang wurde diese Praxis ausgesetzt und ab ca. Mitte September 2012 wieder angemeldet. Wie hoch ist die Anzahl dieser Gruppe? Ist für die- se Jugendlichen ein weiterer Schulbesuch mög- lich? Besteht für die Jugendlichen eine Einschrän- kung bezüglich ihres Wohnortes? Welche Rege- lungen kann die Landesregierung treffen, um die rechtliche Situation dieser jungen Flüchtlinge zu verbessern? Zu Frage 11: Die Entscheidung über Asylanträge fällt in die alleinige Zuständigkeit des Bundesam- tes für Migration und Flüchtlinge. Über die Anzahl der betroffenen unbegleiteten min- derjährigen Flüchtlinge wird eine Statistik nicht geführt. Nach § 1 Absatz 1 des Schulpflichtgesetzes besteht im Saarland allgemeine Schul- pflicht für alle Kinder, Jugendlichen und Heranwachsenden, die im Saarland ihren Wohnsitz oder gewöhnlichen Aufenthalt oder ihre Berufsausbildungs- oder Arbeitsstät- te haben. Die Schulpflicht umfasst somit auch abgelehnte minderjährige Asylbewerber. Unbegleitet eingereiste minderjährige Flüchtlinge werden im Saarland vom Jugendamt in Obhut genommen. Über den Wohnort dieser Jugendlichen entscheidet das Jugend- amt. Einen Bedarf zur Verbesserung der rechtlichen Situation von unbegleiteten min- derjährigen Flüchtlingen sieht die Landesregierung nicht. -6-
6