Anmeldungen an Grundschulen und weiterführenden Schulen zum Schuljahr 2019/20

/ 6
PDF herunterladen
SCHLESWIG-HOLSTEINISCHER LANDTAG                      Drucksache 19/1465 19. Wahlperiode                                                    2019-05-23 Kleine Anfrage des Abgeordneten Martin Habersaat (SPD) und Antwort der Landesregierung - Ministerin für Bildung, Wissenschaft und Kultur Anmeldungen an Grundschulen und weiterführenden Schulen zum Schuljahr 2019/20 Vorbemerkung der Landesregierung zu den Fragen 1) und 2): Gemäß § 24 Absatz 1 Schulgesetz (SchulG) wählen die Eltern im Rahmen der von der Schulaufsichtsbehörde nach Anhörung des Schulträgers festgesetzten Aufnah- memöglichkeiten aus dem vorhandenen Angebot an Schulen aus. Kann die ausge- wählte Schule wegen fehlender Aufnahmemöglichkeiten nicht besucht werden, sind die Schülerinnen und Schüler in die zuständige Schule aufzunehmen. Grundlage für die Beantwortung ist der mit Erlass des Ministeriums für Bildung, Wissenschaft und Kultur vom 24. Juli 2018 veröffentlichte Rückmeldebogen, anhand dessen die Schu- len die Anmeldezahlen der Schulaufsicht melden. 1.    Wie ist die jeweilige Quote bei der Erfüllung von Erstwünschen und Zweitwün- schen in den einzelnen Kreisen und kreisfreien Städten (bitte getrennt nach Schularten angeben)? 1
1

Drucksache 19/1465            Schleswig-Holsteinischer Landtag - 19. Wahlperiode 2.     Wie viele erfüllte Erstwünsche und Zweitwünsche (bitte getrennt aufführen) gibt es, möglichst nach Kreisen und kreisfreien Städten getrennt, zum Schuljahr 2019/20 an a. Grundschulen b. Gemeinschaftsschulen mit Oberstufe c.  Gemeinschaftsschulen ohne Oberstufe d. Gymnasien? Antwort zu Frage 1 und 2): Siehe Anlage 1 bis 4. Vorbemerkung der Landesregierung zu Frage 3): Die Schulen teilen anhand des mit Erlass des Ministeriums für Bildung, Wissenschaft und Kultur vom 24. Juli 2018 veröffentlichten Rückmeldebogens mit, wie viele Kinder mit dem Erst-, Zweit- und Drittwunsch aufgenommen wurden. Die Berücksichtigung des Zweit- oder Drittwunsches kann z.B. auch wegen eines Wohnortwechsel erfol- gen, oder weil der Erstwunsch aufgegeben wird. Für die Beantwortung der Frage 3) geht das Ministerium für Bildung, Wissenschaft und Kultur davon aus, dass bei allen Anmeldungen auf Basis des Drittwunsches der Erst- oder der Zweitwunsch nicht er- füllt werden konnte. Das kann unterschiedliche Gründe haben wie z.B. beschränkte Kapazitäten an Schulen, einen Wohnortwechsel oder eine Änderung des Wunsches. 3.     Bei wie vielen Kindern und Jugendlichen (bitte getrennt nach Schulart und Kreis) konnten weder Erst- noch Zweitwunsch erfüllt werden? Antwort: Siehe Anlage 1 bis 4. 4.     Bei wie vielen Kindern und Jugendlichen (bitte getrennt nach Schulart und Kreis) kam § 24 (5) Schulgesetz zur Anwendung? Antwort: Siehe Anlage 1 bis 4. 2
2

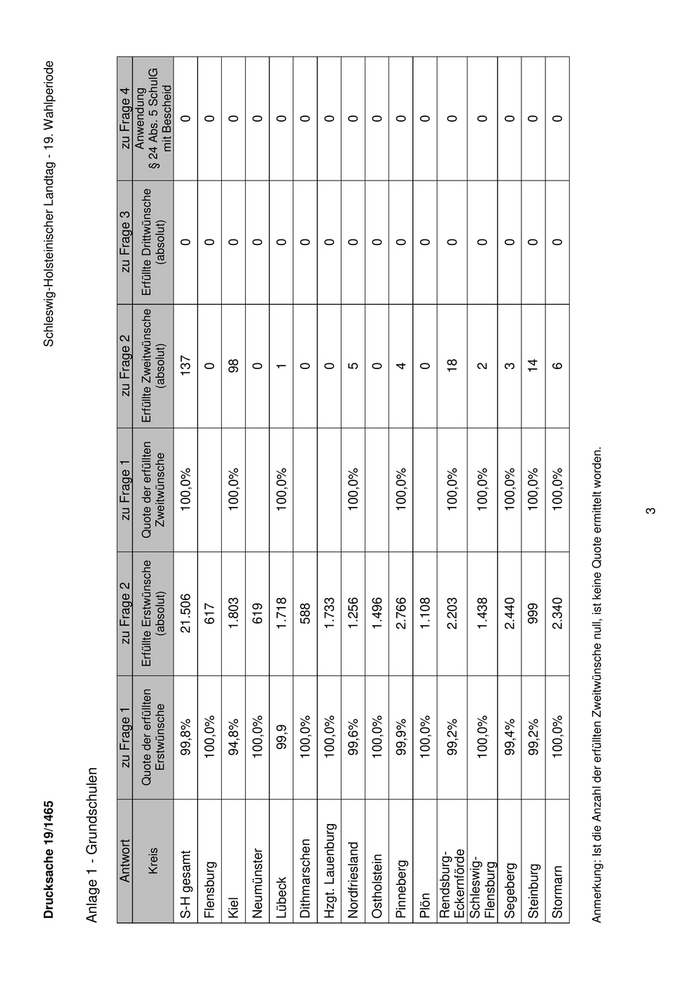
Drucksache 19/1465                                                                                           Schleswig-Holsteinischer Landtag - 19. Wahlperiode Anlage 1 - Grundschulen Antwort              zu Frage 1              zu Frage 2               zu Frage 1             zu Frage 2             zu Frage 3            zu Frage 4 Anwendung Quote der erfüllten    Erfüllte Erstwünsche      Quote der erfüllten Erfüllte Zweitwünsche   Erfüllte Drittwünsche Kreis                                                                                                                               § 24 Abs. 5 SchulG Erstwünsche                (absolut)            Zweitwünsche              (absolut)              (absolut) mit Bescheid S-H gesamt                     99,8%                   21.506                100,0%                    137                     0                     0 Flensburg                     100,0%                    617                                             0                      0                     0 Kiel                           94,8%                   1.803                 100,0%                     98                     0                     0 Neumünster                    100,0%                    619                                             0                      0                     0 Lübeck                          99,9                   1.718                 100,0%                     1                      0                     0 Dithmarschen                  100,0%                    588                                             0                      0                     0 Hzgt. Lauenburg               100,0%                   1.733                                            0                      0                     0 Nordfriesland                  99,6%                   1.256                 100,0%                     5                      0                     0 Ostholstein                   100,0%                   1.496                                            0                      0                     0 Pinneberg                      99,9%                   2.766                 100,0%                     4                      0                     0 Plön                          100,0%                   1.108                                            0                      0                     0 Rendsburg- 99,2%                   2.203                 100,0%                     18                     0                     0 Eckernförde Schleswig- 100,0%                   1.438                 100,0%                     2                      0                     0 Flensburg Segeberg                       99,4%                   2.440                 100,0%                     3                      0                     0 Steinburg                      99,2%                    999                  100,0%                     14                     0                     0 Stormarn                      100,0%                   2.340                 100,0%                     6                      0                     0 Anmerkung: Ist die Anzahl der erfüllten Zweitwünsche null, ist keine Quote ermittelt worden. 3
3

Drucksache 19/1465                                                                               Schleswig-Holsteinischer Landtag - 19. Wahlperiode Anlage 2 - Gemeinschaftsschulen ohne Oberstufe Antwort          zu Frage 1           zu Frage 2         zu Frage 1              zu Frage 2             zu Frage 3            zu Frage 4 Anwendung Quote der erfüllten Erfüllte Erstwünsche Quote der erfüllten Erfüllte Zweitwünsche   Erfüllte Drittwünsche Kreis                                                                                                                   § 24 Abs. 5 SchulG Erstwünsche              (absolut)      Zweitwünsche               (absolut)              (absolut) mit Bescheid S-H gesamt               97,4%                  7.767             93,5%                    672                    284                    25 Flensburg                86,4%                   171              84,6%                     11                     17                     2 Kiel                     92,3%                   549               100%                     37                     30                     0 Neumünster              100,0%                   185              92,1%                     35                     13                    10 Lübeck                   94,4%                   487              67,2%                     84                     45                     0 Dithmarschen            100,0%                   553             100,0%                     27                      6                     0 Hzgt. Lauenburg         100,0%                   370             100,0%                     46                      9                     0 Nordfriesland           100,0%                   540             100,0%                     14                     10                     0 Ostholstein              99,4%                   699              90,5%                     19                      2                     0 Pinneberg                99,6%                   719              98,4%                    135                     31                     0 Plön                    100,0%                   389             100,0%                     27                      7                     0 Rendsburg- 99,7%                   746             100,0%                     74                     32                     0 Eckernförde Schleswig- 98,7%                   866             100,0%                     24                      6                     0 Flensburg Segeberg                 92,4%                   738             100,0%                     58                     55                    13 Steinburg                98,7%                   517             100,0%                     10                      4                    0 Stormarn                100,0%                   238              76,3%                     71                     17                     0 4
4

Drucksache 19/1465                                                                                           Schleswig-Holsteinischer Landtag - 19. Wahlperiode Anlage 3 - Gemeinschaftsschulen mit Oberstufe (GemSmO) Antwort               zu Frage 1             zu Frage 2               zu Frage 1             zu Frage 2             zu Frage 3            zu Frage 4 Anwendung Quote der erfüllten    Erfüllte Erstwünsche      Quote der erfüllten Erfüllte Zweitwünsche   Erfüllte Drittwünsche Kreis                                                                                                                               § 24 Abs. 5 SchulG Erstwünsche                (absolut)            Zweitwünsche              (absolut)              (absolut) mit Bescheid S-H gesamt                    89,1%                    4.434                  73,2%                    137                    856                    0 Flensburg                     94,0%                     178                   59,0%                     13                     23                    0 Kiel                          87,6%                     297                                             0                      59                    0 Neumünster                    80,7%                     238                                             0                      71                    0 Lübeck                        70,8%                     304                                             0                     127                    0 Dithmarschen                                                              keine GemSmO in Dithmarschen Hzgt. Lauenburg               80,7%                     452                  100,0%                     69                    108                    0 Nordfriesland                100,0%                      99                                             0                      0                     0 Ostholstein                   97,9%                     322                                             0                      7                     0 Pinneberg                     78,9%                     580                  100,0%                     5                     155                    0 Plön                         100,0%                     135                                             0                      0                     0 Rendsburg- 82,2%                     410                   75,0%                     3                      90                    0 Eckernförde Schleswig- 100,0%                      81                                             0                      0                     0 Flensburg Segeberg                      90,6%                     412                    7,1%                     1                      56                    0 Steinburg                    100,0%                      89                                             0                      0                     0 Stormarn                      84,0%                     837                   97,8%                     46                    160                    0 Anmerkung: Ist die Anzahl der erfüllten Zweitwünsche null, ist keine Quote ermittelt worden. 5
5

Drucksache 19/1465                                                                                            Schleswig-Holsteinischer Landtag - 19. Wahlperiode Anlage 4 - Gymnasium Antwort              zu Frage 1              zu Frage 2               zu Frage 1            zu Frage 2              zu Frage 3            zu Frage 4 Anwendung Quote der erfüllten    Erfüllte Erstwünsche     Quote der erfüllten Erfüllte Zweitwünsche    Erfüllte Drittwünsche Kreis                                                                                                                               § 24 Abs. 5 SchulG Erstwünsche                (absolut)            Zweitwünsche             (absolut)               (absolut) mit Bescheid S-H gesamt                    99,4%                   10.109                  96,8%                   212                      23                    0 Flensburg                    100,0%                     475                  100,0%                    1                       0                     0 Kiel                         100,0%                     985                  100,0%                    3                       0                     0 Neumünster                   100,0%                     399                  100,0%                    9                       1                     0 Lübeck                        91,2%                     664                   92,1%                    82                      10                    0 Dithmarschen                 100,0%                     472                                            0                       0                     0 Hzgt. Lauenburg              100,0%                     600                  100,0%                    14                      0                     0 Nordfriesland                100,0%                     589                                            0                       0                     0 Ostholstein                  100,0%                     569                  100,0%                    2                       0                     0 Pinneberg                    100,0%                    1.325                 100,0%                    30                      6                     0 Plön                         100,0%                     332                  100,0%                    1                       0                     0 Rendsburg- 100,0%                     842                  100,0%                    23                      0                     0 Eckernförde Schleswig- 100,0%                     390                                            0                       0                     0 Flensburg Segeberg                     100,0%                    1.010                 100,0%                    13                      6                     0 Steinburg                    100,0%                     408                  100,0%                    2                       0                     0 Stormarn                     100,0%                    1.049                 100,0%                    32                      0                     0 Anmerkung: Ist die Anzahl der erfüllten Zweitwünsche null, ist keine Quote ermittelt worden. 6
6