Spezifikation LegalDocML.de - XML-Standard für Dokumente der Bundesrechtsetzung

Dieses Dokument ist Teil der Anfrage „Standard LegalDocML.de

/ 193
PDF herunterladen
Seite 41 «chapter»                                        «article» [1 , *] kapitelArtikel                                      artikel Kindelemente von kapitelArtikel Kindelement                                 AKN-Element                                 Anz.  Ref.              Seite artikel                                     <article>                                   1..*  2.7.3.36          60 Artikel 2.7.3.4 kapitelParagraph Fachlicher Titel:                           Paragraph als Einzelvorschrift innerhalb eines Kapitels LegalDocML-Tags:                            akn:chapter Dokumentation:                              Die Klasse "kapitelParagraph" wird benutzt, um innerhalb der Unterglie- derung "Kapitel" einen Paragrahen als Einzelvorschrift einzufügen. Generalisierung:                            kapitel Spezialisierungen:                          - Wird genutzt von:                           - «chapter»                                      «paragraph» [1 , *] kapitelParagraph                                    paragraph Kindelemente von kapitelParagraph Kindelement                                 AKN-Element                                 Anz.  Ref.              Seite paragraph                                   <paragraph>                                 1..*  2.7.3.37          61 Einzelvorschrift als Paragraph 2.7.3.5 kapitelTitel Fachlicher Titel:                           Titel als Untergliederung innerhalb eines Kapitels LegalDocML-Tags:                            akn:chapter Dokumentation:                              Die Klasse "kapitelTitel" wird benutzt, um die Klasse "Kapitel" weiter in Titel zu untergliedern. Generalisierung:                            kapitel Spezialisierungen:                          - Wird genutzt von:                           - Regelungsentwurf                                                                                                   1.0 / Final
45

Seite 42 «chapter»                                           «title» [2 , *] kapitelTitel                                          titel Kindelemente von kapitelTitel Kindelement                             AKN-Element                                   Anz. Ref.             Seite titel                                   <title>                                       2..* 2.7.3.19         50 Gliederungsebene Titel 2.7.3.6 kapitelUnterkapitel Fachlicher Titel:                       Unterkapitel als Untergliederung eines Kapitels LegalDocML-Tags:                        akn:chapter Dokumentation:                          Die Klasse "kapitelUnterkapitel" wird benutzt, um die Klasse "Kapitel" weiter in Unterkapitel zu untergliedern. Generalisierung:                        kapitel Spezialisierungen:                      - Wird genutzt von:                       - «chapter»                                        «subchapter» [2 , *] kapitelUnterkapitel                                  unterkapitel Kindelemente von kapitelUnterkapitel Kindelement                             AKN-Element                                   Anz. Ref.             Seite unterkapitel                            <subchapter>                                  2..* 2.7.3.54         72 Gliederungsebene Unterkapitel 2.7.3.7 untertitel Fachlicher Titel:                       Gliederungsebene Untertitel LegalDocML-Tags:                        akn:subtitle Dokumentation:                          Die Klasse "untertitel" ist eine Gliederungsebene innerhalb eines Titels eines Regelungstextes und bündelt die verschiedenen Gliederungsebe- nen, die innerhalb eines Untertitels benutzt werden können. Generalisierung:                        - Spezialisierungen:                      untertitelArtikel, untertitelParagraph Wird genutzt von:                       titelUntertitel, stammformGliederung 1.0 / Final                                                                                             Regelungsentwurf
46

Seite 43 «subtitle»                                          «num» [1 , 1] untertitel                                 artUndZaehlbezeichnung «heading» [1 , 1] ueberschrift «subtitle» untertitelArtikel «subtitle» untertitelParagraph Konvention(en): Achtung: Das Objekt unterliegt folgenden Konventionen: • Auf allen Gliederungsebenen dürfen nur Gliederungselemente des gleichen Typs verwendet werden.: 4.11 Kindelemente von untertitel Kindelement                             AKN-Element                                   Anz.  Ref.             Seite artUndZaehlbezeichnung                  <num>                                         1     3.1.3            147 Art- und Zählbezeichnung ueberschrift                            <heading>                                     1     3.1.1            145 Überschrift 2.7.3.8 untertitelArtikel Fachlicher Titel:                       Artikel als Einzelvorschrift innerhalb eines Untertitels LegalDocML-Tags:                        akn:subtitle Dokumentation:                          Die Klasse "untertitelArtikel" wird benutzt, um einen Artikel innerhalb der Untergliederung "Untertitel" einzufügen. Generalisierung:                        untertitel Spezialisierungen:                      - Wird genutzt von:                       - «subtitle»                                         «article» [1 , *] untertitelArtikel                                     artikel Regelungsentwurf                                                                                                1.0 / Final
47

Seite 44 Kindelemente von untertitelArtikel Kindelement                                 AKN-Element                                 Anz.  Ref.               Seite artikel                                     <article>                                   1..*  2.7.3.36           60 Artikel 2.7.3.9 untertitelParagraph Fachlicher Titel:                           Paragraph als Einzelvorschrift innerhalb eines Untertitels LegalDocML-Tags:                            akn:subtitle Dokumentation:                              Die Klasse "untertitelParagraph" wird benutzt, um einen Paragraphen als Einzelvorschrift innerhalb der Untergliederung "Untertitel" einzufügen. Generalisierung:                            untertitel Spezialisierungen:                          - Wird genutzt von:                           - «subtitle»                                      «paragraph» [1 , *] untertitelParagraph                                   paragraph Kindelemente von untertitelParagraph Kindelement                                 AKN-Element                                 Anz.  Ref.               Seite paragraph                                   <paragraph>                                 1..*  2.7.3.37           61 Einzelvorschrift als Paragraph 2.7.3.10 abschnitt Fachlicher Titel:                           Gliederungsebene Abschnitt LegalDocML-Tags:                            akn:section Dokumentation:                              Die Klasse "abschnitt" ist eine Gliederungsebene eines Regelungstextes und bündelt die verschiedenen Gliederungsebenen, die innerhalb eines Abschnitts benutzt werden können. Generalisierung:                            - Spezialisierungen:                          abschnittArtikel, abschnittParagraph, abschnittTitel, abschnittUnterab- schnitt Wird genutzt von:                           kapitelAbschnitt, teilAbschnitt, buchAbschnitt, unterkapitelAbschnitt, stammformGliederung 1.0 / Final                                                                                                  Regelungsentwurf
48

Seite 45 «section»                                       «num» [1 , 1] abschnitt                                artUndZaehlbezeichnung «heading» [1 , 1] ueberschrift «section» abschnittArtikel «section» abschnittParagraph «section» abschnittTitel «section» abschnittUnterabschnitt Konvention(en): Achtung: Das Objekt unterliegt folgenden Konventionen: • Auf allen Gliederungsebenen dürfen nur Gliederungselemente des gleichen Typs verwendet werden.: 4.11 Kindelemente von abschnitt Kindelement                           AKN-Element                                Anz.   Ref.              Seite artUndZaehlbezeichnung                <num>                                      1      3.1.3             147 Art- und Zählbezeichnung ueberschrift                          <heading>                                  1      3.1.1             145 Überschrift 2.7.3.11 abschnittArtikel Fachlicher Titel:                     Artikel innerhalb eines Abschnitts LegalDocML-Tags:                      akn:section Dokumentation:                        Die Klasse "abschnittArtikel" wird benutzt, um Einzelvorschriften - in die- sem Fall Artikel - innerhalb eines Abschnitts einzufügen. Generalisierung:                      abschnitt Spezialisierungen:                    - Wird genutzt von:                     - Regelungsentwurf                                                                                             1.0 / Final
49

Seite 46 «section»                                       «article» [1 , *] abschnittArtikel                                   artikel Kindelemente von abschnittArtikel Kindelement                               AKN-Element                                 Anz. Ref.               Seite artikel                                   <article>                                   1..* 2.7.3.36           60 Artikel 2.7.3.12 abschnittParagraph Fachlicher Titel:                         Paragraph innerhalb eines Abschnitts LegalDocML-Tags:                          akn:section Dokumentation:                            Die Klasse "abschnittParagraph" wird benutzt, um Einzelvorschriften - in diesem Fall Paragraphen - innerhalb eines Abschnitts einzufügen. Generalisierung:                          abschnitt Spezialisierungen:                        - Wird genutzt von:                         - «section»                                     «paragraph» [1 , *] abschnittParagraph                                 paragraph Kindelemente von abschnittParagraph Kindelement                               AKN-Element                                 Anz. Ref.               Seite paragraph                                 <paragraph>                                 1..* 2.7.3.37           61 Einzelvorschrift als Paragraph 2.7.3.13 abschnittTitel Fachlicher Titel:                         Titel als Untergliederung eines Abschnitts LegalDocML-Tags:                          akn:section Dokumentation:                            Die Klasse "abschnittTitel" wird benutzt, um einen Abschnitt in Titel zu untergliedern. Generalisierung:                          abschnitt Spezialisierungen:                        - Wird genutzt von:                         - 1.0 / Final                                                                                               Regelungsentwurf
50

Seite 47 «section»                                       «title» [2 , *] abschnittTitel                                      titel Kindelemente von abschnittTitel Kindelement                             AKN-Element                                 Anz. Ref.               Seite titel                                   <title>                                     2..* 2.7.3.19           50 Gliederungsebene Titel 2.7.3.14 abschnittUnterabschnitt Fachlicher Titel:                       Unterabschnitt als Untergliederung eines Abschnitts LegalDocML-Tags:                        akn:section Dokumentation:                          Die Klasse "abschnittUnterabschnitt" wird benutzt, um einen Abschnitt in Unterabschnitte zu untergliedern. Generalisierung:                        abschnitt Spezialisierungen:                      - Wird genutzt von:                       - «section»                                    «subsection» [2 , *] abschnittUnterabschnitt                            unterabschnitt Kindelemente von abschnittUnterabschnitt Kindelement                             AKN-Element                                 Anz. Ref.               Seite unterabschnitt                          <subsection>                                2..* 2.7.3.15           47 Gliederungsebene Unterabschnitt 2.7.3.15 unterabschnitt Fachlicher Titel:                       Gliederungsebene Unterabschnitt LegalDocML-Tags:                        akn:subsection Dokumentation:                          Die Klasse "unterabschnitt" ist eine Gliederungsebene innerhalb eines Abschnitts eines Regelungstextes und bündelt die verschiedenen Gliede- rungsebenen, die innerhalb eines Unterabschnitts benutzt werden kön- nen. Generalisierung:                        - Spezialisierungen:                      unterabschnittArtikel, unterabschnittParagraph, unterabschnittTitel Wird genutzt von:                       abschnittUnterabschnitt, stammformGliederung Regelungsentwurf                                                                                              1.0 / Final
51

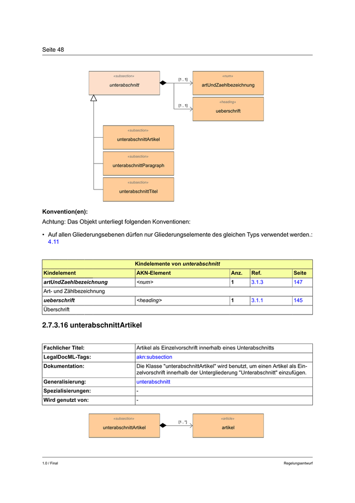
Seite 48 «subsection»                                         «num» [1 , 1] unterabschnitt                                artUndZaehlbezeichnung «heading» [1 , 1] ueberschrift «subsection» unterabschnittArtikel «subsection» unterabschnittParagraph «subsection» unterabschnittTitel Konvention(en): Achtung: Das Objekt unterliegt folgenden Konventionen: • Auf allen Gliederungsebenen dürfen nur Gliederungselemente des gleichen Typs verwendet werden.: 4.11 Kindelemente von unterabschnitt Kindelement                              AKN-Element                                   Anz.  Ref.            Seite artUndZaehlbezeichnung                   <num>                                         1     3.1.3           147 Art- und Zählbezeichnung ueberschrift                             <heading>                                     1     3.1.1           145 Überschrift 2.7.3.16 unterabschnittArtikel Fachlicher Titel:                        Artikel als Einzelvorschrift innerhalb eines Unterabschnitts LegalDocML-Tags:                         akn:subsection Dokumentation:                           Die Klasse "unterabschnittArtikel" wird benutzt, um einen Artikel als Ein- zelvorschrift innerhalb der Untergliederung "Unterabschnitt" einzufügen. Generalisierung:                         unterabschnitt Spezialisierungen:                       - Wird genutzt von:                        - «subsection»                                        «article» [1 , *] unterabschnittArtikel                                    artikel 1.0 / Final                                                                                              Regelungsentwurf
52

Seite 49 Kindelemente von unterabschnittArtikel Kindelement                                 AKN-Element                                    Anz. Ref.          Seite artikel                                     <article>                                      1..* 2.7.3.36      60 Artikel 2.7.3.17 unterabschnittParagraph Fachlicher Titel:                           Paragraph als Einzelvorschrift innerhalb eines Unterabschnitts LegalDocML-Tags:                            akn:subsection Dokumentation:                              Die Klasse "unterabschnittParagraph" wird benutzt, um einen Paragra- phen als Einzelvorschrift innerhalb der Untergliederung "Unterabschnitt" einzufügen. Generalisierung:                            unterabschnitt Spezialisierungen:                          - Wird genutzt von:                           - «subsection»                                       «paragraph» [1 , *] unterabschnittParagraph                                  paragraph Kindelemente von unterabschnittParagraph Kindelement                                 AKN-Element                                    Anz. Ref.          Seite paragraph                                   <paragraph>                                    1..* 2.7.3.37      61 Einzelvorschrift als Paragraph 2.7.3.18 unterabschnittTitel Fachlicher Titel:                           Titel als Untergliederung eines Unterabschnitts LegalDocML-Tags:                            akn:subsection Dokumentation:                              Die Klasse "unterabschnittTitel" wird benutzt, um die Klasse "Unterab- schnitt" weiter in Titel zu untergliedern. Generalisierung:                            unterabschnitt Spezialisierungen:                          - Wird genutzt von:                           - «subsection»                                          «title» [2 , *] unterabschnittTitel                                        titel Regelungsentwurf                                                                                                 1.0 / Final
53

Seite 50 Kindelemente von unterabschnittTitel Kindelement                             AKN-Element                                   Anz.   Ref.                 Seite titel                                   <title>                                       2..*   2.7.3.19             50 Gliederungsebene Titel 2.7.3.19 titel Fachlicher Titel:                       Gliederungsebene Titel LegalDocML-Tags:                        akn:title Dokumentation:                          Die Klasse "titel" ist eine Gliederungsebene eines Regelungstextes und bündelt die verschiedenen Gliederungsebenen, die innerhalb eines Titels benutzt werden können. Generalisierung:                        - Spezialisierungen:                      titelArtikel, titelParagraph, titelUntertitel Wird genutzt von:                       kapitelTitel, abschnittTitel, unterabschnittTitel, teilTitel, buchTitel, unterka- pitelTitel, stammformGliederung «title»                                               «num» [1 , 1] titel                                       artUndZaehlbezeichnung «heading» [1 , 1] ueberschrift «title» titelArtikel «title» titelParagraph «title» titelUntertitel Konvention(en): Achtung: Das Objekt unterliegt folgenden Konventionen: • Auf allen Gliederungsebenen dürfen nur Gliederungselemente des gleichen Typs verwendet werden.: 4.11 1.0 / Final                                                                                                   Regelungsentwurf
54

Zur nächsten Seite