Förderanträge aus dem Bereich des Westerwaldkreises

/ 73
PDF herunterladen
Kleine Anfrage Nr.: 2297 Förderanträge aus dem Bereich des Westerwaldkreises Ressort: Ministerium für Integration, Familie, Kinder, Jugend und Familie Förderbereich: Jugend lfd. Nr. Maßnahmenort          Maßnahmenort-TeXt        Beschreibung der Maßnahmen aus             Größenordnung     Datum der      Bereits   Falls noch nicht (Gemeinde-                                     den Jahren 2013-2014                       (Gesamtkosten)    Antragstellung bewilligt bewilligt, schlüssel-                                                                                                                           bewilligungs- nummer)                                                                                                                              reif? in Euro          tt.mm.jjjj zu 1 a                                                 zu 1 b             zu 1 c     zu 2 a        zu 2 b 9  143 09 308            Westerburg               Kreisverwaltung Westerwaldkreis,                      23.500   28.11.2012        X Schulsozialarbeit RS plus Westerburg 10  143 10 081            Wirges                   Kreisverwaltung Westerwaldkreis,                      25.200   28.11.2012        X Schulsozialarbeit RS plus Wirges 11  143                   Westerwaldkreis          Kreisverwaltung Westerwaldkreis,           Förderung nach      28.05.2013        X Ferienbetreuung im Westerwaldkreis         Tagessätzen 12  143                   Westerwaldkreis          Woche der Kinderrechte                                   800   26.02.2013        X 13  143                   Westerwaldkreis          Lernpatenprojekt                                       9.875   18.12.2012        X 14  143 04 048            Montabaur                Konsultationskindertagesstätte Himmelfeld,            15.000   15.10.2012        X Montabaur 15  143 02 229            Hachenburg               Konsultationskindertagesstätte Kinderhaus             14.578   29.11.2012        X Hachenburg 16  143 02 229            Hachenburg               Förderung von hauptamtlichen Fachkräften,             44.303   31.10.2012        X Jugendarbeit im ländlichen Raum, hier: VG Hachenburg, Mobile Kinder- und Jugendkulturarbeit 17  143 04 048            Montabaur                Förderung von hauptamtlichen Fachkräften,             49.764   13.08.2012        X Jugendarbeit im ländlichen Raum, hier: KV Westerwaldkreis, "Lernen durch Abenteuer" Sucht- und Gewaltprävention an Schulen 60
61

Kleine Anfrage Nr.: 2297 Förderanträge aus dem Bereich des Westerwaldkreises Ressort: Ministerium für Integration, Familie, Kinder, Jugend und Familie Förderbereich: Jugend lfd. Nr. Maßnahmenort          Maßnahmenort-TeXt        Beschreibung der Maßnahmen aus                Größenordnung     Datum der      Bereits   Falls noch nicht (Gemeinde-                                     den Jahren 2013-2014                          (Gesamtkosten)    Antragstellung bewilligt bewilligt, schlüssel-                                                                                                                              bewilligungs- nummer)                                                                                                                                 reif? in Euro          tt.mm.jjjj zu 1 a                                                    zu 1 b             zu 1 c     zu 2 a        zu 2 b 18  143 06 286            Rennerod                 Förderung von hauptamtlichen Fachkräften,                76.662   14.02.2013        X Jugendarbeit im ländlichen Raum, hier: VG Rennerod, Jugendarbeit auf den Dörfern 19  143 07 067            Selters                  Förderung von hauptamtlichen Fachkräften,                64.048   22.02.2013        X Jugendarbeit im ländlichen Raum, hier: VG Selters, Jugendarbeit in der Verbandsgemeinde 20  143 08 501            Elbingen                 Förderung von neuen offenen Jugendtreffs im               6.760   17.06.2013        X ländlichen Raum, hier JT in Elbingen 21  143 08 232            Hahn am See              Förderung von neuen offenen Jugendtreffs im               6.780   19.12.2012        X ländlichen Raum, hier JT in Hahn am See 22  143 07 029            Herschbach               Förderung von neuen offenen Jugendtreffs im               5.340   18.02.2013        X ländlichen Raum, hier JT in Herschbach 23  143 02 067            Selters                  Förderung von neuen offenen Jugendtreffs im               2.650   18.02.2013        X ländlichen Raum, hier JT in Selters 24  143                   Westerwaldkreis          Qualifizierung von Tagespflegepersonen                    3.527   06.02.2013        X Grundqualifizierung 25  143                   Westerwaldkreis          Qualifizierung von Tagespflegepersonen                    3.983   21.05.2013        X Aufbauqualifizierung 26  143 03 030            Hilgert                  Investitionskostenförderung U3-Ausbau                    16.003   09.01.2013        X 27  143 01 253            Langenbach b. K.         Investitionskostenförderung U3-Ausbau                    21.500   27.02.2013        X 28  143 04 027            Heiligenroth             Investitionskostenförderung U3-Ausbau                    14.350   08.03.2013        X 29  143 07 066            Schenkelberg             Investitionskostenförderung U3-Ausbau                    34.000   11.03.2013                     X 30  143 07 085            Wölferlingen             Investitionskostenförderung U3-Ausbau                    18.000   11.03.2013                     X 31  143 04 048            Montabaur                Investitionskostenförderung U3-Ausbau                  890.000    11.03.2013        X 32  143 07 029            Herschbach               Investitionskostenförderung U3-Ausbau                  288.135    28.03.2013        X 61
62

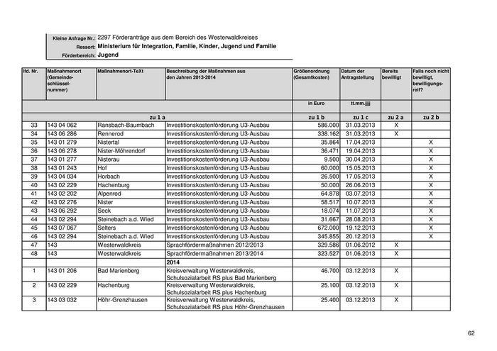
Kleine Anfrage Nr.: 2297 Förderanträge aus dem Bereich des Westerwaldkreises Ressort: Ministerium für Integration, Familie, Kinder, Jugend und Familie Förderbereich: Jugend lfd. Nr. Maßnahmenort          Maßnahmenort-TeXt         Beschreibung der Maßnahmen aus             Größenordnung     Datum der      Bereits   Falls noch nicht (Gemeinde-                                      den Jahren 2013-2014                       (Gesamtkosten)    Antragstellung bewilligt bewilligt, schlüssel-                                                                                                                            bewilligungs- nummer)                                                                                                                               reif? in Euro          tt.mm.jjjj zu 1 a                                                 zu 1 b             zu 1 c     zu 2 a        zu 2 b 33  143 04 062            Ransbach-Baumbach         Investitionskostenförderung U3-Ausbau               586.000    31.03.2013        X 34  143 06 286            Rennerod                  Investitionskostenförderung U3-Ausbau               338.162    31.03.2013        X 35  143 01 279            Nistertal                 Investitionskostenförderung U3-Ausbau                 35.864   17.04.2013                     X 36  143 06 278            Nister-Möhrendorf         Investitionskostenförderung U3-Ausbau                 36.471   19.04.2013                     X 37  143 01 277            Nisterau                  Investitionskostenförderung U3-Ausbau                  9.500   30.04.2013                     X 38  143 01 243            Hof                       Investitionskostenförderung U3-Ausbau                 60.000   15.05.2013                     X 39  143 04 034            Horbach                   Investitionskostenförderung U3-Ausbau                 26.500   17.05.2013                     X 40  143 02 229            Hachenburg                Investitionskostenförderung U3-Ausbau                 50.000   26.06.2013                     X 41  143 02 202            Alpenrod                  Investitionskostenförderung U3-Ausbau                 64.878   03.07.2013                     X 42  143 02 276            Nister                    Investitionskostenförderung U3-Ausbau                 58.517   10.07.2013                     X 43  143 06 292            Seck                      Investitionskostenförderung U3-Ausbau                 18.074   11.07.2013                     X 44  143 02 294            Steinebach a.d. Wied      Investitionskostenförderung U3-Ausbau                 31.667   28.08.2013                     X 45  143 07 067            Selters                   Investitionskostenförderung U3-Ausbau               672.000    19.12.2013                     X 46  143 02 294            Steinebach a.d. Wied      Investitionskostenförderung U3-Ausbau               345.855    20.12.2013                     X 47  143                   Westerwaldkreis           Sprachfördermaßnahmen 2012/2013                     329.586    01.06.2012        X 48  143                   Westerwaldkreis           Sprachfördermaßnahmen 2013/2014                     323.527    01.06.2013        X 2014 1  143 01 206            Bad Marienberg            Kreisverwaltung Westerwaldkreis,                      46.700   03.12.2013        X Schulsozialarbeit RS plus Bad Marienberg 2  143 02 229            Hachenburg                Kreisverwaltung Westerwaldkreis,                      25.100   03.12.2013        X Schulsozialarbeit RS plus Hachenburg 3  143 03 032            Höhr-Grenzhausen          Kreisverwaltung Westerwaldkreis,                      25.400   03.12.2013        X Schulsozialarbeit RS plus Höhr-Grenzhausen 62
63

Kleine Anfrage Nr.: 2297 Förderanträge aus dem Bereich des Westerwaldkreises Ressort: Ministerium für Integration, Familie, Kinder, Jugend und Familie Förderbereich: Jugend lfd. Nr. Maßnahmenort          Maßnahmenort-TeXt        Beschreibung der Maßnahmen aus              Größenordnung     Datum der      Bereits   Falls noch nicht (Gemeinde-                                     den Jahren 2013-2014                        (Gesamtkosten)    Antragstellung bewilligt bewilligt, schlüssel-                                                                                                                            bewilligungs- nummer)                                                                                                                               reif? in Euro          tt.mm.jjjj zu 1 a                                                  zu 1 b             zu 1 c     zu 2 a        zu 2 b 4  143 04 048            Montabaur                Kreisverwaltung Westerwaldkreis,                       24.400   03.12.2013        X Schulsozialarbeit RS plus Anne Frank Montabaur 5  143 04 048            Montabaur                Kreisverwaltung Westerwaldkreis,                       48.600   03.12.2013        X Schulsozialarbeit RS plus Heinrich Roth Montabaur 6  143 04 051            Nentershausen            Kreisverwaltung Westerwaldkreis,                       32.400   03.12.2013        X Schulsozialarbeit RS plus Nentershausen 7  143 04 062            Ransbach-Baumbach        Kreisverwaltung Westerwaldkreis,                       26.000   03.12.2013        X Schulsozialarbeit RS plus Ransbach-Baumbach 8  143 07 067            Selters                  Kreisverwaltung Westerwaldkreis,                       24.700   03.12.2013        X Schulsozialarbeit IGS Selters 9  143 09 308            Westerburg               Kreisverwaltung Westerwaldkreis,                       41.500   03.12.2013        X Schulsozialarbeit RS plus Westerburg 10  143 10 081            Wirges                   Kreisverwaltung Westerwaldkreis,                       50.200   03.12.2013        X Schulsozialarbeit RS plus Wirges 11  143                   Westerwaldkreis          Woche der Kinderrechte                                  1.241   27.02.2014        X 12  143                   Westerwaldkreis          Lernpatenprojekt                                        9.940   09.12.2013 13  143 04 048            Montabaur                Konsultationskindertagesstätte Himmelfeld,             15.000   18.11.2013        X Montabaur 63
64

Kleine Anfrage Nr.: 2297 Förderanträge aus dem Bereich des Westerwaldkreises Ressort: Ministerium für Integration, Familie, Kinder, Jugend und Familie Förderbereich: Jugend lfd. Nr. Maßnahmenort          Maßnahmenort-TeXt        Beschreibung der Maßnahmen aus                Größenordnung     Datum der      Bereits   Falls noch nicht (Gemeinde-                                     den Jahren 2013-2014                          (Gesamtkosten)    Antragstellung bewilligt bewilligt, schlüssel-                                                                                                                              bewilligungs- nummer)                                                                                                                                 reif? in Euro          tt.mm.jjjj zu 1 a                                                    zu 1 b             zu 1 c     zu 2 a        zu 2 b 14  143 02 229            Hachenburg               Förderung von hauptamtlichen Fachkräften,                43.000   11.09.2013        X Jugendarbeit im ländlichen Raum, hier: VG Hachenburg, Mobile Kinder- und Jugendkulturarbeit 15  143 04 048            Montabaur                Förderung von hauptamtlichen Fachkräften,                50.100   05.09.2013        X Jugendarbeit im ländlichen Raum, hier: KV Westerwaldkreis, "Lernen durch Abenteuer" Sucht- und Gewaltprävention an Schulen 16  143 06 286            Rennerod                 Förderung von hauptamtlichen Fachkräften,                91.500   13.02.2014        X Jugendarbeit im ländlichen Raum, hier: VG Rennerod, Jugendarbeit auf den Dörfern 17  143 07 067            Selters                  Förderung von hauptamtlichen Fachkräften,                63.200   03.02.2014        X Jugendarbeit im ländlichen Raum, hier: VG Selters, Jugendarbeit in der Verbandsgemeinde 18  143 07 029            Herschbach               Förderung von neuen offenen Jugendtreffs im               5.340   13.01.2014        X ländlichen Raum, hier JT in Herschbach 19  143 02 261            Marzhausen               Förderung von neuen offenen Jugendtreffs im               6.700   02.01.2014        X ländlichen Raum, hier JT in Marzhausen 20  143 02 067            Selters                  Förderung von neuen offenen Jugendtreffs im               2.400   20.01.2014        X ländlichen Raum, hier JT in Selters 21  143                   Westerwaldkreis          Qualifizierung von Tagespflegepersonen                    4.144   14.02.2014        X Grundqualifizierung 22  143 03 032            Höhr-Grenzhausen         Investitionskostenförderung U3-Ausbau                    16.416   13.03.2014                     X 64
65

lfd. Nr. ggf. erforderliche Höhe des beantragten Bewilligte Summe     Höhe des zu Datum bisheriger Höhe bisheriger   Termine und      ggf. Höhe der Schritte zur       Landeszuschusses                          erwartenden Zahlungen        Zahlungen         Höhe weiterer    notwendigen Bewilligungsreife                                            Zuschusses                                     Zahlungen        Vorfinanzierung in Euro              in Euro           in Euro      tt.mm.jjjj       in Euro         in Euro und          in Euro tt.mm.jjjj. zu 3           zu 4 a     zu 1 a    zu 4 b             zu 4 c       zu 5 a           zu 5 b             zu 5 c             zu 6 1                                     7.500                7.500                19.04.2013                3.750 01.07.2013                1.875 01.10.2013                1.875 2                                     7.500                7.500                19.04.2013                3.750 01.07.2013                1.875 01.10.2013                1.875 3                                     7.500                7.500                19.04.2013                3.750 01.07.2013                1.875 01.10.2013                1.875 4                                     7.500                7.500                19.04.2013                3.750 01.07.2013                1.875 01.10.2013                1.875 5                                     7.500                7.500                19.04.2013                3.750 01.07.2013                1.875 01.10.2013                1.875 6                                     7.500                7.500                19.04.2013                3.750 01.07.2013                1.875 01.10.2013                1.875 7                                     7.500                7.500                19.04.2013                3.750 01.07.2013                1.875 01.10.2013                1.875 8                                     7.500                7.500                19.04.2013                3.750 01.07.2013                1.875 01.10.2013                1.875 65
66

lfd. Nr. ggf. erforderliche Höhe des beantragten Bewilligte Summe     Höhe des zu Datum bisheriger Höhe bisheriger   Termine und      ggf. Höhe der Schritte zur       Landeszuschusses                          erwartenden Zahlungen        Zahlungen         Höhe weiterer    notwendigen Bewilligungsreife                                            Zuschusses                                     Zahlungen        Vorfinanzierung in Euro              in Euro           in Euro      tt.mm.jjjj       in Euro         in Euro und          in Euro tt.mm.jjjj. zu 3           zu 4 a     zu 1 a    zu 4 b             zu 4 c       zu 5 a           zu 5 b             zu 5 c             zu 6 9                                    7.500                7.500                19.04.2013                3.750 01.07.2013                1.875 01.10.2013                1.875 10                                    7.500                7.500                19.04.2013                3.750 01.07.2013                1.875 01.10.2013                1.875 11                                    7.400                7.400                12.07.2013                7.400 12                                      360                  360                10.12.2013                  203 13                                    5.925                5.925                15.07.2013             4365,31 02.12.2013             1559,69 14                                   15.000              15.000                 07.02.2013                3.360 13.03.2013                2.210 15.05.2013                2.210 09.08.2013                2.210 04.09.2013                2.210 06.11.2013                2.270 15                                   14.578              14.578                 01.10.2013            5.947,17 27.11.2013            8.631,24 16                                   12.300              12.300                 04.02.2013                4.100 26.02.2013                8.200 17                                   12.300              12.300                 04.02.2013              12.300 66
67

lfd. Nr. ggf. erforderliche Höhe des beantragten Bewilligte Summe     Höhe des zu    Datum bisheriger Höhe bisheriger   Termine und      ggf. Höhe der Schritte zur       Landeszuschusses                          erwartenden    Zahlungen        Zahlungen         Höhe weiterer    notwendigen Bewilligungsreife                                            Zuschusses                                        Zahlungen        Vorfinanzierung in Euro              in Euro           in Euro         tt.mm.jjjj       in Euro         in Euro und          in Euro tt.mm.jjjj. zu 3           zu 4 a     zu 1 a    zu 4 b             zu 4 c          zu 5 a           zu 5 b             zu 5 c             zu 6 18                                   18.420              18.420                    26.02.2013              18.420 19                                   12.300              12.300                    07.03.2013              12.300 20                                    1.500                1.500                   04.07.2013                1.500 21                                    1.500                1.500                   25.01.2013                1.500 22                                    2.000                2.000                   26.02.2013                2.000 23                                    2.000                2.000                   26.02.2013                2.000 24                                    2.640                2.640                   26.09.2013                2.402 25                                    2.800                2.800                   04.12.2013                2.800 26                                   14.402              14.402                                            14.402 27                                   16.000              16.000                                                  0 28                                    8.000                8.000                                             8.000 29                                   16.000                              16.000 30                                    8.000                               8.000 31                                  198.000             198.000 32                                   95.000              95.000 67
68

lfd. Nr. ggf. erforderliche Höhe des beantragten Bewilligte Summe    Höhe des zu    Datum bisheriger Höhe bisheriger   Termine und      ggf. Höhe der Schritte zur       Landeszuschusses                         erwartenden    Zahlungen        Zahlungen         Höhe weiterer    notwendigen Bewilligungsreife                                           Zuschusses                                        Zahlungen        Vorfinanzierung in Euro              in Euro          in Euro         tt.mm.jjjj       in Euro         in Euro und          in Euro tt.mm.jjjj. zu 3           zu 4 a     zu 1 a    zu 4 b            zu 4 c          zu 5 a           zu 5 b             zu 5 c             zu 6 33                                   95.000              95.000 34                                  127.000             127.000 35                                   16.000                             16.000 36                                   16.000                             16.000 37                                    8.000                              8.000 38                                   54.000                             54.000 39                                   16.000                             16.000 40                                   24.000                             24.000 41                                   32.000                             32.000 42                                   24.000                             24.000 43                                   16.000                             16.000 44                                   16.000                             16.000 45                                   95.000                             95.000 46                                    4.000                              4.000 47                                  329.586             329.586                                          329.586 48                                  323.527             323.527                                                   Aug 14 1                                   15.300              15.300                   13.03.2014                3.825 01.07.2014 01.04.2014                3.825 01.10.2014 2                                   15.300              15.300                   13.03.2014                3.825 01.07.2014 01.04.2014                3.825 01.10.2014 3                                   15.300              15.300                   13.03.2014                3.825 01.07.2014 01.04.2014                3.825 01.10.2014 68
69

lfd. Nr. ggf. erforderliche    Höhe des beantragten Bewilligte Summe    Höhe des zu Datum bisheriger Höhe bisheriger   Termine und      ggf. Höhe der Schritte zur          Landeszuschusses                         erwartenden Zahlungen        Zahlungen         Höhe weiterer    notwendigen Bewilligungsreife                                              Zuschusses                                     Zahlungen        Vorfinanzierung in Euro              in Euro          in Euro      tt.mm.jjjj       in Euro         in Euro und          in Euro tt.mm.jjjj. zu 3              zu 4 a     zu 1 a    zu 4 b            zu 4 c       zu 5 a           zu 5 b             zu 5 c             zu 6 4                                      15.300              15.300                13.03.2014                3.825 01.07.2014 01.04.2014                3.825 01.10.2014 5                                      15.300              15.300                13.03.2014                3.825 01.07.2014 01.04.2014                3.825 01.10.2014 6                                      15.300              15.300                13.03.2014                3.825 01.07.2014 01.04.2014                3.825 01.10.2014 7                                      15.300              15.300                13.03.2014                3.825 01.07.2014 01.04.2014                3.825 01.10.2014 8                                      15.300              15.300                13.03.2014                3.825 01.07.2014 01.04.2014                3.825 01.10.2014 9                                      15.300              15.300                13.03.2014                3.825 01.07.2014 01.04.2014                3.825 01.10.2014 10                                      15.300              15.300                13.03.2014                3.825 01.07.2014 01.04.2014                3.825 01.10.2014 11                                         745                 745                                                Nov 14                           745 12  Entscheidung zur                     5.964 Weiterfinanzierung in welchem Rahmen steht noch aus 13                                      15.000              15.000                05.02.2014                 3700 21.03.2014                 2160 69
70

Zur nächsten Seite