Bundseinheitlicher Tatbestandskatalog

Dieses Dokument ist Teil der Anfrage „Alle Versionen und Unterlagen des bundeseinheitlichen Tatbestandskatalogs

/ 558
PDF herunterladen
Bundeseinheitlicher Tatbestandskatalog - Tabellen - 425 - - nicht bedruckt - Stand: 17. Oktober 2016
533

Bundeseinheitlicher Tatbestandskatalog - Tabellen - 426/0 - - nicht bedruckt - Stand: 17. Oktober 2016
534

Bundeseinheitlicher Tatbestandskatalog - Stichwortverzeichnis Stichwortverzeichnis Stichwortverzeichnis mit Angabe der §§                                                       Seite 427/0 Rechtsgrundlage Tatbestand                                       TBNR         StVO    FeV   StVZO/FZV/MobHV        StVG/ §§      §§           §§          Ferienreise- verordnung A Abbiegen                                    109100-109637    9 - entgegen Zeichen 209, 211, 214    141142-141144   41 Abs. 1 - entgegen Zeichen 297              141251,141252,  41 Abs. 1 141271,141272, 141503 - als Radfahrer                     109177-109186    9 Abs. 2 - entgegen Zeichen 295, 296, 298    141268-141275,  41 Abs. 1 141500-141506 Abblenden                                   117112-117120   17 Abs. 2 Abbremsen ohne zwingenden Grund             104118,104119    4 Abs. 1 Abgas - Belästigung                       130106          30 Abs. 1 - übermäßige Abgasentwicklung       331042                          31 Abs. 2 StVZO Abknickende Vorfahrtstraße                  142100,142101   42 Abs. 2 Abkommen von der Fahrbahn                   101000           1 Abs. 2 Abmessung Länge - Gesamtlänge von Fahrzeu- gen/Zügen überschritten           332600                          32 StVZO - Fahrzeug mit Ladung               122130          22 Abs. 3 122136-122148   22 Abs. 4 - des Fahrzeuges ohne Ladung und ohne Erlaubnis                    129606          29 Abs. 3 Höhe - eines Fahrzeuges mit Ladung       118112,118130   18 Abs. 1 118500-118512 122112          22 Abs. 2 Breite                                  332600                          32 StVZO - eines Fahrzeuges mit Ladung       118118,118136,  18 Abs. 1 122118-122124,  22 Abs. 2 332600                          32 StVZO - Anordnen                          331660-331672                   31 Abs. 2 StVZO Abschleppen                                 115100-115118, 15a 343100,                         43 StVZO 343600-343608 Abstellen - von nicht zugelassenen Fahrzeu-   132606          32 Abs. 1 gen Abstand                                     104100-104642    4 - beim Vorbeifahren an Haltestellen 120606,120607,  20 Abs. 2 120720-120738   20 Abs. 4 - entgegen Zeichen 273              141208          41 Abs. 1 Stand: 17. Oktober 2016
535

Bundeseinheitlicher Tatbestandskatalog - Stichwortverzeichnis Stichwortverzeichnis mit Angabe der §§                                                                  Seite 428/0 Rechtsgrundlage Tatbestand                                        TBNR          StVO        FeV     StVZO/FZV/MobHV           StVG/ §§          §§             §§             Ferienreise- verordnung Achslasten                                                                          (31d Abs. 1 StVZO) - Überschreiten der zulässigen       334118-334635,                         34 StVZO Achslast                           334148-334659, 334178-334692, 334208-334716, 334232-334743, 334256-334764, 334286-334803, 334316-334827, 334340-334851 - Anordnen/Zulassen                  331148-331818,                         31 Abs. 2 StVZO 331178-331842, 331208-331866, 331238-331888, 331260-331914, 331284-331936 Alkohol - Teilnahme am Straßenverkehr un- ter Alkoholeinfluss                424600-424620                                              § 24a Abs. 1 - Alkohol für FaP                    424654-424660                                              StVG - Alkohol vor Vollendung des 21. Le- bensjahres bzw. bei Fahranfängern  424666-424672                                              § 24c Abs. 1, 2 StVG Amtliches Kennzeichen -> Kennzeichen Andreaskreuz                                 119606-119608,  19 Abs. 1 141360-141365   41 Abs. 1 Anfahren vom Fahrbahnrand                    110130,110131,  10 110172 - über abgesenkten Bordstein         110124,110125   10 110166 - von anderem Straßenteil            110118,110119,  10 110160 Anhängelasten überschritten                  342100-342659,                         42 StVZO - Anordnen/Zulassen                  331296-331976                          31 Abs. 2 StVZO Anhängekupplung nicht vorschriftsmäßig       331036                                 31 Abs. 2 StVZO Anhänger verbotswidrig mitgeführt            342160                                 42 StVZO Anhängen an fahrendes Fahrzeug               123000          23 Abs. 3 Anhängerschein -> Fahrzeugschein -> Zulassungsbescheinigung Anordnung nicht befolgt                      145600,         45 Abs. 4 203006, 203018              3 Abs. 1 Anordnen Fahrzeug mit Mängel                 331006-331124,                         31 StVZO 331609-331632                          31 StVZO Anschnallpflicht                             121172         21a   Abs. 1 Airbag                                       335100-335106                          35a Abs. 8 StVZO Arbeitsmaschine, fehlende Beschriftung/      804600-804518                          4 FZV amtliches Kennzeichen Autotelefon -> Handy Stand: 17. Oktober 2016
536

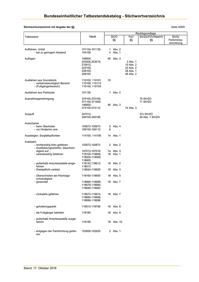
Bundeseinheitlicher Tatbestandskatalog - Stichwortverzeichnis Stichwortverzeichnis mit Angabe der §§                                                             Seite 429/0 Rechtsgrundlage Tatbestand                                       TBNR         StVO       FeV    StVZO/FZV/MobHV    StVG/ §§         §§            §§      Ferienreise- verordnung Auffahren, Unfall                           101124-101130,  1 Abs. 2 - bei zu geringem Abstand           104106          4 Abs. 1 Auflagen                                    146600,        46 Abs. 3 203006,203018,             3 Abs. 1 210012,                   10 Abs. 2 223100,                   23 Abs. 2 228100,                   28 Abs. 1 246100                    46 Abs. 2 Ausfahren aus Grundstück                    110100, 110101 10 - verkehrsberuhigtem Bereich        110106, 110113 - (Fußgängerbereich)                110142, 110154 Ausfahren aus Parklücke                     101136          1 Abs. 2 Ausnahmegenehmigung                         370100,370106,                      70 StVZO 371100-371606,                      71 StVZO 146600,        46 Abs. 3 274100-274112             74 Abs. 3 Auspuff                                     347012,                             47c StVZO 349100-349106                       49 Abs. 1 StVZO Ausscheren - beim Überholen                    105672-105673   5 Abs. 4 - vor Hindernis usw.                106100-106112   6 Aussteigen, Sorgfaltspflichten              114100, 114106 14 Abs. 1 Autobahn - rechtswidrig links gefahren       102672,102673   2 Abs. 2 - Ausfädelungsstreifen, Geschwin- digkeit auf…                      107012-107019  7a Abs. 3 - verbotswidrig befahren            118100-118606, 18 Abs. 1 118500-118506, 118600 - außerhalb Anschlussstelle einge-  118142,118612, 18 Abs. 2 fahren                            118613 - Wartepflicht verletzt             118624-118626  18 Abs. 3 - Überschreiten der Höchstge-       118160-118650  18 Abs. 5 schwindigkeit - gewendet                          118666-118668, 18 Abs. 7 118678-118680, 118690-118692 - rückwärts gefahren                118672-118674, 18 Abs. 7 118684-118686, 118696-118698 - gehalten/geparkt                  118012-118706  18 Abs. 8 - als Fußgänger betreten            118184         18 Abs. 9 - außerhalb Anschlussstelle ausge- fahren                            118196         18 Abs. 10 - entgegen der Fahrtrichtung gefah- 102606-102620   2 Abs. 1 ren Stand: 17. Oktober 2016
537

Bundeseinheitlicher Tatbestandskatalog - Stichwortverzeichnis Stichwortverzeichnis mit Angabe der §§                                                               Seite 430/0 Rechtsgrundlage Tatbestand                                        TBNR         StVO      FeV   StVZO/FZV/MobHV       StVG/ §§        §§           §§         Ferienreise- verordnung B Bahnübergang mit Andreaskreuz                119606-119608  19 - Verstoß gegen die Wartepflicht     119100-119629 - Überholen am …                     105612-105617   5 Abs. 2, Abs. 3 119612-119614  19 Abs. 1 - nicht angepasste Geschwindigkeit   119600         19 Abs. 1 - geschlossene Schranke              119630-119636  19 Abs. 2 Baustelle                                    145606-145618  45 Abs. 6 Beförderung von Kindern                      121118-121606, 21 Abs. 1a 121166-121186  21 Abs. 3 Begleitetes Fahren ab 17 Jahre               248130, 248612            48a Behinderung                                  101106          1 Abs. 2 - durch abgestelltes Fahrzeug        101024          1 Abs. 2 - durch langsames Fahren             103000          3 Abs. 2 Beifahrer -> Airbag -> Sicherheitsgurte Belästigung - Anderer                            101100          1 Abs. 2 - Laufen lassen des Motors/Türen - schlagen/unnötiges Hin- und Her- fahren/vermeidbare Abgasbelästi-   130106-130112  30 Abs. 1 gung - Schallzeichen                      116100         16 Abs. 1 - Leuchtzeichen                      116106         16 Abs. 1 Beleuchtung - ohne Licht/falsches Licht          117100-117102, 17 Abs. 1 117136-117138  17 Abs. 2a - Fahrrad                            123149-123150  23 Abs. 1 - verdeckte/verschmutzte Beleuch- tungseinrichtung                   117106-117108  17 Abs. 1 - bei Gegenverkehr nicht abgeblen-   117112-117114  17 Abs. 2 det - verbotswidrig mit Fernlicht gefah- 117130-117132  17 Abs. 2 ren - Fahren mit Standlicht              117124-117126  17 Abs. 2 - Vorausfahrenden geblendet          117118-117120  17 Abs. 2 - Nebelscheinwerfer missbräuchlich   117142-117144  17 Abs. 3 benutzt - Nebelschlussleuchte missbräuch-    117148-117150  17 Abs. 3 lich benutzt - trotz Sichtbehinderung (Nebel) oh- 117154-117602  17 Abs. 3 ne Abblendlicht - haltendes/parkendes Fahrzeug       117160-117179  17 Abs. 4 nicht/vorschriftswidrig beleuchtet - missbräuchlich Suchscheinwerfer    117184-117186  17 Abs. 6 benutzt                            122166         22 Abs. 5 - der Ladung - Fahren ohne betriebsbereite Be-    123136-123150  23 Abs. 1 leuchtung (Scheinwerfer usw. feh-  349130-349136                     49a StVZO len) - im Tunnel ohne Abblendlicht        142148-142150  42 Abs. 2 - Kennzeichenbeleuchtung vor-       810118                            10 FZV schriftswidrig Berauschende Mittel                          424648-424650                                     § 24a Abs. 2, 3 StVG Bereifung                                    331118                            31, 36 StVZO 336000-336106                     36 StVZO Beschmutzen Anderer                          101018          1 Abs. 2 Stand: 17. Oktober 2016
538

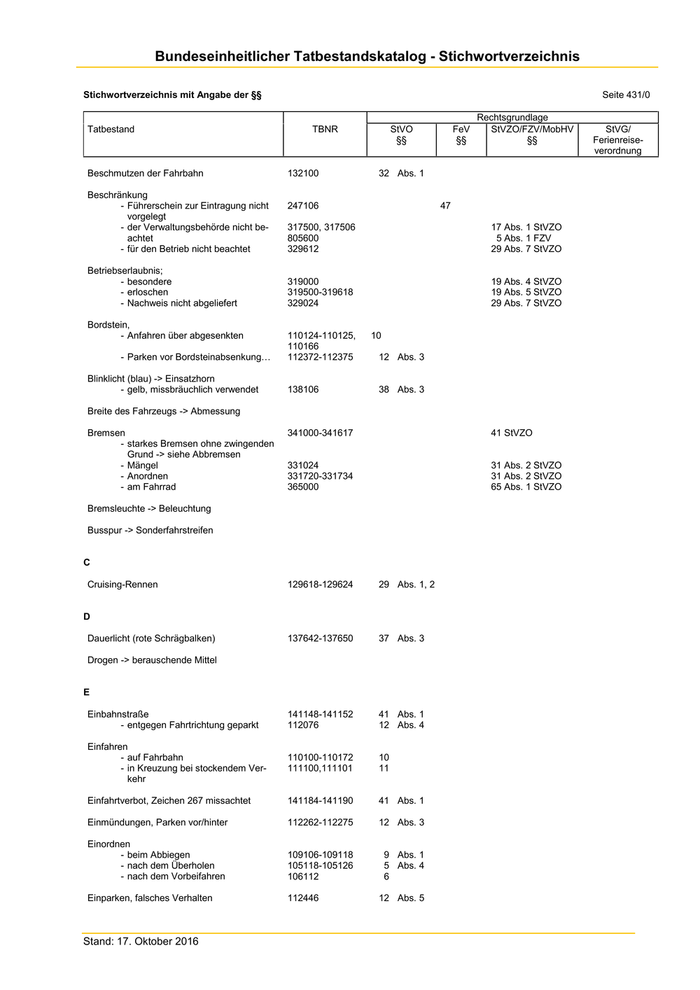
Bundeseinheitlicher Tatbestandskatalog - Stichwortverzeichnis Stichwortverzeichnis mit Angabe der §§                                                                 Seite 431/0 Rechtsgrundlage Tatbestand                                        TBNR           StVO         FeV   StVZO/FZV/MobHV    StVG/ §§           §§            §§     Ferienreise- verordnung Beschmutzen der Fahrbahn                     132100           32 Abs. 1 Beschränkung - Führerschein zur Eintragung nicht 247106                        47 vorgelegt - der Verwaltungsbehörde nicht be-  317500, 317506                         17 Abs. 1 StVZO achtet                            805600                                   5 Abs. 1 FZV - für den Betrieb nicht beachtet    329612                                 29 Abs. 7 StVZO Betriebserlaubnis; - besondere                         319000                                 19 Abs. 4 StVZO - erloschen                         319500-319618                          19 Abs. 5 StVZO - Nachweis nicht abgeliefert        329024                                 29 Abs. 7 StVZO Bordstein, - Anfahren über abgesenkten         110124-110125, 10 110166 - Parken vor Bordsteinabsenkung…    112372-112375    12 Abs. 3 Blinklicht (blau) -> Einsatzhorn - gelb, missbräuchlich verwendet    138106           38 Abs. 3 Breite des Fahrzeugs -> Abmessung Bremsen                                      341000-341617                          41 StVZO - starkes Bremsen ohne zwingenden Grund -> siehe Abbremsen - Mängel                            331024                                 31 Abs. 2 StVZO - Anordnen                          331720-331734                          31 Abs. 2 StVZO - am Fahrrad                        365000                                 65 Abs. 1 StVZO Bremsleuchte -> Beleuchtung Busspur -> Sonderfahrstreifen C Cruising-Rennen                              129618-129624    29 Abs. 1, 2 D Dauerlicht (rote Schrägbalken)               137642-137650    37 Abs. 3 Drogen -> berauschende Mittel E Einbahnstraße                                141148-141152    41 Abs. 1 - entgegen Fahrtrichtung geparkt    112076           12 Abs. 4 Einfahren - auf Fahrbahn                      110100-110172    10 - in Kreuzung bei stockendem Ver-   111100,111101    11 kehr Einfahrtverbot, Zeichen 267 missachtet       141184-141190    41 Abs. 1 Einmündungen, Parken vor/hinter              112262-112275    12 Abs. 3 Einordnen - beim Abbiegen                     109106-109118     9 Abs. 1 - nach dem Überholen                105118-105126     5 Abs. 4 - nach dem Vorbeifahren             106112            6 Einparken, falsches Verhalten                112446           12 Abs. 5 Stand: 17. Oktober 2016
539

Bundeseinheitlicher Tatbestandskatalog - Stichwortverzeichnis Stichwortverzeichnis mit Angabe der §§                                                                Seite 432/0 Rechtsgrundlage Tatbestand                                            TBNR         StVO   FeV   StVZO/FZV/MobHV       StVG/ §§     §§         /MobHV       Ferienreise- §§         verordnung Einrichtungen zur Verbindung von Fahrzeu- gen - Inbetriebnahme                         343000-343623                  43 Abs. 1, 4 StVZO - Inbetriebnahme anordnen                331030                         31 StVZO 331738-331747 Einrichtungen zur Erhöhung der Greifwirkung      337000                         37 Abs. 1 StVZO von Rädern Einsatzhorn                                      138100-138112  38 Abs. 1 Einsatzfahrzeug - trotz Sondersignale keine freie Bahn gemacht                           138112         38 Abs. 1 Einsteigen, dabei Andere - gefährdet                              114100         14 Abs. 1 - geschädigt                             114106 Elektronische Mobilitätshilfe -> Mobilitätshilfe Erlaubnisbescheid -> Genehmigungsbescheid Erlaubnis -> Ausnahmegenehmigung Erste-Hilfe-Material - mangelhaft                             335118-335124                  35h StVZO - nicht vorgezeigt                       331332                         31b StVZO - Anordnen                               331106, 331112                 31 Abs. 2 StVZO F Fahrbahn - als Fußgänger falsch benutzt/überquert                      125100-125007  25 Fahrbahnbenutzung                                102000-102003,  2 Abs. 1 102124-102125, 102603 102673 ff Fahrbahnrand, Anfahrt von                        110130,110131, 10 110172 - nicht rechts gehalten/geparkt          112060-112065  12 Abs. 4 Fahrbahnverengung - Unfall                                 101030          1 Abs. 2 - Vorbeifahren                           106100-106112   6 Fahrbahnverschmutzung                            132100         32 Abs. 1 Fahrgäste -> öffentliche Verkehrsmittel Fahrrad - Beförderung von Personen               121100-121186  21 - freihändig geführt                     123006         23 Abs. 3 - Einrichtungen für Schallzeichen        364100                         64a StVZO - bremstechnische Einrichtungen          365000                         65 StVZO - lichttechnische Einrichtungen          123148-123150, 23 Abs. 1 367100-367006                  67 StVZO Stand: 17. Oktober 2016
540

Bundeseinheitlicher Tatbestandskatalog - Stichwortverzeichnis Stichwortverzeichnis mit Angabe der §§                                                                    Seite 433/0 Rechtsgrundlage Tatbestand                                        TBNR         StVO        FeV     StVZO/FZV/MobHV        StVG/ §§          §§             §§          Ferienreise- verordnung Fahrstreifen - Fahrstreifenwechsel                107100-107106   7 Abs. 5 - falsche Benutzung durch Lkw/Zug    107112-107119   7 Abs. 3c - falsche Benutzung beim Überholen   107124-107613   7 Abs. 3a - Ausfädelungsstreifen               107012-107019  7a   Abs. 3 - Begrenzung überfahren              141253,141254, 41   Abs. 1 141259,        41   Abs. 1 141268,141269, 41   Abs. 1 141277, 141278 Fahrtenbuch                                  331980-331992                         31a StVZO Fahrtrichtung, - Fahren entgegen Zeichen 209 ff.    141142-141144  41 Abs. 1 Fahrtrichtungsanzeiger                       354000                                54 StVZO - nicht benutzt                      110154-110172  10 Fahrtschreiber, Prüfung abgelaufen           357006                                57b StVZO 331066                                31 Abs. 2 StVZO Fahrstreifenbenutzung links                  107112-107119    7 Abs. 3c - bei extrem widrigen Wetterverhält- nissen                             118712          18 Fahrzeug - Mängel                             123166         23 Abs. 2 - Abmessung -> Abmessung - nicht vorschriftsmäßig             330000-330606,                        30 StVZO 330618-330626 Fahrzeugerwerb nicht angezeigt               813100                                13 Abs. 1 FZV Fahrzeugverkauf -> Halterwechsel Fahrzeugschein -> Zulassungsbescheinigung Fernlicht                                    117130-117132  17 Abs. 2 - Überholen angekündigt u. Gegen- verkehr geblendet                  105600          5 Abs. 5 Feuerlöscher                                 331100                                31 Abs. 2, 35g StVZO - in Kraftomnibussen                 335112                                35g Abs. 1 StVZO - fristgerecht prüfen lassen         335024                                35g Abs. 4 StVZO - nicht vorgezeigt                   331332                                31b StVZO Fracht und Begleitpapiere                    503006                                                 3,5 Ferienreise- verordnung Freihändig Fahren                            123006         23 Abs. 3 607036                                7 Abs 4 MobHV Führen eines verkehrswidrigen Fahrzeuges     123100-123613  23 - ohne Auflagen zu beachten          223100,                    23 -                                    371100,371606                         71 StVZO Anordnen/Zulassen                  371600 Führer eines Fahrzeuges, ungeeignet          331000                                31 StVZO - Anordnen                           331600-331614                         31 StVZO Führerschein - nicht mitgeführt/ausgehändigt      204100-204106              4 Abs. 2 - nicht abgeliefert                  225100                     25 Abs. 5 - für Fahrgastbeförderung nicht mit- geführt                            248600-248606              48 - Verlustanzeige                     225106                     25 Abs. 4 - abliefern bei Fahrerlaubnisentzug  247100-247118,             47 Abs. 1 248112, 248118             48 Abs. 10 Stand: 17. Oktober 2016
541

Bundeseinheitlicher Tatbestandskatalog - Stichwortverzeichnis Stichwortverzeichnis mit Angabe der §§                                                                  Seite 434/0 Rechtsgrundlage Tatbestand                                          TBNR         StVO        FeV     StVZO/FZV/MobHV    StVG/ §§          §§          GGVSEB     Ferienreise- §§      verordnung/ Fußgänger - trotz geistiger Mängel am Verkehr teilgenommen/Zulassen                202006-202012              2 Abs. 1 - Autobahn/Kraftfahrstraße betreten    118184-118190  18 Abs. 9 - falsches Verhalten von Fußgän- gern                                 125100-125007  25 - Haltgebot/Zeichen eines Polizeibe- amten nicht befolgt                  136000-136006  36 Abs. 1 - Fahrverkehr behindert                142000         42 Abs. 2 Fußgängerampel - Rotlicht missachtet                  137100,137101  37 Abs. 2 Fußgängerbereich 141154-141172, 41 Abs. 1 141603-141612, 141736,141739, - Fußgängerbereich -> Parken           142000-142601  42 Abs. 2 - Ausfahren aus                        110106,110107  10 Fußgängerüberweg - falsches Verhalten als Fahrzeug- führer                               126600-126614  26 - Halten/Parken vor oder auf…          141290-141305  41 Abs. 1 Fußgängerzone -> Fußgängerbereich G Gasse für Polizei- und Hilfsfahrzeuge          111106         11 Abs. 2 Gefährdung - Anderer                              101112          1 Abs. 2 - durch Fahren auf dem Hinterrad       101500          1 Abs. 2 - beim Überholen                       105607          5 Abs. 2 - beim Vorbeifahren an einem Hin- dernis                               106101          6 - durch Gerät                          132118         32 Abs. 2 - von Kindern, Hilfsbedürftigen, älte- ren Menschen                         103708,103709   3 Abs. 2a Gefahrgutbeförderung                           519500-529518                         19, 29 GGVSEB Gegenstände - auf Fahrbahn                         132600         32 Abs. 1 - aus Fahrzeug herausragend            122172         22 Abs. 5 - Aushändigen/Vorzeigen verweigert     331332                                31b StVZO Gegenverkehr, bei Zeichen 208                  141139-141141  41 Abs. 1 Gehör beeinträchtigt                           123106         23 Abs. 1 Gehweg als Kfz-Führer befahren                 102100-102103   2  Abs. 1 - Parken über Schachtdeckel            112322-112325  12  Abs. 3 - Halten/Parken                        112050-112405  12  Abs. 4 112432-112435  12  Abs. 4a 141042-141045, 41  Abs. 1 141403-141116 Genehmigungsbescheid                           146100,146106  46 Abs. 3 Geistige Mängel -> Mängel Gelblicht missachtet                           137000-137006  37 Abs. 2 Stand: 17. Oktober 2016
542

Zur nächsten Seite