WD 1 - 015/12 Lobbying und Interessenvertretungs-Transparenz-Gesetz LobbyG in Österreich

Geschichte, Zeitgeschichte, Politik

/ 109
PDF herunterladen
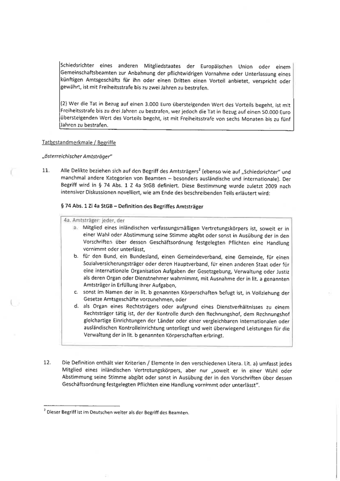
Schiedsrichter eines anderen Mitgliedstaates der Europäischen Union oder einem
Gemeinschaftsbeamten zur Anbahnung der pflichtwidrigen Vornahme oder Unterlassung eines
künftigen Amtsgeschäfts für ihn oder einen Dritten einen Vorteil anbietet, verspricht oder
gewährt, ist mit Freiheitsstrafe bis zu zwei Jahren zu bestrafen.

(2} Wer die Tat in Bezug auf einen 3.000 Euro übersteigenden Wert des Vorteils begeht, ist mit
Freiheitsstrafe bis zu drei Jahren zu bestrafen, wer jedoch die Tat in Bezug auf einen 50.000 Euro

übersteigenden Wert des Vorteils begeht, ist mit Freiheitsstrafe von sechs Monaten bis zu fünf
Jahren zu bestrafen.

Tatbestandmerkmale / Begriffe

„Österreichischer Amtsträger”

11.

12.

Alle Delikte beziehen sich auf den Begriff des Amtsträgers? (ebenso wie auf „Schiedsrichter“ und
manchmal andere Kategorien von Beamten — besonders ausländische und internationale). Der
Begriff wird in $ 74 Abs. 1 Z 4a StGB definiert. Diese Bestimmung wurde zuletzt 2009 nach
intensiver Diskussionen novelliert, wie am Ende des beschreibenden Teils erläutert wird:

5 74 Abs. 1 Zi 4a StGB - Definition des Begriffes Amtsträger

 

 

| 4a, Amtsträger: jeder, der

a. Mitglied eines inländischen verfassungsmäßigen Vertretungskörpers ist, soweit er in
einer Wahl oder Abstimmung seine Stimme abgibt oder sonst in Ausübung der in den
Vorschriften über dessen Geschäftsordnung festgelegten Pflichten eine Handlung
vornimmt oder unterlässt,

b. für den Bund, ein Bundesland, einen Gemeindeverband, eine Gemeinde, für einen
Sozialversicherungsträger oder deren Hauptverband, für einen anderen Staat oder für
eine internationale Organisation Aufgaben der Gesetzgebung, Verwaltung oder Justiz
als deren Organ oder Dienstnehmer wahrnimmt, mit Ausnahme der in lit. a genannter
Amtsträger in Erfüllung ihrer Aufgaben,

c. sonst im Namen der in lit. b genannten Körperschaften befugt ist, in Vollziehung der
Gesetze Amtsgeschäfte vorzunehmen, oder

d. als Organ eines Rechtsträgers oder aufgrund eines Dienstverhältnisses zu einem
Rechtsträger tätig ist, der der Kontrolle durch den Rechnungshof, dem Rechnungshof
gleichartige Einrichtungen der Länder oder einer vergleichbaren internationalen oder
auständischen Kontrolleinrichtung unterliegt und weit überwiegend Leistungen für die

| Verwaltung der in lit. b genannten Körperschaften erbringt.

Die Definition enthält vier Kriterien / Elemente in den verschiedenen Litera. Lit. a} umfasst jedes
Mitglied eines inländischen Vertreiungskörpers, aber nur „soweit er in einer Wahl oder
Abstimmung seine Stimme abgibt oder sonst in Ausübung der in den Vorschriften über dessen
Geschäftsordnung festgelegten Pflichten eine Handlung vornimmt oder unterlässt”.

 

° Dieser Begriff ist im Deutschen weiter als der Begriff des Beamten,
51

13.

14.

15.

16.

Lit. b) umfasst jede Person (mit Ausnahme der Mitglieder von inländischen Vertretungskörpern,
für welche lit. a) eine Regelung trifft), die — in Ausübung ihrer Pflichten - als Organ oder
Dienstnehmer einer Bundes- oder Landeseinrichtung oder eines Sozialversicherungsträgers, ob
im Inland oder für das Ausland oder für eine internationale Organisation, handelt und Aufgaben
der Gesetzgebung, Verwaltung oder Justiz wahrnimmt. Ein „Organ“ eines dieser in 5 74 Abs. 1 Zi
4a lit. b StGB angeführten Einrichtungen ist eine natürliche Person, die besondere öffentliche
Funktionen ausübt, wie der Bundespräsident, Minister oder Mitglieder der Landesregierungen
eberiso wie die gewählten oder ernannten Organe der Verwaltung, wie Bürgermeister auf
Gemeindeebene. „Dienstnehmer“ bedeutet jeden, der eine nahe persönliche und wirtschaftliche
Beziehung zu diesen Einrichtungen hat und innerhalb der Struktur der Organisation arbeitet, wie
Richteramtsanwärter oder Verwaltungspraktikanten,. Die Funktion innerhalb der Hierarchie hat
keine Auswirkung auf die Qualifikation als Amtsträger. Darüber hinaus umfasst die Definition

Richter und Staatsanwälte oder andere Personen, die in der Rechtsprechung tätig sind, wie
Schöffen oder Geschworene.

Lit. c) umfasst Personen, die für die in lit. b) genannten Einrichtungen arbeiten, wenn sie das
Gesetz vollziehen, Dies beinhaltet zum Beispiel Notare, die vom Gericht eingesetzt werden oder
Mechaniker, die damit beauftragt werden, technische Überprüfungen von Autos für die
Verwaltungsbehörden durchzuführen, oder Angestellte der Österreichischen Nationalbank, die
mit Kontrollfunktionen im Zusammenhang mit der Finanzmarktaufsicht betraut sind.

Schließlich definiert $ 74 Abs. 1 Zi 4a lit. d StGB als Amtsträger auch Organe oder Dienstnehmer
eines Rechtsträgers, der der Kontrolle durch den Rechnungshof, dem Rechnungshof gleichartiger
Einrichtungen der länder oder einer vergleichbaren internationalen oder ausländischen
Kontrolleinrichtung unterliegt und der weit überwiegend Leistungen für die Verwaltung einer
unter b) angeführten Körperschaft erbringt. Ein Rechtsträger erbringt „weit überwiegend
Leistungen für die Verwaltung“ wenn die Hauptkunden Verwaltungen von unter b) genannten
Körperschaften sind und die Art des Geschäftes im Bereich der Erhaltung von Infrastruktur der
Verwaltung liegt. Solche Einrichtungen umfassen das Österreichische Rechenzentrum, die
Bundesbuchhaltungsagentur oder die Bundesimmobiliengesellschaft. Organisationen oder
Unternehmen, die auf dem kommerziellen Markt auftreten, fallen nicht unter diese Definition,

Personen, die unter $ 74 Abs, 1 Zi 4a Hit, a) StGB fallen (Mitglieder inländischer
Vertretungskörper) unterliegen manchmai den Bestechungsbestimmungen auf unterschiedliche
Art wie andere Kategorien von Amtsträgern (siehe dazu auch Randziffer 30ff über die Bestechung
von Mitgliedern inländischer Vertretungskörper).

„versprechen, anbieten oder gewähren“ (aktive Bestechung)

17,

Die relevanten Delikte der aktiven Bestechung im StGB betreffend Amtsträger (d.h. Bestechung
nach & 307, Vorteilszuwendung nach & 307a, Vorbereitung der Bestechung nach 8 307b)
verwenden alle einheitlich und durchgehend die Formulierung „anbieten, versprechen oder
gewähren” eines Vorteils,

„Forderung oder Annahme, Annahme eines Angebotes oder Versprechens” (passive Bestechung)

18.

Die relevanten Delikte der passiven Bestechung im StGB betreffend Amtsträger (d.h,
Bestechlichkeit nach $ 304, Vorteilsannahme nach 8 305, Vorbereitung der Bestechlichkeit oder
Vorteilsannahme nach $ 306) verwenden die Formulierung „fordern, annehmen oder sich
52

versprechen lassen” eines Vorteils. In 8 305, der die passive Bestechung ohne Pflichtverletzung
regelt, sind die oben genannten Elemente aufgesplittet: Absatz 1 bezieht sich auf „annehmen
oder sich versprechen lassen“ und im Absatz 2 ist nur von „fordern“ die Rede. Nach dem
Verständnis des GET bezieht sich der erste Absatz also auf solche Situationen, in welchen der
Amtsträger gegen ein ausdrückliches Verbot handelt'und der zweite Absatz auf jene, in welchen
das Delikt begangen wird, weil der Amtsträger einen Vorteil fordert ohne dass es dafür eine
ausdrückliche Erlaubnis gibt. Ein ähnlicher Ansatz findet sich in $ 306 StGB, dessen Absatz 2 sich
nur auf „fordern“ bezieht; im Gegensatz zu Absatz 1 fordert Absatz 2 nicht ausdrücklich eine
Pflichtverletzung, sondern das Fehlen einer Erlaubnis.

„Jeder ungerechtfertigte Vorteil”

19.

20.

21.

Alie Bestimmungen über aktive und passive Bestechung der 58 304 bis 307c StGB beziehen sich
auf das Konzept des „Vorteils”,

Die Antworten auf den Fragebogen legen dar, dass mit dem Strafrechtsänderungsgesetz 1998
der Anwendungsbereich der Bestechungsdelikte ausgeweitet wurde vom Vermögensvorteil auf
alle Arten von Vorteilen, worunter nunmehr jede Zuwendung (geldwert oder immateriell)
verstanden werden muss, auf welche die Person keinen Rechtsanspruch hat und durch welche er
oder sie sich in einer besseren Position befindet. Wenn ein bestimmter Wert eines Vorteils
quantifiziert werden kann, dann handelt es sich um einen geldwerten Vorteil (d,h. eine
bestimmte Summe Geld, ein Wertgegenstand, Dienstleistungen, Konzertkarten, Rabatte,
Einladungen, etc.}. Andere Vorteile wie soziate oder berufliche Vorteile (d.h. Verleihung einer
Auszeichnung, Ratschläge oder Unterstützung eines Bewerbungsgesuches etc.), die man nicht in
Geld bewerten kann, sind immaterielle Vorteile, die von den 85 304, 305, 306, 307, 307a und
307b StGB ebenfalls umfasst werden.

Der österreichische Gesetzgeber verwendet den Begriff „ungerechtfertigter” Vorteil nicht. Die
Antworten auf den Fragebogen zeigen, dass, soweit es die Bestimmungen der 88 304 und 307
betrifft, jeder Vorteil automatisch ungerechtfertigt ist, weil er darauf abzielt oder dafür gegeben
wird, dass eine Handlung gegen die Pflichten des Amtsträgers vorgenommen wird (= eine
unrechtmäßige Handlung / ein Verstoß gegen die Amtspflicht). Was die 88 305 und 30732 StGB
angeht (die Bestechungsdelikte umfassen, denen kein pflichtwidriges Handeln zugrunde liegt), so
liegt nach dem Wortlaut der Bestimmungen Bestechung dann vor, wenn der Vorteil „entgegen
einem dienst- oder organisationsrechtlichen Verbot” angeboten, angenommen, gefordert etc.
wird. Das bedeutet, man muss aus dem jeweiligen Dienstrecht oder den internen
Geschäftsordnungen entnehmen, wann ein Vorteil legitim ist {z.B. übliche Geschenke von
geringem Wert) und wann nicht’. Nach der Rechtsprechung des Verwaltungsgerichtshofs sind

Geldgeschenke (Trinkgeld} nie „üblich“. Daher sind sogar die geringwertigsten Zahlungen nicht
erlaubt.

„unmittelbar oder mittelbar”

 

’ Beispielsweise verbietet $ 53 Abs.1 des Beamtendienstrechtsgesetzes die Annahme von jeglichen Geschenken
oder Vorteilen durch einen Beamten, die im Hinblick auf dessen amtliche Stellung gegeben werden, während 5 59
Abs. 2 BDG übliche Geschenke geringen Wertes (insbesondere Werbeartikel wie billige Kugelschreiber, Kalender
ect.) vom Verbot des Abs. 1 ausnimmt, Daher fallen übliche Geschenke geringen Wertes nicht unter das
Geschenkannahmeverbot des & 53 Abs. 1 BDG: Die neun Bundesländer haben jeweils ein eigenes
Beamtendienstrecht und alle enthalten dem 8 59 BDG entsprechende Bestimmungen.
53

22.

55 304 bis 307b enthalten keinen Hinweis darauf, dass die mittelbare Bestechung (dies bedeutet,
dass der Täter sich eines Dritten bedient) strafbar ist. Die Antworten auf den Fragebogen zeigen,
dass gemäß den allgemeinen Grundsätzen des Strafrechtes, insbesondere 5 12 StGB, trotzdem
sowohl mittelbare als auch unmittelbare Bestechung umfasst wird: 1) sind der Bestecher und der
Bestochene immer strafrechtlich verantwortlich, unabhängig davon, ob und wenn ja wieviele
Dritte zwischengeschaltet sind und unabhängig davon, ob der Dritte selbst auch verantwortlich
ist, jeweils abhängig von den Umständen des Einzelfalles”; 2) kann nicht nur der unmittelbare
Täter für das Delikt bestraft werden, sondern auch jeder, der einen anderen bestimmt, eine

Straftat zu begehen ebenso wife jeder, der auf eine andere Art zur Begehung beiträgt {wobei für
alle grundsätzlich derseibe Strafrahmen gilt).

„Für Ihr selbst oder einen Dritten”

23.

53 304 und 305 StGB bestimmen ausdrücklich, dass der Vorteil entweder dem Amtsträger selbst

oder für einen Dritten angeboten, versprochen oder gegeben bzw, von diesem gefordert oder
angenommen werden muss.

„Handlung oder Unterlassung bei der Wahrnehmung seiner oder ihrer Aufgaben“

24.

25.

$$ 304 und 305 StGB (über passive Bestechung) und 85 307 und 307a StGB (über aktive
Bestechung) beziehen sich auf strafbares Verhalten, das darauf abzielt, dass ein Amtsträger eine
Amtshandlung vornimmt oder unterlässt, wodurch er/sie entweder seine/ihre Amtspflichten
verletzt [35 304 und 307) oder im Rahmen seiner/ihrer Amtspflichten handelt (88 305 und 307a).
Das Konzept der „Vornahme oder Unterlassung einer Amtshandlung” beinhaltet jede Handlung
des Amtsträgers, welche ausgeführt wird, um seine oder ihre zugewiesenen Aufgaben zu
erfüllen. Es ist irrelevant, ob die Aufgabe zur öffentlichen oder privatwirtschaft!ichen Verwaltung
gehört. Der Begriff der „Amtshandlung“ umfasst faktische Handlungen, die vorbereitenden,
unterstützenden oder überprüfenden Charakter haben können. Es ist auch gleichgültig, ob die
betreffende Handlung in den Zuständigkeitsbereich (sachlich oder örtlich) des Amtsträgers fällt,
solange der Amtsträger die (abstrakte) Macht hat, Amtsgeschäfte (dieser Art) durchzuführen.

Handlungen, die komplett außerhalb der Zuständigkeit dieses Amtsträgers liegen, fallen nicht
unter diesen Begriff”.

Ein Amtsträger handelt in Verletzung seiner Amtspflichten, wenn die Amtshandlung der
konkreten gesetzlichen Grundlage, den Verordnungen, verbindlichen Anweisungen oder
Richtlinien der Dienstbehörde widerspricht. Gemäß dem Grundsatz der Entscheidungsfindung
basierend auf Fakten darf sich der Amtsträger ausschließlich von Tatsachen und dem Gesetz
leiten lassen. Ebenso muss dieser Grundsatz eingehalten werden, wenn der Amtsträger mit
einem Ermessensspielraum ausgestattet ist. Die Amtspflichten des Amtsträgers umfassen den
Grundsatz des unparteilichen Handelns. Eine nicht unparteiliche Handlung ist per se eine
Verletzung der Amtspflicht, wenn beispielsweise eine Anfrage oder ein Antrag vorrangig oder
beschleunigt bearbeitet wird (RIS- Justiz RS0096116). Wenn der Amtsträger die Handlung gleich

 

* Wenn der Dritte mit der Bestechung an sich nichts zu tun hat (z.B. nur einen Briefumschlag mit dem
Bestechungsgeld übergibt, ohne zu wissen, was er überbringt und ohne den Zweck zu kennen), haften nur der
Bestecher und der Bestochene. Wenn jedoch der Dritte bewusst ein Teil des Bestechungsszenarios ist, dann kann
er oder sie unter Umständen sowohl für aktive, als auch für passive Bestechung oder sogar beides zur
Verantwortung gezogen werden.

* Fuchs/Jerabeck in „Korruption und Amtsmissbrauch“, 3. Auflage 2010, Kommentar zu 88 304-306.
54

durchführt, ob er nun einen Vorteil erhält, oder nicht, kann dies als im Einklang mit den
Amtspflichten betrachtet werden.

„vorsätzlich begangen”

26.

Das österreichische Recht trifft in $ 5 StGB eine Unterscheidung der Ebenen des strafrechtlichen
Vorsatzes, die wie folgt übersetzt werden können: a) Vorsatz basierend auf einer möglichen
Durchführung der Handlung (dolus eventualis); b) Absicht (Vorsatz 2. Grades, basierend auf der
willentlichen Durchführung der Handlung oder dem Erfolg der Handlung); c]) Wissentlichkeit
(Vorsatz 1, Grades, basierend auf der Gewissheit der Durchführung der Handlung oder des
Erfoiges der Handlung). Aktive und passive Bestechung nach den 88 304, 305, 306, 307a und
307b StGB sind Vorsatzdelikte, aber dolus eventualis ist ausreichend. Nur die Verbotene
Intervention nach 5 308 StGB erfordert das oben genannte Element der Wissentlichkeit.

Sanktionen

27.

Die folgende Tabelle steilt einen Überblick über die verschiedenen Sanktionen der 58 304 bis
307b (ebenso wie $ 308 über Verbotene Intervention) dar, wobei zum Zwecke der
Vergleichbarkeit andere ähnliche Delikte wie Untreue ($ 153 StGB) und Missbrauch der
Amtsgewalt (5 302 StGB} ebenfalls angeführt sind, letzteres Delikt ist nämlich jenes, das am
häufigsten zur Verfolgung von Korruptionsdelikten herangezogen wird - siehe auch die
Erklärungen zu den statistischen Daten am Ende des beschreibenden Teils dieses Berichtes.

Bestimmung Sanktion Verjährung

jeweils nach den Umständen des | 8 57 StGB
Einzelfalles

 

  

& 153 StGB Untreue
Abs.1

   
 
 
 
     
    

Freiheitsstrafe bis zu & Monaten | 1 Jahr
oder Geldstrafe bis zu 360
Tagessätzen

 

 

  

Abs. 2
{bei einem EUR 3.000,- übersteigenden
Schaden)

(bei einem EUR 50.000,- übersteigenden | Freiheitsstrafe von einem bis zu 10 10 Jahre
Schaden) Jahren

Freiheitsstrafe bis zu 3 Jahren 5 Jahre

 

 

$ 153a StGB Geschenkannahme durch | Freiheitsstrafe bis zu einem Jahr 3 Jahre
Machthaber

& 168c StGB Geschenkannahme durch
Bedienstete oder Beauftragte

 

 

Abs.1 Freiheitsstrafe bis zu zwei Jahren 5 Jahre
Abs. 2 (Vorteil übersteigt den Betrag von | Freiheitsstrafe bis zu 3 Jahren 5 Jahre
EUR 3.000,-)

5 168d StGB Bestechung von | Freiheitsstrafe bis zu 2 Jahren 5 Jahre
Bediensteten oder Beauftragten
$ 302 StGB Missbrauch der Amtgewalt 77T 0 |

Aas.1 Freiheitsstrafe von 6 Monaten bis | 5 Jahre
zu 5 Jahren
Abs. 2 (schwerer Missbrauch der | Freiheitsstrafe von 1 Jahr bis zu 10 | 10 Jahre
55

Amtsgewalt)
$ 304 StGB Bestechlichkeit

  

 
   
   
    
      

 
 
  
  

Abs. 2
3.000,-}

50.000,-)
5 305 StGB Vorteilsannahme

   
 
 
 
 
  

 
  

Abs. 3

 
    
  

3.000,-)

50.000,-)

& 306 StGB Vorbereitung der
Bestechlichkeit oder der
Vorteilsannahme

(Vorteil übersteigt den Betrag von EUR

(Vorteil übersteigt den Betrag von EUR

(Vorteil übersteigt den Betrag von EUR

(Vorteil übersteigt den Betrag von EUR

 

 

Jahren

  

 
 

  

 

Freiheitsstrafe bis zu drei Jahren

  

5 Jahre

    

Freiheitsstrafe von 6 Monaten bis
zu 5 Jahren

Freiheitsstrafe von 1 Jahr bis zu 10 | 10 Jahre
Jahren

5 Jahre

    

Freiheitsstrafe bis zu 2 Jahren 5 Jahre
Freiheitsstrafe bis zu 2 Jahren _| s Jahre

Freiheitsstrafe bis zu 3 Jahren 5 Jahre

  

  

Freiheitsstrafe von 6 Monaten bis | 5 Jahre
zu 5 Jahren

   

 

 

 

  
 

 

 
  
  

 

 

 

 

 

_—
Abs. 1 Freiheitsstrafe bis zu 2 Jahren 5 lahre
Abs, ? Freiheitsstrafe bis zu 2 Jahren 5 lahre
Abs. 3
(Vorteil übersteigt den Betrag von EUR Freiheitsstrafe bis zu 3 !ahren 5 Jahre
3.000,-) Freiheitsstrafe von 6 Monaten bis
(Vorteil übersteigt den Betrag von EUR zu 5 Jahren 5 Jahre
50.000,-)
$ 307 StGB Bestechung
Abs, 1 Freiheitsstrafe bis zu 3 Jahren 5 Jahre

 

 
    

 

Abs. 2
(Vorteil übersteigt den Betrag von EUR
3,000,-)

(Vorteil übersteigt den Betrag von EUR
50.000,-)

Freiheitsstrafe von sechs Monaten | 5 Jahre
bis zu 5 Jahren
Freiheitsstrafe von 1 Jahr bis zu 10 | 10 Jahre

 

 
  

 

5 307a StGB Vorteilszuwendung
Abs. 1
"Abs. 2

(Vorteil übersteigt den Betrag von EUR
3.000,-)

(Vorteil übersteigt den Betrag von EUR
50.000,-)

5 308 StGB Verbotene Intervention

   

  
 
  
  
   

Jahren
|

Freiheitsstrafe bis zu 2 Jahren | 5 Jahre

  
   
       
    
 
 

Freiheitsstrafe bis zu 3 Jahren 5 Jahre
Freiheitsstrafe von sechs Monaten
bis zu fünf Jahren 5 Jahre

 

Vorteil übersteigt den Betrag von EUR
3.000,- nicht

Vorteil übersteigt den Betrag von EUR
3.000,-

Vorteil übersteigt den Betrag von EUR
50.000, -

1510 UWG - Bestechung von

 

     
      
       
    

    

Freiheitsstrafe bis zu 2 Jahren 5 Jahre

Freiheitsstrafe bis zu 3 Jahren 5 Jahre

Freiheitsstrafe von sechs Monaten
bis zu fünf Jahren

5 Jahre
56

Bediensteten oder Beauftragten
Abs.1

  
 

        
 

Freiheitsstrafe von bis zu drei
Monaten oder Geldstrafe (bis zu
130 Tagessätze)

Freiheitsstrafe von bis zu drei
Monaten oder Geldstrafe (bis zu
180 Tagessätze)

 
  

 

     
   

28. Gemäß & 27 StGB verliert ein Beamter, der von einem österreichischen Gericht wegen einer
vorsätzlich begangenen Straftat verurteilt wurde, bei Vorliegen der gesetzlichen
Voraussetzungen, sein Amt, wenn die verhängte Freiheitsstrafe ein Jahr übersteigt (auch wenn
sie bedingt nachgesehen wurde) oder die tatsächlich zu verbüßende Freiheitsstrafe sechs
Monate übersteigt oder wenn die Verurteilung (auch) wegen & 212 StGB (Missbrauch eines
Autoritätsverhältnisses für sexuelle Zwecke) erfolgte. Darüber hinaus kann der Arbeitgeber
disziplinäre Maßnahmen auf der Grundlage des öffentlichen Dienstrechtes ergreifen

(Beamtendienstrechtsgesetz, Richter- und Stastsanwaltschaftsdienstgesetz), oder
arbeitsrechtliche Schritte einleiten.

Gerichtsentscheidungen, Rechtssprechung
29. Wie oben angeführt enthält auch die Entscheidung RIS-Justiz RS096116 relevante Kriterien,

Bestechun und Bestechlichkeit von

Vertretungskörperschaften (Artikel 4 SEV Nr. 173)

            

Mitgliedern inländischer öffentlich-rechtlicher

30. Wie oben erwähnt, umfasst das Konzept des „Amtsträgers” des $ 74 Abs. 1 Zi, 43 StGB Mitglieder
inländischer Vertretungskörper unter lit. a durch Bezugnahme auf alle „Mitglieder eines
inländischen verfassungsmäßigen Vertretungskörpers”, aber nur insofern, als sie bei einer Wahl
oder Abstimmung ihre Stimme abgeben oder sonst in Ausübung der in den Vorschriften über
dessen Geschäftsordnung festgelegten Pflichten eine Handlung vornehmen oder unterlassen. Die
österreichischen Behörden haben vor Ort erklärt, dass die Bestechung von Mitgliedern von
Vertretungskörpern (zum Zwecke des Stimmenkaufs) im Jahr 2008 eingeführt wurde. Die
Bestimmungen wurden 2009 als Folge von öffentlichen Kontroversen über die besondere
Behandlung gewählter Amtsträger ausgeweitet, sodass auch die Ausübung von in der
„Geschäftsordnung festgelegten Pflichten” erfasst wurde.

31. Die Geschäftsordnungen des Nationalrates, der Landtage der Bundesländer und der
Gemeinderatsversammlungen sind daher heranzuziehen, wenn die Pflichten der Abgeordneten
bzw. Mitglieder bestimmt werden. 58 2, 11 und i2 der Geschäftsordnung des Nationalrates
legen die Pflichten der Nationalratsmitglieder fest. Diese umfassen insbesondere die Pflicht, das
Amt anzutreten, an Sitzungen teilzunehmen, sich an Ausschüssen zu beteiligen, in welche das
Mitglied gewählt wurde, mitzuteilen, wenn er oder sie an der Teilnshme an einer Sitzung
verhindert ist. Für Landtagsabgeordnete und Gemeinderatsmitglieder gibt es ähnliche
Bestimmungen. Für den Fall, dass ein Nationafratsmitglied mehrere Ämter inne hat
[Doppeifunktion z.B. als Nationalratsmitglied und Bürgermeister), hängt die Unterstellung unter
lit. a oder lit. b des $ 74 Abs. 1 Zi 4a StGB vom konkreten Kontext, in weichem sie/er eine
Amtshandlung durchführt oder unterlässt(der Art der Amtshandlung), ab. Wenn zum Beispiel
einer Person, die eine Doppelfunktion als Nationalratsmitglied und Bürgermeister innehat, für
57

32.

33.

die Erteilung einer Baubewilligung ein Vorteil angeboten wird- was eine der Amtsaufgaben des

Bürgermeisters darstellt -, wird der Fall unter die Definition der lit. b des $ 74 Abs. 1 Zi da StGB
subsumiert.

Zusätzlich muss erwähnt werden, dass & 74 Abs. 1 Zi 4a lit. a StGB inländische Mitglieder von
Vertretungskörpern betrifft, während ausländische Abgeordnete, wenn sie
Gesetzgebungsaufgaben erfüllen, chne Einschränkung unter die Definition von Amtsträgern
gemäß 8 74 Abs. 1Zi 4a lit. b StGB fallen.

Mitglieder von inländischen Vertretungskörpern unterliegen daher denselben Regeln wie
inländische Amtsträger, mit den folgenden Ausnahmen: 55 305 und 3073 StGB sind auf
Mitglieder von Vertretungskörpern nicht anwendbar, daher sind Bestechung und Bestechlichkeit
in diesem Zusammenhang nur dann strafbar, wenn eine Verletzung von Amtspflichten vorliegt
(nach 88 304 und 307 StGB). Deshalb sind die Bestimmungen der Vorbereitung von Bestechung
und Bestechlichkeit nach 5 306 und 3 307b jeweils nur auf passive und aktive Bestechungsdelikte
anwendbar, denen eine Verletzung von Amtspflichten zu Grunde liegt (88 304 und 307).

Sanktionen, relevante Gerichtsentscheidungen

34.

35.

36,

Die möglichen Sanktionen betreffend die angeführten Delikte variieren von Freiheitsstrafe bis zu
zwei Jahren {was die geringste Strafdrohung darstellt] bis hin zu Freiheitsstrafe von einem bis zu
zehn Jahren (was die höchste Strafdrohung darstellt).

Nach der Nationalratswahlordnung verliert eine Person, die von einem österreichischen Gericht
wegen einer Vorsatzstraftat (einschließlich aktiver oder passiver Bestechung) zu einer ein Jahr
übersteigenden Freiheitsstrafe verurteilt wird, das passive Wahlrecht. Das Verbot läuft sechs
Monate nach Ende der Vollstreckung der Strafe ab. Wenn das Gericht die Strafe bedingt
verhängt, behält die Person das passive Wahlrecht (8 41 der Nationalratswahlordnung). Ähnliche
Bestimmungen finden sich auch in den Wahlordnungen der Landtage oder der Gemeinderäts.

Den Antworten auf den Fragebogen konnten keine relevanten Gerichtsentscheidungen
entnommen werden.

Bestechung und Bestechlichkeit ausländischer Amtsträger (Artikel 5 SEV Nr. 173)

37.

Wie oben erwähnt, umfasst das Konzept des „Amtsträgers” nach & 74 Abs, 1 Zi da StGB auch
ausländische Amtsträger unter lit. b durch Bezugnahme auf jede Person, die „...für einen
anderen Staat oder für eine internationale Organisation Aufgaben der Gesetzgebung, Verwaltung
oder Justiz als deren Organ oder Dienstnehmer wahrnimmt“. Alle anderen Kriterien für die
Definition des Amtsträgers sind, mit Ausnahme der lit. a, welche sich spezieli auf Mitglieder
nationaler Vertretungskörper bezieht, auch auf ausländische Amtsträger anwendbar (siehe
Randziffern 12 und 16 oben). Daher bezieht sich Bestechung von ausländischen Amtsträgern
auch auf jede Person, die „sonst im Namen der in lit. b. genannten Körperschaften befugt ist, in
Vollziehung der Gesetze Amtsgeschäfte vorzunehmen“ (lit. c.) oder „als Organ eines
Rechtsträgers oder aufgrund eines Dienstverhältnisses zu einem Rechtsträger tätig ist, der der
Kontrolle durch den Rechnungshof, dem Rechnungshof gleichartige Einrichtungen der Länder
oder einer vergleichbaren internationalen oder ausländischen Kontrolleinrichtung unterliegt und

weit überwiegend Leistungen für die Verwaltung der in lit. b. genannten Körperschaften
erbringt” (lit. d.).
58

38.

Den Antworten auf den Fragebogen ist zu entnehmen, dass daher 58 304 bis 307a StGB auf
gleiche Art und Weise (so wie für inländische Amtsträger) auf die Bestechung ausländischer
Amtsträger anzuwenden sind. Allerdings fiel dem GET auf, dass die vollständige Gleichstellung
ausländischer und inländischer Amtsträger dort aufhört, wo es um die Vorbereitung von passiver
und aktiver Bestechung geht {85 306 und 307b), da diese Bestimmungen bestimmte
Unterscheidungen kennen: a.); Die Vorbereitung der passiven Bestechung unter Verletzung einer
Amtspflicht ist nach $ 306 Abs. 1 (und enthält daher die Elemente „fordern, annehmen oder sich
versprechen lassen“) nur insoweit strafbar, als es sich um einen österreichischen Amtsträger
oder einen ausländischen Amtsträger aus einem Mitgliedsland der Europäischen Union handelt.
b.): Die Vorbereitung aktiver Bestechung unter Verletzung einer Amtspflicht ist nach $ 307b Abs.
1 (und enthält daher die Flemente „anbieten, versprechen oder gewähren“) nur insoweit
strafbar, als es sich um einen österreichischen Amtsträger oder einen ausländischen Amtsträger
aus einem Mitgliedsland der Europäischen Union handelt. Im Gegensatz zu $ 306 enthält & 307b
keine zusätzlichen Bestimmungen über die Vorbereitung, die in Bezug auf aktive Bestechung von
ausländischen Amtsträgern anwendbar wären. Darüber hinaus ist die Situation ähnlich wie bei
der Bestechung von inländischen Amtsträgern: die Vorbereitung der passiven Bestechung ohne
Verletzung einer Amtspflicht betreffend ausländische Amtsträger ist strafbar nach & 306 Abs. 2
{und enthält daher nur das Element des „Forderns”).

Der Begriff des „ausländischen Amtsträgers”

39.

Wie oben dargestellt, bezieht sich & 74 Abs. 1 Zi 4a lit. b $tGB auf jede Person, die „für einen
anderen Staat (..., Aufgaben der Gesetzgebung, Verwaltung oder Justiz als deren Organ oder
Dienstnehmer wahrnimmt“. Die anderen relevanten zwei Kriterien der Definition des & 74
beziehen sich in einer solchen Form auf die Aufgaben, dass kein Unterschied zwischen
inländischen und ausländischen Amtsträgern gemacht wird {lit. c und lit. 8).

Sanktionen, Gerichtsentscheidungen und Rechtsprechung

40,

41.

Die anwendbaren Sanktionen im Zusammenhang mit den angeführten Delikten vartieren von
Freiheitsstrafe von bis zu zwei Jahren (was die geringste Strafdrohung darstellt) bis zu
Freiheitsstrafe von einem bis zu zehn Jahren (was die höchste Strafgrohung darstellt). Personen,
die wegen aktiver Bestechung eines ausländischen Amtsträgers nach 88 307, 307a StGB verurteilt
wurden, können zusätzlich verwaltungsrechtliche Sanktionen auferlegt werden, wie der
Ausschluss von bestimmten Funktionen nach der Gewerbeordnung oder nach Bestimmungen
über den Finanzmarkt und das Körperschaftsrecht, oder sie können von öffentlichen
Vergabeverfahren ausgeschlossen werden.

Den Antworten auf den Fragebogen konnten weder relevante Gerichtsentscheidungen noch
Rechtsprechung entnommen werden.

Bestechung von Mitgliedern ausländischer Vertretungskörper (Artikel 6 SEV Nr. 173)

42.

Die Situation der Mitglieder ausländischer Vertretungskörper entspricht jener bezüglich
ausländischer Amtsträger, die oben beschrieben wurde. Gemäß der Definition von
(ausländischen} Amtsträgern nach 5 74 Abs. 1 Zi 4a lit. b bis d, ist ein ausländischer Amtsträger:
1} nach lit. b. jede Person, die für einen anderen Staat oder für eine internationale Organisation
Aufgaben der Gesetzgebung, Verwaltung oder Justiz als deren Organ oder Dienstnehmer
59

wahrnimmt, Die Antworten auf den Fragebogen zeigen, dass ausländische Parlamentsmitglieder
von dieser Definition umfasst sind, da sie legislative Aufgaben für ein anderes Land wahrnehmen;
2} nach lit. c auch jede Person, die sonst für oder im Namen der genannten Körperschaften tätig

wird.

Bestechung und Bestechlichkeit im privaten Sektor (Artikel 7 und 8 SEV Nr. 173)

Definition der Straftaten

 

43.

Die wichtigsten Bestimmungen, die die Bestechung im privaten Sektor regeln, sind jene über die
„Geschenkannahme durch Bedienstete oder Beauftragte” nach $ 168c und „Bestechung von
Bediensteten oder Beauftragten” nach $ 158d StGB. Diese Bestimmungen entsprechen jenen
über passive und aktive Bestechung von Amtsträgerr der 88 304 und respektive 307 und werden
auf dieselbe Art interpretiert. In den Antworten auf den Fragebogen wird erläutert, dass, als
diese Bestimmungen 2008 in das StGB eingeführt wurden, der & 10 UWG abgeschafft hätte
werden sollen, der bis damals verwendet worden war, um passive und aktive Bestechung im

privaten Sektor zu kriminalisieren / verfolgen. Die Bestimmung blieb in Kraft, hat jedoch keine
praktische Bedeutung.

 

$ 168c StGB - Geschenkannahme durch Bedienstete oder Beauftragte

2

(2)

3 168d StGB - Bestechung von Bediensteten oder Beauftragten

5 10 Bundesgesetz gegen den unlauteren Wettbewerb (UWG) - Bestechung von
Bediensteten oder Beauftragten

a)

(2)

Ein Bediensteter oder Beauftragter eines Unternehmens, der im geschäftlichen
Verkehr für die pflichtwidrige Vornahme oder Unterlassung einer Rechtshandlung von
einem anderen für sich oder einen Dritten einen Vorteil fordert, annimmt oder sich
versprechen lässt, ist mit Freiheitsstrafe bis zu zwei Jahren zu bestrafen.

Übersteigt der Wert des Vorteils 3 000 Euro, so ist der Täter mit Freiheitsstrafe bis zu
drei Jahren zu bestrafen.

Wer einem Bediensteten oder Beauftragten eines Unternehmens im geschäftlichen
Verkehr für die pflichtwidrige Vornahme oder Unterlassung einer Rechtshandlung für
ihn oder einen Dritten einen nicht bloß geringfügigen Vorteil anbietet, verspricht oder
gewährt, ist mit Freiheitsstrafe bis zu zwei Jahren zu bestrafen.

Wer im geschäftlichen Verkehr zu Zwecken des Wettbewerbes dem Bediensteten oder
Beauftragten eines Unternehmens Geschenke oder andere Vorteile anbietet,
verspricht oder gewährt, um durch unlauteres Verhalten des Bediensteten oder
Beauftragten bei dem Bezug von Waren oder Leistungen eine Bevorzugung für sich
oder einen Dritten zu erlangen, ist vom Gericht mit Freiheitsstrafe bis zu drei Monaten
oder mit Geldstrafe bis zu 180 Tagessätzen zu bestrafen.

Die gleiche Strafe trifft den Bediensteten oder Beauftragten eines Unternehmens, der
im geschäftlichen Verkehr Geschenke oder andere Vorteile fordert, sich versprechen
läßt oder annimmt, damit er durch unlauteres Verhalten einem anderen beim Bezug
von Waren oder Leistungen im Wettbewerb eine Bevorzugung verschaffe.
60

Zur nächsten Seite