ausschreibungsunterlagen-ocr

This document is part of the request ”Vergabeunterlagen zur öffentlichen Ausschreibung nach VOB/A Vergabe-Nr: T11g228420”.

/ 96
PDF herunterladen
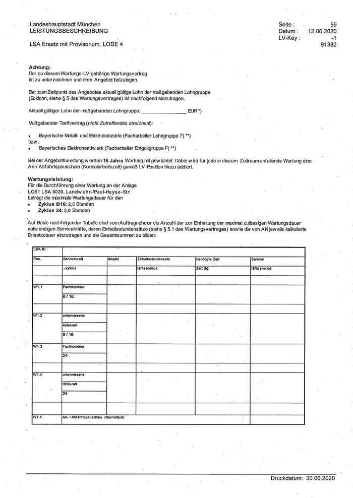
LandeshauptstadtMünchen                                                                                             Seite:               59 LEISTUNGSBESCHREIBUNG                                                                                               Datum:      12 0 6.2020 LV-Key:              -1 LSA Ersatz mit Provisorium, LOSE 4                                                                                                   91382 Achtung: Der zu desem Wartungs-LV gehdriqe Wartunqsvertrag ist zu unterzex:tinen und dem Anqebot beizulegen Der zum Zeitpunkt des Angebotes aktuoll gu(tlgo Lohn der na()gebenden Lohngruppe (Ecklohn, sehe (i 5 des Wartungsvertrages) Lst nachfolgend einzutraqon. Aktuell gut)Her Lohn der rraßgebenden Lohngruppe:                          EUR ') Ivtaßgebender Tardvertrag (nichl Zulreffoncos slroicl)on!): •     Bay erscho Metall- und Hektroindustrie (Facharbeiter Lohngruppo 7) ") bzw. •     Bay e risches Hektrohandw erk (Facharbeiter Hltgeltgruppe F)*)' Bei der Angebotsw artung w erden 15 Jahre Wartung mt gew chtet Dabei w ird fur jodo in dwsem Zeitraum anfallende Wartung eine An-/Abfahrtspauschaie (Norrralarbeitszeit) gerrag LV-fh)sillen hinzu addert. Wartungsleistung: Fur de Durchfuhrung einer Wartung an der Anlage LDS1 LSA 0020, Landwehr-/pauliHeyse-str. beträgt die rraximato Wartungsdauer fur den •    Zykl us 8/16: 2,5 Stunden •    Zykl u s 24: 3,0 Stunden Auf Basis nachfolgender Tabelle sind vom Auftragnehmer de Anzah) der zur Hnhattung der rrexirralzu)aasigen Wartungsdauor nolw endigon Servicekräfte, deren Hnheitsstundensätze (s)oho ti 5.1 des Wartungsvertrages) sow e die von AN jew eits kalkulierte Hnsalzdauer einzutragen und dia Gosarftsunrnen zu bilden: CSA Nr SUMceluafl                Ansah(   Eelh I\ sfolda s • lc   henhhale Zeil -Z)hlos                            (eh) (neho)             Zoll (h)               (Sih) (nellol Wl I a/ 16 Wl 2          ~e ncasene iaifshfah 8/ 16 Wl 1          Fachnhhesor 24 W14           U 'Icr f wa seI la Nsfsh afl 24 wl s          An. i Aofelfrlsoa schale (No~h c I) Druckdatum 3 0 .06.2020
81

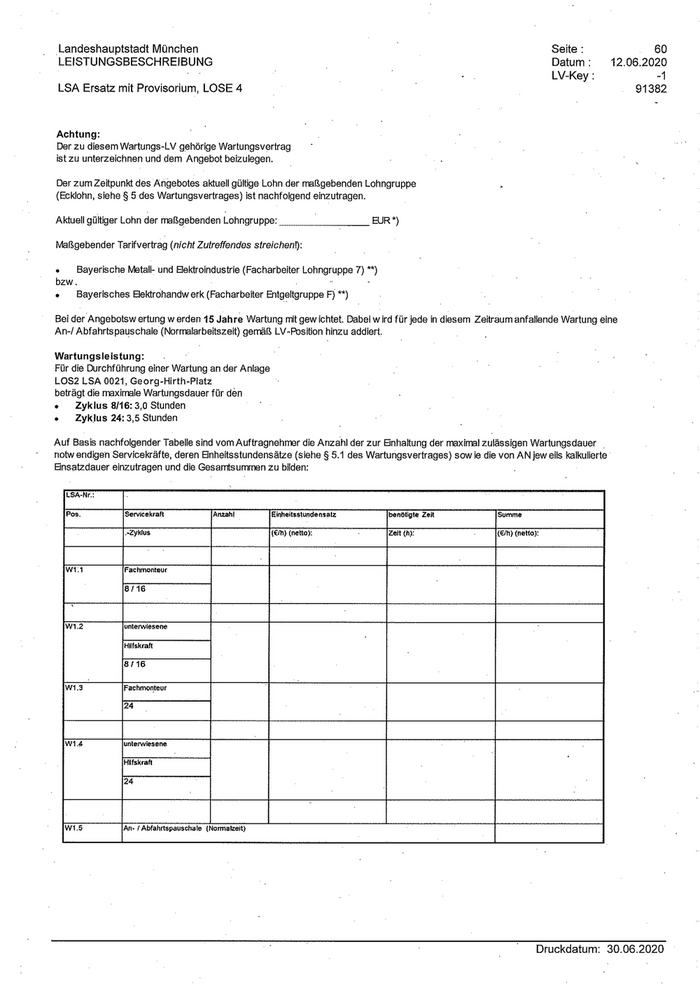
LandeshauptstadtMünchen                                                                                            Seite :               60 LEISTUNGSBESCHREIBUNG                                                                                              Datum         12 0 6.2020 LV-Key:                -1 LSA Ersatz mit Prowsonum, LOSE 4                                                                                                      91382 Achtung: Der zu desem Wartungs-LV gehorxüo Wartungsvortrag st zu unterzeichnen und dem Angebot beizulegen. Der zum zeitpunkt des Angebotes aktuell guttxüe Lohn der rrelßgebenden Lohngruppe (Fcklohn, siehe t) 5 des Warlungsvertrages) at nachfolgend einzutragen. Aktuell gültger Lohn der maßgebenden Lohngruppe                              EUR ') Maßgebender Tarifvertrag (nicht Zulroifondos slreicneni): •     Bay e reche Metall- und Hektroindustne (Facharbeiter Lohngruppe 7) -) bzw. •     Bay e risches Hektrohandwerk(Facharbeiter Entgeltgruppe F) -) Bei der Angebotsw artung w erden 15 Jahre Wartung mt gew ichtet. Dabei w ird fur tode u) desem Zedraum anfallende Wartung eine An-/ Abfahrts pauschale (Norrrrdtarbeitszeit) gerrs)ß LV-R)sition hinzu addiert Wartungslelstung: Für die Durchfuhrung einer Wartung an der Anlage LDS2 LSA 0021, Georg i Hirth-Platz botrdgt die ns)hirte)te Wartungsdauer für den •     Zy kl u s 8/16: 3.0 Stunden •     Zy kl u s 24: 3,5 Stunden Auf Basis nachfolgender Tabelle sind vom Auftragnohmor die Anzahl der zur Hnhaltung der rraxirral zu)aasigen Wartungsdauor notw endgen Servicekrafte, deren Hnheitsslundonsatze (so))o g 5 1 des Wartungsvertrages) sow e die von AN jeweils kal    kulierte Hnsatzdauer einzutragen und de Gesamtsurnnen zu bilden: kSA.N Setvuektah             Ansah)       Sehe lsstmdensalc        hendls)I • Zelt z)'klos                            Iett) (netto)            zelt (h)             ich) tneltol Wt 1           Fschmonteur 8 / 16 Wt 2           t Ictunesene tuiskrah 8/ 16 Wt 3           Fachmonleur 24 Wt 4           u terwmsene )Nisluak 24 Wt S           An. IAhiehrlsonu\che» INo  al t et ) Druckdatum 3 0 .06 2020
82

LandeshauptstadtMunchen                                                                                          Seite:               61 LEISTUNGSBESCF(REIBUNG                                                                                            Datum:     12 . 06.2020 LV-Key:             -1 LSA Ersatz mit Protnsorium, LOSE 4                                                                                                 91382 Achtung: Der ru desem Wartungs-LV gehorige Warlungsvertrag ist zu unterzeichnen und dorn Angebot beaulegen. Der zum Zeitpunkt des Angebotes aktuell gültige Lohn der nraßgebenden Lohngruppe (Ecklohn, sehe g 5 des Wartungsvertrages) ist narhfokjend einzutragen Aktuell gultiger Lohn der maßgebenden Lohngruppe'                         EUR ') Maßgebender Tarifvortrag (nichr Zutreffendes slroiclicnl): •     Bay e reche kreta))- und Bcklroindustrie (Facharbeiter Lohngruppe 7) -) bzw. •      Bay c rischos Boktrohandw erk (Facharbeiter Entgoltgruppe F) ") Boi der Angebotsw ertung w erden 15 Jahre Wartung rnt gew ichtet Dabei w ird für )ade in diesem Zeitraum anfallende Wartung eine An-I Abfahrtspauschale (Norrralarbeitszeit) gerrwß LV-Posxion hinzu addiert. Wartungslelstung: Für de Durchführurig einer Wartung an der Anlage LDS3 LSA 0050, Pau)-Heyse-Ischwantha)erstr beträgt de naximale Wartungsdauer fur den •      Zyk lus 8/16: 2,5Stunden •      Zykl u s 24: 3,0 Stunden Auf Base nachfokjonder Tabelle sind vom Auftragnehrrer de Anzahl der zur Bnhaltung der rraxima) zu)äse)geh Wartungsdauer notwendigen Servcekrafte, deren Bnheitsstundensätze (siohe g 5 1 des Wartungsverlrages) sow e die von AN )ew eile kalkulierte Bnsatzdauer einzutragen und de Gesamtsunwun zu bilden LSA-N serveekmil                 Anlehl    hohe leelmoen\eu       Oe nneoie? h ZVUIUU                              ich) inello)           Zelt u)               (E/h) lnelio) IVI 1          Feehnlo I lee a/ 16 Wl Z            m mmlm • Nlrekleh 6/ 16 Wl 3           Feehmonloer 24 W14 lelfekreh 24 Wl S           A    I A I eh heoe echele (Nonneke I) Druckdatum. 30 06 2020
83

LandeshauptstadtMunchen                                                                                           Seite                62 LEISTUNGSBESCHREIBUNG                                                                                             Datum :   12 . 0 6 .2020 LV-Key               -1 LSA Ersatz mit Provisorium, LOSE 4                                                                                                 91382 Achtung: Der zu dhtsem Wartungs-LV gehörige Wartungsverlrag ist zu unterzeichnen und dem Angebot beizulegen. Der zum Zeitpunkt des Angebotes aktuell güttx)o Lohn der lira/3gebenden Lohngruppe (Ecklohn, sehe () 5 des Wartungsvertrages) ist riechfolgend einzutragen. Aktuell gutliger Lohn der rraagebenden Lohngruppe                          EUR ) )Ist()gebender Tard vertrag (nicht 7u/re//endos s/reichcnl): •     Bay e rache tvtatatl- und Hektroindustrxt (Facharbeiter Lohngruppe 7) ") bzw. •     Bay e risches Hektrohandw erk (Facharbeiter Entgoltgruppe F) ") Bei der Angebotsw ortung w orden 15 Jahre Wartung mt gew chtet. Dabei w ird fur jede in diesem Zeitraum anfallende Wartung eine An-/ Abfahrtspauschalo (Normalarbeitszeit) gens)/s LV-Position hinzu addiert. Wartungslelstung: Fur de Durchfuhrung mner Wartung an der Anluge LDS4 LSA 0457,Blumen-/ Papa-Schmid-Str. boträgt die naximale Wartungsdauer fur den •     Zyk lus8/16: 3,0 Stunden •     Zyk lus 24;3,5 Stundon Auf Basis nachfolgender Tabelle sind vom nuftragnehrrer die Anzahl der zur Hnhaltung der maxirral zu)aasigen Wartungsdauer notw endgen Servicekrafte, deren Hnhedsstundensäü e (siaho g 5 1 des Wartungsvortrages) sowie de von ANlew eile kalkulierte Hnsatzdauer einzutragen und de Gosalrtsunvnan zu biklen. LSA-Nr POO           SCMCCI Oh                A fllohl  E IW IOCIWO l n l l       honni Slo Zoll Zrhhll                            (Oh) (Hlho)               Zoll(h)               (Cfh) (nolto) Wl 1          FochnloAtoUf S/ 16 W12           Ulnclwoccnc Hlilhfnh a/ 16 Wl 3           Fochfntnltc f 24 WIC              I• wo Ion o Halhf • fl 24 Wls            An. f Ahfnhnopoooctoh. (No notcot) Druckdatum 30.06.2020
84

I I(Q       m (D OD O. m        H (D (h         (  Dl ID         Z  Ql N         G C 3         co R g) (II O mÖ o> n. O         O Q   OD Ql ID   (D            C Ul      O mo O       C         OD z O                 ( — (D C                 Z 3                 Q O      O (A Ql m ID' Ol QQ Nl (DO O Vl Ö (D O. Qt (O 3' (D Ö O  (D o 2  I( CL Ql C               f      QOI 3               (      Ql O Qd               (D 3 Ö CI CI Ol CI                     M (3                     (3 (D Cl Ol ( 1
85

241 (Abfall) ' Vergabenummer BaumaEnahme               LSA Gerateaustausch mit Provisonum, 4 Lose Leistung                  Lieferung und Montage Ergänzung der Aufforderung zur Abgabe eines Angebots Ergänzung der Besonderen Vertragsbedingungen Vermeidung, Verwertung und Beseitigung von Bau- und Abbruchabfällen sowie Baustellenabfällen 1       Ergä nzung der Aufforderung zur Abgabe eines Angebots 1.1     Wi r d fur die Verwertung bzw. Beseitigung der Bau- und Abbruchabfalle eine andere als die in der Leistungsbeschreibung genannte Lösung der Verwertung bzw Beseitigung angeboten, hat der Bieter mit seinem Angebotmindestens nachzuweisen, dass die vorgesehene Anlage die Berechtigung zur Verwertung und Beseitigung sowie zur Aufnahme des Abfalls besitzt und der Betreiber bestatigt hat, dass er die Bau- und Abbruchabfälle annehmen wird, bei Andienungspflicht (in der Regel gefährliche Abfälle zur Beseitigung) die Bestätigung der Abfallwirlschaftsbehörde vorliegt, die Kosten der Abfallverwertung in die Linheitspreise eingerechnet sind, die Kosten der Abfallbeseitigung benannt sind und vom Auftraggeber unmittelbar getragen werden können. 1.2     So w eit in den Vergabeunterlagen gefordert, hat der Bieter zu dem von der Vergabestelle benannten Zeitpunkt die Verwertungs- bzw Beseitigungsträger sowie für die jeweiligen Belastungsaften und Belastungsgrade die Verwertungs-und Beseitigungsanlage zu benennen und nachzuweisen, dass die Verwertungs- bzw Beseitigungsträger zur Aufnahme des Bau- und Abbruchabfalls berechtigt sind und erklären, die Bau- und Abbruchabfalle abzunehmen, die Verwertungs- bzw. Beseitigungsträger sich damit einverstanden erklären, dass die Abfallwirtschaftsbehorde dem Auftraggeber Auskunft über ihre Fignung zur Durchfuhrung einer ordnungsgemäßen Abfallentsorgung erteilt, die Anzeige nach fj 53 KrWG erfolgt ist bzw die erforderliche Erlaubnis 5 54 KrWG) vorliegt 2      Ergä nzung der Besonderen Vertragsbedingungen 2.1    De r Auftragnehmer wird sich bemuhen, bei der Erbringung seiner Leistung Abfälle zu vermeiden (Bemühensklausel) 2.2    De r Auftragnehmer wird mit Aufnahme seiner Tätigkeit Abfallerzeuger und zugleich Besitzer der in der Leistungsbeschreibung näher aufgeführten Bau- und Abbruchabfalle. Er ubernimmt die Pflichlen des Auftraggebers zur Verwertung und Beseitigung der Bau- und Abbruchabfälle unter Beachtung der einschlägigen gesetzhchen, insbesondere abfallrechtlichen Bestimmungen sowie der anerkannten Regeln der Technik. Er fuhrt die von ihm zu erbringenden Nachweise entsprechend dem Kreislaufwirtschaflsgesetz in Verbindung mit der Nachweisverordnung (NachwV). 2.3    Der Auftragnehmer trifft alle erforderlichen Vorkehrungen, um Bau- und Abbruchabfälle nach den geltenden Vorschnften getrennt zu erfassen und zu halten sowie einer sachgerechten Entsorgung zuzufuhren. 24     Die nach den abfallrechtlichen Bestimmungen zum Nachweis einer ordnungsgemäßen Entsorgung erforderlichen Erklärungen, Bestatigungen, Belege usw. sind dem Auftraggeber vorzulegen. 25     Die Satzung über die Entsorgung von Gewerbe- und Bauabfällen in der Landeshauptstadt München in der jeweils gultigen Fassung ist zu beachten VHB Müinchen Stand 12/2019
86

2330 (Nechunie;nehm rerklärurg) Vergabenummer            t- .t• (rg .g:W+ • Q'3 Ba oma ßnahme            LSA Gerateaustausch mit Provisorium, 4 Lose Leistung                 Lieferung und Montage Ergänzung der Aufforderung zur Abgabe eines Angebots Ergänzung des Angebotsschreibens Nachunternehmererklärung 1    Er gänzung der Aufforderung zur Abgabe eines Angebots Nebenangebote, die die nachstehende Nachunternehmererklarung abbedingen, sind nicht zugelassen 2    Er g änzung des Angebotsschreibens 2.1 Erklärung zum Einsatz von Nachunternehmem Mir/Uns ist bekannt, dass ich/wir im Fall der Auftragserleilung die angebotene Leistung gern. tt 4 Abs. B Nr 1 VOB/B grundsätzlich im eigenen Betrieb ausführen muss/museen. Ich/Wir werde/n daher die Leistungen, auf die mein/unser Betrieb eingerichtet ist, weitgehend (gleichbedeutend mit mindestens 70 v H ) im eigenen Belrieb ausführen. Zum beabsichtigten Einsatz von Nachunternehmorn habe/n ich/wir die erforderlichen Angaben in das Verzeichnis der Nachunternehmerleistungen eingetragen. Mir/Uns ist bewusst, dass eine Nichtbeachtung dieser Erklarung meinen/unseren Ausschluss von der Teilnahme am Wettbewerb zur Folge haben kann. VHB Munchen Stand 12/2019
87

233 (Ve aocnnis der Nachuntnrnnhnnenestuntten) Vergabenummer Datum Baumagnahme             LSA Geräteaustausch mit Provisonum, 4 Lose Leistung                Lieferung und Montage Ergänzung des Angebotsschreibens Verzeichnis der Nachuntemehmerleistungen Zur Ausführung der im Angebot enthaltenen Leistungen benenne/n ich/wir Art und Umfang der durch Nachuntemehmen auszufuhrenden Teilloistungen mit den dazu gehörenden Ordnungszahlen (OZ) der Leistungsbeschreibung und auf Verlangen der Vergabestelle die Namen der Nachunternehmen: Mein/Unser Name der Nachuntornehmen (einscltl Betrieb ist OZ        Beschreibung der Teilleistungen ggf. vorh. PQ-Nummern)                       auf die (erst nach gesonderter Aufforderung Leistung der Vergabestelle) eingenchtet VHB München Stand 12/2019
88

234 (Erklarung Bieter-fArbehsgerneinschaft) Vergabenummer                 f', (. Igc g. Q'~4 Q g Bauma/Snahme                   LSA Geräteaustausch mit Provisorium, 4 Lose Leistung                       Lieferung und Montage Erklärung der Bieter-/Arbeitsgemeinschaft Wir, die nachstehend aufgeführten Unternehmen einer Bietergemeinschaft, Bevollmächtigter Vertreter Mitglied U ST-ID Weitere Nlitglieder Mitglied U ST-ID Mitglied UST-ID: Mitglied UST-ID: beschlie(ten, im Falle der Auftragserteilung eine Arbeitsgemeinschaft zu bilden und erklären', dass der bevollmächtigte Vertreter die Mitgbeder gegenuber dem Auftraggeber rechtsverbindkch vertritt, zur Entgegennahme der Zahlungen mit befreiender Vütrkung berechtigt ist und alle Mitgkeder als Gesamtschuldner haften. (On)                                 (Datum)                                       (Stempel und Unterschnft) (on)                                 (Datum)                                        (Stempel und Unterschnh) '(On)                                (Datum)                                        (Stempel und Unterschnft) (Ort)                                (Datum)                                        (Stempel und Unterschnft) D e Blelergememschatl hat mit ihrem Angebot eme Erklarung aller M tglieder in Textform abzugeben Auf verlangen der vergabestelle ist eine von allen Mitgliedern unterzeichnete Erklsrung abzugeben VHB München Stand 12/2019
89

221 (Preisormitttung bo Zuschlagskalkulabon) Bieter                                                    Vergabenummer ' Datum Baumaßnahme                  LSA Gerätoaustausch mit Provisorium, 4 Lose Letstung                     Lieferung und Montage Angaben zur Kalkulation mit vorbestimmten Zuschlägen Angaben über den Verrechnungslohn                                            T Zuschlag Mittellohn ML einschl Lohnzulagen u. Lohnerhöhung, wenn keine Lohngleitklausel vereinbart wird 1.2.     Lohnzusatzkosten Sozialkosten und Soziallöhne, als Zuschlag auf ML , 1.3.     Lohnnebenkosten Auslösungen, Fahrgelder, als Zuschlag auf ML 1.4.     Kalkulationslohn KL (Summe 1 1 bis 1.3) 1.5.     Zuschlag auf Kalkulationslohn (aus Zeile 2.4, Spalte 1) i 1.6.     Verrechnungslohn VL (Summe 1.4 und L5, VL im Formblatt 223 berücksichtigen) Zuschläge auf die Einzefkosten der Toilleistungon = unmittelbare Herstellungskosten Zuschlage in % auf Lohn          Stoffkosten G e ratekosten Sonstige Kosten Nachunternehmer- leistungen 2.1.     Ba u s tellengemeinkosten 2,2,     A l l g emeine Geschäftskosten 2,3,     Wa g nis und Gewinn 2.3.1. Gewinn 2,3,2,betriebsbezogenes Wagnis' 2.3.3.leistungsbezogenes Wagnis' 2.4. Gesamtzuschläge Wagnis filr das aggemelne unternehmensrlsiko mit der Ausfuhrung der Leistungen verbundenos Wagnis VHB Munchen Stand 12/2019
90

Go to next pages