nrw-mags-heinsberg

This document is part of the request ”Informationen zur Heinsberg-Studie”.

/ 115
PDF herunterladen
A      lgG und lgA Niveau                                                                                          B      lgG und lgA Positiv     C              Anzahl der SARS-CoV-2-Infizierten l,.            I I ~-                                                                              •     ••       *J .: 111:~ ·c     "'                                                                     ..           .•• .• ~.....• "•.·                                                 138 von 919: 15.02% +-'                                                                   .. iiö              r=O .. 778                                               • • • , • •-: •••• ..                           20 I J:                                                            ~     • • PCRrep. 11...::;1 ,...._, n=22 r:~ PCRnew n=33 ,.·.·....... ,..~ • • l-''11111 •• - - • • • • - - - • • · - · · : , Qj -                                                      •        • ....... : •• :             I            •  -                  • L.:-1      r.-:-1 > (!)                                                         • ' ••      • \ •I                 ·~ - I I bO                                             .. ' •• "               •. • • •            •                    ~       15                           n              n=3                                 n=1               B                11=9            I I N                                            ·.       . ·... . . ..                                                N                             14.1%           (0.33%)                            (0.11%)                 i              (0.98%)           I >0 I   C) .          •          ··=··\· • • • •. • (~ \: •    1 • ..                                 >0 u I                                                                                                                                      I I I y                                      '• ) ':. ••• • •,                                                              I ' t./')                                  • ••• ,~,:'.l • I••"~ ·._,-:   •••    :                                       ~      10                                                                                               l . CX: <( ,... I                          '. • • -'1• .• ·~~\f • •• • • '                             w. <(                                               n=16                                 11=3                               n=20 V')          •           • t • ....~                ~-:\ ,...:.::,. •         ••   •                       •       t?                                            (1.63%)                            (0.33%) ~                              (2.18%) •...., .!..       • •             •   ••  ••             ~~.....;.r.                                                   ·- ~..."k..                                                       ...... c::: : • • ••• a;: tl• I              .     ,.t-   A •• I                        •     ..                   c:                                                                     ······'"-····· ~. ,.J ______________ , ~ tl.O ')'            .•• ·:.tr.:..::-z:·;.:.••;. • ••        -· ··..    .  .      .   .                                  <(      5 0                                                                                                                                                                                                    11=97 (9.47%). '? -3             -2                _,                o               ,                   2                             lgA      lgG                                        lgG                   n=125 log(anti-SARS-CoV-21gA Verhältnis) Figur 2
101

) A Studienteilnehmer: Zufallsstichprobe der Bevölkerung in Gangelt Anzahl der Infizierten (i) SARS-CoV-2-positive gemeldete Fälle {r) Gangelt: Prozentsatz der aus dem Studienergebnis extrapolierten Infizierten {i "'138 In "'919) f=7          IFR  =f/1 =0.370% B                     Anzahl der Infizierten                             c          Infektionssterblichkeitsrate (IFR) ~ -10 Q) ~                                                                      ... VI  0.4 - ~~~ .......ro Q)                                         ~:.~·.--:,: _:_:.~;~: ~~~: :;.:·:· :·.• . f:·:   ~:.'::.,.:: ';:;   ~ ~ ..c ~~~ VI t: .~  0.3 0                                                                    ::c - 15 ~· 1- Q) Q) t:  0.2 .E 10 VI c 0 •  Spezlfität 99.1%                  ~    0.1                  .Spezifität99.1% 5 Spezifltät 98.0%                  ~                             Spezifltät 98.0% c 0~.·----------------------                                    0.0+----------------- Korrigiert für:    Korrigiert tar:                             Korrigiert für:   Korrigiert f(lr: -Empfindlichkeit   -Empfindlichkeit                            -Empfindlichkeit  -Empfindlichkeit -Spezlfität        -Spezifität                                 -Spezlfltät       -Spezifität -Ciustering        -Ciustering                                 -Ciustering       -Ciustering -unter repräsentativ                                          -unter repräsentativ Figur 3
102

.,) ) A                                B                                        c 5l p<0.001               20 !Ii                                        (') Q) 4                       -- ~ Vi' "2 ~ N E                              ~· 15                                        :ca 0                               Q)           17                             ..t: .... +' I,. • ~;::;                                          Q) c.   3                                                                      > E                             Q::: c: Ji                                                         14                 b.O ....                          ;:::;                                         b:OO Q)                            > 10                                           0 "'C                             0 .... .'           ..: . ~ ~ llllil.-il• 2 ..t: ctl N c: \i)~{'~ I' : : .!.. I   I .....' '   I I ... •  I ... I ...   ...... ' I 'I '' - '                                         '    I <(                                                                                     ~ 'I 1-l 5 ')' .                                           I ' ' ..!.' " log(lgA} (') " log{lgG) Ol-                                          I 0 1  2   3     4  5 6 7  8 9 10 11             0     1       2    3   4      5     6            7 8 9  10     11 12 Nicht infiziert infiziert                              Anzahl der Symptome                                         Anzahl der Symptome Figur4
103

A                                                                               B Alle Haushaltscluster                                                             Haushaltscluster mit mindestens einem Infizierten · IJ) ~ ,... ci CO d                                                                                   ci c::: 0 ~ Q) c.. cq 0 ...c. 0 ~ 0 0 ~ 'iii ß 'iii                                                        Mindestens ein ·;::                                                                                 ·;:: VI              ··~. ~-······~ ..                                                    V'l c::: 0                                  .·- ....................... - --·-                c 0     '<t      Erwartet, falls                             infiziertes Kind ~~•;·.-.:::~ t\J ::e      ci                                                                          ::e     0 Übertragung nicht                           Mindestens eine ----·----·--------· .E:!c:::                                                                             .E:!c verstärkt wird                           ••· infizierte Person .____...-:-             . .....                                                                               t\l c::)              __ ."....                                      - .... ~ d _....... C!                                                                                  0 0                                                                                   c:) 1                                       2              3          4                 1             2           3                4 Anzahl der Personen im Haushaltscluster                                             Anzahl der Personen im Haushaltscluster Figur 5
104

A                                                                                      B                  1151798           1181779      1321a7s        124/842       129/832 D      Männer                        20/107        lö/126            6141          11/69         7179 Frauen 3) g g ~ t 81 ....l'tl 2 ) Q) Oll c: 1-                        94 l" Oll                                                                                 0 c: 0                          ,- )7                  ~ ~                                                m                         35       .!!! c: 26 .!!!                       .. ':' ..5      1 )- 29 -r - .- 1-·- ( - -- 1-· '·'' +              ....... ..,!.. + .c QJ +              + _;-              '                                                               ::J n                                                                                             ~         ~ ~ .e!     ~ ~ "§!] 110 1l             ~..c ~j 5-14      15-34    35-59         60-79             80+ Jahre                                                        -      c           ~              ." ::.:: i:! t: ~        e::>  ~ -"' :.::          C5 QJ    1:         Q/   ... .3  ~           :I:    w         z w c                                       D                                      E p<0.001                              P=0.007               %40 15                                                              Ohne Karneval 301                           c: Q) 1: Q) 5                                                                                                [] Mit Karneval 'N ~~ 20 ~ q::: .s       4 t ',:,· r!-·::~~:~}~I 30 J;l         ·o:;                        ','\\,' I     I. ",1 .0 I              E3                                      20 c: 0                                    .... 0 0.                                                 13 ~.s 10 j '; <' ~ _:,~ ! [      2                                                    6 11 6 Vl ....Q) 10-l      I I 4 71     1.1 ~UJ ol  Ohne      Mit Karneval Karneval ~' <( n Ohne I i Mit ' ; - Karneval Karneval Q 0 I 1      2       3      4          5   6         7    8        9   ·10       11 0 Anzahl der Symptome belinfizierten Figur 6
105

....--..
106

% •    Gangeil 1.-1 NRW D BRD ·II Studie 0 I                                I Jünger als 6 [6.18: [1ß.:C:51       [25.-t:Jl 140.65~ 65 und älter Alter I :/ I i II ,, lj I' il    Ergänzende Figur 1 II i I
107

• •                   • ~ -~ • •                           • c: .±::! :ru ..c: ,_ •    •              • •             > C] Q) ~ N •      I ---·-··--!-·~-!-·-. m               Ja~!J.-l.N - N • •• .•     : ••• ••              - 0 •• ••• • •••• I • I •     ••  • • •. ~ I •   :I • • •• •al' •• ···?· I I• • ... I •   ....      N _.:·-··--·-..·=-~-!.JJ_       I N ,_ - ::s -~ LL. ~         ~                                    Q) "'0 c: (uO!:!.eS!)eJ:j.nauoJ>J!W)                       Q1 N c: Ja:au.-J.N                              :m ,_ llO <C                                                      w =====~-~---·~--
108

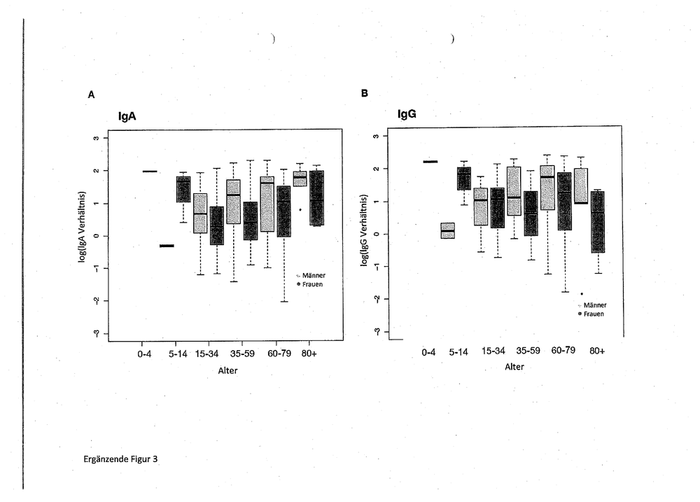
)                                           ) A                                                                                       B lgA                                                                                         lgG C') C') ..,....   -r- ~ llü - -r-                             -     ...,-             i                   I C\j -1      -       -r-   ....,.- -;-         ~    ~              -;-  ~       ..,..-       (\1                I       -r- ~i ,_                       --~~i ! ~~;~~ : ~(:.                                        •          ~     ,_ ~                                                                                          ~ > QJ                            ,,,, • -:,~                  . I                                       -E QJ <l:o                                1                :          1                            >o l!) ~ b.Q                   -            :                :    I     :          : :        I       :    :     :          :                  b.Q                          :    : 'N.I                                I       t       1    1     I          1                 ::::.                        _._   I 0                                  t        I       I    1     I          J                  bJ)                               I -      ,.-                          :        :     ·:    _!_    :          :                  0                               .....       _!__ '                           :        :       !       _,I....,      :                 -I                                                    '        i         I · .._     ....a....   '                      : ·-:·# Männer                                                      ....L      •        .J... .....                    :  *Frauen                                                                      : I                                                                               I I                                                                            _,_ <)l .,                                                            ...L                      C)l 1                                                      .,. Männer I                                                      *Frauen ~                                                                                            7  <---- 0·4    5-14 15-34                35-59          60·79             80+                       0-4 5-14      15-34       35-59          60-79       80+ Alter                                                                                Alter Ergänzende Figur 3
109

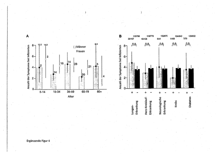
A                                                                  B              1151798         118m9      1321875       1241842      1291832 20/107         16/128        6/41         11/69         7179 ,                                      .s                    n.s.          n.s.          n.s.        n.s.          n.s. a; 8                ·                     [ I Männer             a;   fh     r-1            r--1        r-t          r-1           11 ~ .!!! ~ N 13 . - Frauen ~ .!!! ~ N '  c   6                  2                                           c r    -                         .                                       - II ! i 0  4 "          . ,16 14 [28 ... 5     :;:Eäi 0 ~ ' f ..E ~ 14 I           I                     ..E ~ I i  ~ >                                                                ~ > I    ~                                                            4    ~ " n Ii I' ~ ~ .gc N 2 ,,>··•.:! · .. , I   ~ i ~ N ~                                                                        c ii   <(   0     ;.                                                     <( 11 Ii               5-14            15-34     35-59         60-79  so+                + ._            + _         + _          +      _       + ·                                         Alter                                                    ,          ~                              !/) ~           ~                               ~ bO c       ~bO V)    c     ~bO ·-     c         V) .c             ~- ·- ·         bO              CU ·~ Ce ~~ ~c ..Q~ oc:            ~ ~             ;:; ...... ~ro              •ro         ~ro c      ~        t:! ....    ::s ~ ::s   -t:       cu   -t:    z~ -t: ~w             ::CLU             w Ergänzende Figur 4
110

Go to next pages